Образовательный портал для подготовки к экзаменам
Математика профильного уровня
Математика профильного уровня
Сайты, меню, вход, новости
Задания
Версия для печати и копирования в MS Word
15-го января был выдан полугодовой кредит на развитие бизнеса. В таблице представлен график его погашения.
| Дата | 15.01 | 15.02 | 15.03 | 15.04 | 15.05 | 15.06 | 15.07 |
|---|---|---|---|---|---|---|---|
| Долг (в процентах от кредита) | 100% | 90% | 80% | 70% | 60% | 50% | 0% |
В конце каждого месяца, начиная с января, текущий долг увеличивался на 5%, а выплаты по погашению кредита происходили в первой половине каждого месяца, начиная с февраля. На сколько процентов общая сумма выплат при таких условиях больше суммы самого кредита?
Спрятать решение
Решение.
Не снижая общности рассуждений, примем начальную сумму кредита за 100 руб. и будем считать, что выплаты производились 10 числа каждого месяца. Составим таблицу выплат:
| Дата | 14.02 | 14.03 | 14.04 | 14.05 | 14.06 | 14.07 |
|---|---|---|---|---|---|---|
| Долг, руб. | 105 | 94,5 | 84 | 73,5 | 63 | 52,5 |
| Выплата, руб. | 15 | 14,5 | 14 | 13,5 | 13 | 52,5 |
| Остаток долга на день выплаты, руб. | 90 | 80 | 70 | 60 | 50 | 0 |
| Остаток долга на день выплаты, % | 90% | 80% | 70% | 60% | 50% | 0% |
Тем самым, полная сумма выплат равна 15 + 14,5 +14 +13,5 +13 + 52,5 = 122,5 руб., переплата составила 22,5%.
Ответ: 22,5.
Спрятать критерии
Критерии проверки:
| Критерии оценивания выполнения задания | Баллы |
|---|---|
| Обоснованно получен верный ответ | 2 |
| Верно построена математическая модель | 1 |
| Решение не соответствует ни одному из критериев, перечисленных выше | 0 |
| Максимальный балл | 2 |
Источник: Материалы для экспертов ЕГЭ 2016
Пусть взяли в кредит a рублей (все суммы в рублях). По условиям задачи заполним в таблице суммы долга на 15-е число каждого месяца (второй столбец таблицы), увеличим на 5 % полученные суммы (третий столбец таблицы). Вычислим платежи каждого месяца, вычитая из числа в
3-м столбце таблицы число во 2-м столбце таблицы строкой ниже.
|
Месяцев прошло |
Долг на 15-е число |
Долг в конце месяца |
Платёж |
|
0 |
a |
1,05a |
0 |
|
1 |
0,9a |
0,945a |
1,05a – 0,9a = 0,15a |
|
2 |
0,8a |
0,84a |
0,945a – 0,8a = 0,145a |
|
3 |
0,7a |
0,735a |
0,84a – 0,7a = 0,14a |
|
4 |
0,6a |
0,63a |
0,735a – 0,6a = 0,135a |
|
5 |
0,5a |
0,525a |
0,63a – 0,5a = 0,13a |
|
6 |
0 |
0 |
0,525a |
Сложив все платежи, получим:
0,15a + 0,145a + 0,14a + 0,135a+ 0,13a+ 0,525a = 1,225a.
Общая сумма выплат больше суммы самого кредита на 0,225a, или на 22,5 %.
Ответ. 22,5.
Размещённые в настоящем разделе сайта публикации носят исключительно ознакомительный характер, представленная в них информация не является гарантией и/или обещанием эффективности деятельности (доходности вложений) в будущем. Информация в статьях выражает лишь мнение автора (коллектива авторов) по тому или иному вопросу и не может рассматриваться как прямое руководство к действию или как официальная позиция/рекомендация АО «Открытие Брокер». АО «Открытие Брокер» не несёт ответственности за использование информации, содержащейся в публикациях, а также за возможные убытки от любых сделок с активами, совершённых на основании данных, содержащихся в публикациях. 18+
АО «Открытие Брокер» (бренд «Открытие Инвестиции»), лицензия профессионального участника рынка ценных бумаг на осуществление брокерской деятельности № 045-06097-100000, выдана ФКЦБ России 28.06.2002 г. (без ограничения срока действия).
