* Данная работа не является научным трудом, не является выпускной квалификационной работой и представляет собой результат обработки, структурирования и форматирования собранной информации, предназначенной для использования в качестве источника материала при самостоятельной подготовки учебных работ.
Оглавление:
-
Введение
Цели
и методы составления бизнес-плана.
Структура
бизнес-плана.
План
маркетинга.
-
Планирование
инвестиций. -
Финансовый
план.
7.Оценка
и страхование рисков.
8.
План и стратегия развития фирмы.
9.
Заключение.
10.
Расчётная часть.
-
Список
использованной литературы
Введение
Бизнес-планы
являются для наших производителей новым
видом внутрихозяйственного или
внутрифирменного планирования, получившим
наибольшее распространение на малых и
средних предприятиях. Бизнес-планы
разрабатываются на различные инновационные
объекты или процессы, связанные с
проектированием или созданием новых
фирм и их подразделений, разработкой и
поставкой на рынок требуемых товаров
и услуг, реконструкцией предприятий и
расширением выпуска продукции,
совершенствованием технологии и
организации производства, повышением
качества товаров и производительности
труда. В них обосновывается определенная
социально-экономическая цель, как
правило, имеющая завершенный созидательный
результат: рост прибыли, увеличение
доли рынка, удовлетворение требований
покупателей, ускорение оборота продукции,
создание новых рабочих мест и т.д.
Актуальность
темы определена переходом от командной
модели экономики, при которой планирование
осуществлялось централизованно, к
рыночным отношениям. Современный рынок
предъявляет серьезные требования к
предприятию. Сложность и высокая
подвижность происходящих на нем процессов
создают новые предпосылки для более
серьезного применения планирования.
Выбранная
социально-экономическая цель фирмы на
предстоящий период ее
производственно-хозяйственной или иной
деятельности должна получить наиболее
полное отражение в разрабатываемом
бизнес-плане. На вновь создаваемые или
открываемые фирмы и предприятия
разрабатывается в соответствии с
проектом комплексный бизнес-план,
включающий подробные технико-экономические
расчеты по всем разделам и показателям
проектирования, строительства и освоения
нового производства товаров и услуг.
На действующих предприятиях бизнес-планы
обычно создаются с целью достижения
соответствующих стратегических,
тактических или оперативных направлений
или задач, связанных с дальнейшим
развитием производственных или
функциональных подразделений,
реструктуризацией или расширением
организации и т.д. При стабильной и
устойчивой работе предприятия бизнес-план
может быть направлен на обновление
основных производственных фондов и
развитие новых технологий. При значительном
спаде производства, имеющем место в
переходный период, бизнес-план должен
предусматривать поиск новых рынков,
расширение сбыта продукции и т.п. В одних
случаях требуется разработка комплексных
бизнес-планов, в других — локальных
бизнес-проектов. Бизнес-планы нужны на
открытие любого нового