ООО УК «ОТКРЫТИЕ». Лицензия № 21-000-1-00048 от 11 апреля 2001 г. на осуществление деятельности по управлению инвестиционными фондами, паевыми инвестиционными фондами и негосударственными пенсионными фондами, выданная ФКЦБ России, без ограничения срока действия. Лицензия профессионального участника рынка ценных бумаг №045-07524-001000 от 23 марта 2004 г. на осуществление деятельности по управлению ценными бумагами, выданная ФКЦБ России, без ограничения срока действия.
| Задачи ЕГЭ №15 на кредиты обычно относятся к одному из двух характерных типов, которые легко различить между собой.
1 тип. Выплаты кредита производятся равными платежами. Эта схема еще называется «аннуитет» 2 тип. Выплаты кредита подбираются так, что сумма долга уменьшается равномерно. Это так называемая «схема с дифференцированными платежами». К первому типу относятся также задачи, в которых есть информация о платежах. Ко второму типу — задачи, в которых есть информация об изменении суммы долга. |
|---|
В этой статье — решение задач на кредиты второго типа. Схема 2: с дифференцированными платежами. В условии есть информация об изменении суммы долга.
Если в условии задачи сказано, что сумма долга уменьшается равномерно, или что 15-го числа каждого месяца сумма долга на одну и ту же величину меньше суммы долга на 15-е число предыдущего месяца, или есть информация о том, как именно уменьшается сумма долга, — это задача на кредиты второго типа.
1. 15-го января планируется взять кредит в банке на 19 месяцев. Условия его возврата таковы:
— 1-го числа каждого месяца долг возрастёт на по сравнению с концом предыдущего месяца;
— со 2-го по 14-е число каждого месяца необходимо выплатить часть долга;
— 15-го числа каждого месяца долг должен быть на одну и ту же сумму меньше долга на 15-е число предыдущего месяца. Известно, что общая сумма выплат после полного погашения кредита на больше суммы, взятой в кредит. Найдите r.
Ключевая фраза в условии: «15-го числа каждого месяца долг должен быть на одну и ту же сумму меньше долга на 15-е число предыдущего месяца». Другими словами, сумма долга уменьшается равномерно. Что это значит?
Если вначале сумма долга равна S, то через месяц (после начисления процентов и первой выплаты) она уменьшилась до .Еще через месяц будет
,затем
— и так до нуля.
Пусть
Нарисуем схему погашения кредита.
Первая строка в схеме — сумма долга после очередной выплаты.
Вторая строка — сумма долга после начисления процентов. Стрелками показано, как меняется сумма долга. Число платежных периодов n = 19.
Вот клиент берет в кредит сумму . После начисления процентов сумма долга увеличилась в
раз и стала равна
. После первой выплаты сумма долга уменьшилась на
и стала равной
. Банк снова начисляет проценты, и теперь сумма долга равна
. Таким образом, первая выплата
Вторая выплата:
19-я выплата:
Сумма всех выплат:
Мы сгруппировали слагаемые и вынесли общие множители за скобку. Видим, что и в первой, и во второй скобке — суммы арифметической прогрессии, у которой и
В первой скобке — сумма 19 слагаемых, во второй сумма 18 слагаемых.
По формуле сумма арифметической прогрессии,
Получим, что общая сумма выплат , где
— величина переплаты. Эта величина показывает, на сколько общая сумма выплат больше суммы, взятой в кредит.
В нашей задаче
Здесь — количество платежных периодов.
Получим:
Обратите внимание. Общая сумма выплат:
, где
— величина переплаты,
В следующих задачах мы будем (если это возможно) применять удобную формулу для переплаты без вывода. Однако на экзамене вам надо будет ее вывести. Иначе решение могут не засчитать.
2. 15-го января планируется взять кредит в банке на некоторое количество месяцев. Условия его возврата таковы:
— 1-го числа каждого месяца долг возрастает на по сравнению с концом предыдущего месяца;
— со 2-го по 14-е число каждого месяца необходимо выплатить часть долга;
— 15-го числа каждого месяца долг должен быть на одну и ту же сумму меньше долга на 15-е число предыдущего месяца.
На сколько месяцев можно взять кредит, если известно, что общая сумма выплат после полного погашения кредита на больше суммы, взятой в кредит.
Пусть
По формуле для переплаты при выплате суммы кредита
дифференцированными платежами имеем:
где — искомое число месяцев, а
— величина платежной ставки в процентах. По условию, переплата
равна
, тогда:
откуда
3. 15-го января был выдан полугодовой кредит на развитие бизнеса. В таблице представлен график его погашения.
| Дата | 15,01 | 15,02 | 15,03 | 15,04 | 15,05 | 15,06 | 15,07 |
| Долг (в процентах от кредита) | 100% | 90% | 80% | 70% | 60% | 50% | 0% |
В конце каждого месяца, начиная с января, текущий долг увеличивался на , а выплаты по погашению кредита происходили в первой половине каждого месяца, начиная с февраля. На сколько процентов общая сумма выплат при таких условиях больше суммы самого кредита?
В этой задаче (как и в большинстве задач ЕГЭ) мы не сможем применить формулу для величины переплаты. Ведь погашение кредита происходит неравномерно. Первые 5 месяцев долг ежемесячно уменьшается на своей величины, а в последний месяц сразу до нуля.
Запишем, чему равна каждая выплата, и найдем сумму всех выплат.
Первая выплата:
Вторая:
Следующие:
Общая сумма выплат
— переплаты,
— общая сумма выплат,
— сумма кредита.
Ответ:
4. В июле 2016 года планируется взять кредит в размере 6,6 млн. руб. Условия возврата таковы:
— каждый январь долг возрастает на по сравнению с концом предыдущего года.
— с февраля по июнь необходимо выплатить часть долга.
— в июле 2017, 2018 и 2019 годов долг остается равным 6,6 млн. руб.
— суммы выплат 2020 и 2021 годов равны.
Найдите r, если в 2021 году долг будет выплачен полностью и общие выплаты составят 12,6 млн. рублей.
млн.руб
млн. руб
— ежегодные выплаты 2020 и 2021 годов.
Ответ:
В 2018 году появились, пожалуй, самая сложная задачи ЕГЭ такого типа. Вот большая статья о том, что же все-таки было на ЕГЭ-2018:
Разбор задачи №17 («Банковская», или «Экономическая») на ЕГЭ по математике 2018 года.
Подведем итоги. Соберем всё, что узнали о решении задач на кредиты по второй схеме (с дифференцированными платежами) в небольшую таблицу:
| Равномерное уменьшение суммы долга (схема с дифференцированными платежами). Применяется также, когда известно, как уменьшается сумма долга. |
|---|
| Пусть |
| Схема погашения кредита для
1 выплата: 2 выплата: n-ная выплата: Сумма всех выплат: Применяем формулу суммы арифметической прогрессии. Общая сумма выплат:
|
Благодарим за то, что пользуйтесь нашими статьями.
Информация на странице «Профильный ЕГЭ по математике. Задание № 15. Кредиты. Схема 2: известна информация об изменении суммы долга.» подготовлена нашими редакторами специально, чтобы помочь вам в освоении предмета и подготовке к ЕГЭ и ОГЭ.
Чтобы успешно сдать необходимые и поступить в высшее учебное заведение или техникум нужно использовать все инструменты: учеба, контрольные, олимпиады, онлайн-лекции, видеоуроки, сборники заданий.
Также вы можете воспользоваться другими материалами из разделов нашего сайта.
Публикация обновлена:
09.03.2023
Михаил планирует 15-го декабря взять в банке кредит на 3 года в размере 364 000 рублей. Сотрудник банка предложил Михаилу два различных плана погашения кредита, описание которых приведено в таблице.
| План 1 | — каждый январь долг возрастает на 20 % по сравнению с концом предыдущего года;
— с февраля по июнь каждого года необходимо выплатить одним платежом часть долга; — кредит должен быть полностью погашен за три года тремя равными платежами. |
| План 2 | — 1-го числа каждого месяца долг возрастает на 2 % по сравнению с концом предыдущего месяца;
— со 2-го по 14-е число каждого месяца необходимо выплатить часть долга; — 15-го числа каждого месяца долг с 1-го по 36-й долг должен быть меньше долга на 15-е число предыдущего месяца на одну и ту же сумму; — к 15-му числу 36-го месяца кредит должен быть полностью погашен. |
На сколько рублей меньше окажется общая сумма выплат Михаила банку по более выгодному плану погашения кредита?
Пусть X рублей — ежегодный платёж Андрея по плану 1. Тогда
Значит, по плану 1 Андрей заплатит банку всего рублей.
Платежи Андрея по плану 2 составят:
Тогда всего Андрей заплатит банку по плану 2:
рублей.
Значит, по плану 2 общая сумма выплат Андрея банку меньше на рублей.
Редакция Решу ЕГЭ отредактировала условие задачи. В авторской формулировке было: «15-го числа каждого месяца долг с 1-го по 35-й долг должен быть меньше долга на 15-е число предыдущего месяца на одну и ту же сумму». При таком условии возможны любые варианты равномерно уменьшающих долг сумм в первые 35 месяцев и последняя сумма в 36-й месяц, полностью гасящая задолженность.
Источник
15 января был выдан полугодовой кредит на развитие бизнеса в таблице представлен график погашения
15-го января был выдан полугодовой кредит на развитие бизнеса. В таблице представлен график его погашения.
| Дата | 15.01 | 15.02 | 15.03 | 15.04 | 15.05 | 15.06 | 15.07 |
|---|---|---|---|---|---|---|---|
| Долг (в процентах от кредита) | 100% | 90% | 80% | 70% | 60% | 50% | 0% |
В конце каждого месяца, начиная с января, текущий долг увеличивался на 5%, а выплаты по погашению кредита происходили в первой половине каждого месяца, начиная с февраля. На сколько процентов общая сумма выплат при таких условиях больше суммы самого кредита?
Не снижая общности рассуждений, примем начальную сумму кредита за 100 руб. и будем считать, что выплаты производились 10 числа каждого месяца. Составим таблицу выплат:
| Дата | 14.02 | 14.03 | 14.04 | 14.05 | 14.06 | 14.07 |
|---|---|---|---|---|---|---|
| Долг, руб. | 105 | 94,5 | 84 | 73,5 | 63 | 52,5 |
| Выплата, руб. | 15 | 14,5 | 14 | 13,5 | 13 | 52,5 |
| Остаток долга на день выплаты, руб. | 90 | 80 | 70 | 60 | 50 | 0 |
| Остаток долга на день выплаты, % | 90% | 80% | 70% | 60% | 50% | 0% |
Тем самым, полная сумма выплат равна 15 + 14,5 +14 +13,5 +13 + 52,5 = 122,5 руб., переплата составила 22,5%.
Источник
15 января был выдан полугодовой кредит на развитие бизнеса в таблице представлен график погашения
15-го января был выдан полугодовой кредит на развитие бизнеса. В таблице представлен график его погашения.
| Дата | 15.01 | 15.02 | 15.03 | 15.04 | 15.05 | 15.06 | 15.07 |
|---|---|---|---|---|---|---|---|
| Долг (в процентах от кредита) | 100% | 90% | 80% | 70% | 60% | 50% | 0% |
В конце каждого месяца, начиная с января, текущий долг увеличивался на 5%, а выплаты по погашению кредита происходили в первой половине каждого месяца, начиная с февраля. На сколько процентов общая сумма выплат при таких условиях больше суммы самого кредита?
Не снижая общности рассуждений, примем начальную сумму кредита за 100 руб. и будем считать, что выплаты производились 10 числа каждого месяца. Составим таблицу выплат:
| Дата | 14.02 | 14.03 | 14.04 | 14.05 | 14.06 | 14.07 |
|---|---|---|---|---|---|---|
| Долг, руб. | 105 | 94,5 | 84 | 73,5 | 63 | 52,5 |
| Выплата, руб. | 15 | 14,5 | 14 | 13,5 | 13 | 52,5 |
| Остаток долга на день выплаты, руб. | 90 | 80 | 70 | 60 | 50 | 0 |
| Остаток долга на день выплаты, % | 90% | 80% | 70% | 60% | 50% | 0% |
Тем самым, полная сумма выплат равна 15 + 14,5 +14 +13,5 +13 + 52,5 = 122,5 руб., переплата составила 22,5%.
Источник
15 января был выдан полугодовой кредит на развитие бизнеса в таблице представлен график погашения
15-го января был выдан полугодовой кредит на развитие бизнеса. В таблице представлен график его погашения.
| Дата | 15.01 | 15.02 | 15.03 | 15.04 | 15.05 | 15.06 | 15.07 |
|---|---|---|---|---|---|---|---|
| Долг (в процентах от кредита) | 100% | 90% | 80% | 70% | 60% | 50% | 0% |
В конце каждого месяца, начиная с января, текущий долг увеличивался на 5%, а выплаты по погашению кредита происходили в первой половине каждого месяца, начиная с февраля. На сколько процентов общая сумма выплат при таких условиях больше суммы самого кредита?
Не снижая общности рассуждений, примем начальную сумму кредита за 100 руб. и будем считать, что выплаты производились 10 числа каждого месяца. Составим таблицу выплат:
| Дата | 14.02 | 14.03 | 14.04 | 14.05 | 14.06 | 14.07 |
|---|---|---|---|---|---|---|
| Долг, руб. | 105 | 94,5 | 84 | 73,5 | 63 | 52,5 |
| Выплата, руб. | 15 | 14,5 | 14 | 13,5 | 13 | 52,5 |
| Остаток долга на день выплаты, руб. | 90 | 80 | 70 | 60 | 50 | 0 |
| Остаток долга на день выплаты, % | 90% | 80% | 70% | 60% | 50% | 0% |
Тем самым, полная сумма выплат равна 15 + 14,5 +14 +13,5 +13 + 52,5 = 122,5 руб., переплата составила 22,5%.
Источник
15 января был выдан полугодовой кредит на развитие бизнеса в таблице представлен график погашения
Андрей планирует 15-го декабря взять в банке кредит на 3 года в размере 1 655 000 рублей. Сотрудник банка предложил Андрею два различных плана погашения кредита, описание которых приведено в таблице.
| План 1 | — каждый январь долг возрастает на 10 % по сравнению с концом предыдущего года;
— с февраля по июнь каждого года необходимо выплатить одним платежом часть долга; — кредит должен быть полностью погашен за три года тремя равными платежами. |
| План 2 | — 1-го числа каждого месяца долг возрастает на 1 % по сравнению с концом предыдущего месяца;
— со 2-го по 14-е число каждого месяца необходимо выплатить часть долга; — 15-го числа каждого месяца с 1-го по 36-й долг должен быть меньше долга на 15-е число предыдущего месяца на одну и ту же сумму; — 15-го числа 36-го месяца кредит должен быть полностью погашен. |
На сколько рублей меньше окажется общая сумма выплат Андрея банку по более выгодному плану погашения кредита?
Пусть X рублей — ежегодный платёж Андрея по плану 1. Тогда
Значит, по плану 1 Андрей заплатит банку всего рублей.
Платежи Андрея по плану 2 составят:
Тогда всего Андрей заплатит банку по плану 2:
рублей.
Значит, по плану 2 общая сумма выплат Андрея банку меньше на рублей.
Редакция Решу ЕГЭ отредактировала условие задачи. В авторской формулировке было: «15-го числа каждого месяца долг с 1-го по 35-й долг должен быть меньше долга на 15-е число предыдущего месяца на одну и ту же сумму». При таком условии возможны любые варианты равномерно уменьшающих долг сумм в первые 35 месяцев и последняя сумма в 36-й месяц, полностью гасящая задолженность.
Источник
4 июня 2021
В закладки
Обсудить
Жалоба
Дифференцированные платежи
Работа с заданием 17.
Задачи: zadachi.pdf
ДЗ: dz.pdf
Первое видео автора по теме
№1.
Даша взяла ипотеку 6 000 000 рублей под 12% годовых на 10 лет. Выплаты подбираются так, чтобы долг уменьшался равномерно.
1) сколько всего денег Даша отдаст банку?
2) На сколько процентов больше Даша отдаст банку по сравнению с суммой, взятой в кредит
3) Сколько процентов составляет сумма выплат по сравнению с суммой, взятой в кредит?
4) Можно ли ответить на вопросы
2) и 3) не зная, сколько денег взяли в кредит?
5) Чему равен 3й платеж?
6) Чему равен наименьший платеж? Наибольший?
7) Сколько выплатит Даша за первые 6 лет?
№2 (ЕГЭ 2016)
Сергей взял в банке кредит 1,2 млн рублей на срок 24 месяца. По договору Сергей должен возвращать в банк часть денег в конце каждого месяца. Каждый месяц общая сумма долга возрастает на 2%, а затем уменьшается на сумму, уплаченную Сергеем банку в конце месяца. Суммы, выплачиваемые Сергеем, подбираются так, чтобы сумма долга уменьшалась равномерно, т.е. на одну и ту же величину каждый месяц. Какую сумму Сергей вернет банку в течение первого года кредитования?
№3 (ЕГЭ 2016)
Эмиль взял кредит в банке на срок 12 месяцев. По договору Эмиль должен вернуть кредит ежемесячными платежами. В конце каждого месяца к оставшейся сумме долга добавляется r % этой суммы и своим ежемесячным платежом Эмиль погашает эти добавленные проценты и уменьшает сумму долга. Ежемесячные платежи подбираются так, чтобы долг уменьшался на одну и ту же величину каждый месяц (на практике такая схема называется «схемой с дифференцированными платежами»). Известно, что общая сумма, выплаченная Эмилем банку за весь срок кредитования, оказалась на 13 % больше, чем сумма, взятая им в кредит. Найдите r.
№4
В июле планируется взять кредит в банке на сумму 18 млн рублей на некоторый срок (целое число лет). Условия его возврата таковы: — каждый январь долг возрастает на 10% по сравнению с концом предыдущего года; — с февраля по июнь каждого года необходимо выплатить часть долга; — в июле каждого года долг должен быть на одну и ту же сумму меньше долга на июль предыдущего года. На сколько лет был взят кредит, если общая сумма выплат после полного погашения кредита составила 27 млн рублей?
№5 (ЕГЭ 2017)
15-го января был выдан полугодовой кредит на развитие бизнеса. В таблице представлен график его погашения
В конце каждого месяца, начиная с января, текущий долг увеличивался на 5%, а выплаты по погашению кредита происходили в первой половине каждого месяца, начиная с февраля. На сколько процентов общая сумма выплат при таких условиях больше суммы самого кредита?
15-го
января планируется взять кредит в банке на шесть месяцев в размере
1 млн рублей. Условия его возврата таковы:
— 1-го числа каждого
месяца долг увеличивается на r процентов по
сравнению с концом предыдущего месяца, где r — целое число;
— со 2-го по 14-е число
каждого месяца необходимо выплатить часть долга;
— 15-го
числа каждого месяца долг должен составлять некоторую сумму
в соответствии со следующей таблицей.
|
Дата |
15.01 |
15.02 |
15.03 |
15.04 |
15.05 |
15.06 |
15.07 |
|
Долг (в млн рублей) |
1 |
0,9 |
0,8 |
0,7 |
0,6 |
0,5 |
0 |
Найдите наименьшее значение r, при котором общая сумма выплат будет больше
1,2 млн рублей.
Ответ: 5.

Комментарий.
Модель
построена неверно. Если подставить вместо r число 3 в таблицу, то сумма долга уже на 1 число
второго месяца должна составить 4 млн рублей, кроме того, еще и неравенство
решено неверно.
Оценка эксперта: 0 баллов.
Пример 2.
15-го
января планируется взять кредит в банке на шесть месяцев в размере
1 млн рублей. Условия его возврата таковы:
— 1-го числа каждого
месяца долг увеличивается на r процентов по
сравнению с концом предыдущего месяца, где r — целое число;
— со 2-го по 14-е число
каждого месяца необходимо выплатить часть долга;
— 15-го
числа каждого месяца долг должен составлять некоторую сумму
в соответствии со следующей таблицей.
|
Дата |
15.01 |
15.02 |
15.03 |
15.04 |
15.05 |
15.06 |
15.07 |
|
Долг (в млн рублей) |
1 |
0,9 |
0,8 |
0,7 |
0,6 |
0,5 |
0 |
Найдите наименьшее значение r, при котором общая сумма выплат будет больше
1,2 млн рублей.
Ответ: 5.
Комментарий.
Модель
построена верно. Усложняет проверку отсутствие вычислений. В таблице все
результаты вычислений по формулам, записанным справа, верные. Логика решения
верна.
Оценка эксперта: 3 балла.
Пример 3.
15-го января был выдан полугодовой кредит на развитие
бизнеса. В таблице 15-го января планируется взять кредит в банке на шесть
месяцев в размере 1 млн рублей. Условия его возврата таковы:
— 1-го числа каждого
месяца долг увеличивается на r процентов по
сравнению с концом предыдущего месяца, где r — целое число;
— со 2-го по 14-е число
каждого месяца необходимо выплатить часть долга;
— 15-го числа каждого месяца долг должен
составлять некоторую сумму
в соответствии со следующей таблицей.
|
Дата |
15.01 |
15.02 |
15.03 |
15.04 |
15.05 |
15.06 |
15.07 |
|
Долг (в млн рублей) |
1 |
0,9 |
0,8 |
0,7 |
0,6 |
0,5 |
0 |
Найдите
наименьшее значение r, при котором общая сумма выплат будет больше
1,2 млн рублей.
Ответ: 5.
Пример 4.
В
июле 2020 года планируется взять кредит в банке на некоторую сумму. Условия его
возврата таковы:
—
каждый январь долг увеличивается на % по сравнению с концом предыдущего года;
—
с февраля по июнь каждого года необходимо выплатить одним платежом часть долга.
Если
ежегодно выплачивать по 58 564 рубля, то кредит будет полностью погашен за
4 года, а если ежегодно выплачивать по 106 964 рубля, то кредит будет
полностью погашен за 2 года. Найдите .
Ответ: 10.
Комментарий.
Обоснованно
получен верный ответ.
Оценка эксперта: 3 балла.
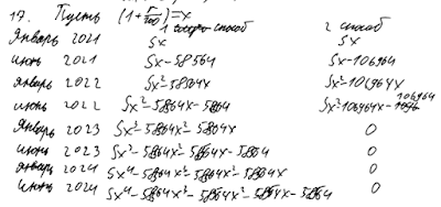
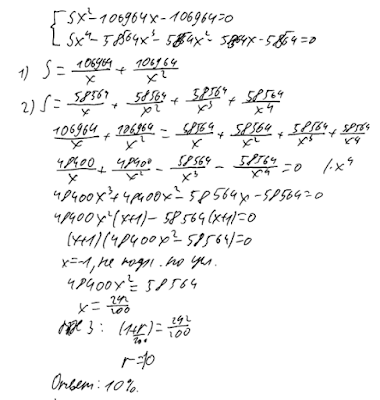
Пример 5.
В июле 2020 года планируется взять кредит в банке на некоторую
сумму. Условия его возврата таковы:
—
каждый январь долг увеличивается на % по сравнению с концом предыдущего года;
—
с февраля по июнь каждого года необходимо выплатить одним платежом часть долга.
Если
ежегодно выплачивать по 58 564 рубля, то кредит будет полностью погашен за
4 года, а если ежегодно выплачивать по 106 964 рубля, то кредит будет
полностью погашен за 2 года. Найдите .
Ответ: 10.
Комментарий.
В
решении без объяснений записаны уравнения. Переход от системы к уравнению
относительно k не объяснен. Числовой ответ явно не получен: не извлечен
корень из числа 14641. Таким образом, решение недостаточно обоснованное.
Оценка эксперта: 2 балла.
Пример 6.
15-го января был выдан полугодовой кредит на развитие
бизнеса. В таблице 15-го января планируется взять кредит в банке на шесть
месяцев в размере 1 млн рублей. Условия его возврата таковы:
— 1-го числа каждого
месяца долг увеличивается на процентов по
сравнению с концом предыдущего месяца, где — целое число;
— со 2-го по 14-е число
каждого месяца необходимо выплатить часть долга;
— 15-го числа каждого месяца долг должен
составлять некоторую сумму
в соответствии со следующей таблицей.
|
Дата |
15.01 |
15.02 |
15.03 |
15.04 |
15.05 |
15.06 |
15.07 |
|
Долг (в млн рублей) |
1 |
0,9 |
0,8 |
0,7 |
0,6 |
0,5 |
0 |
Найдите
наименьшее значение , при котором общая сумма выплат будет больше
1,2 млн рублей.
Ответ: 5.
Комментарий.
В
решении без объяснений записано неравенство. Неравенство явно не решено. Таким
образом, решение недостаточно обоснованное.
Оценка
эксперта: 2 балла.





















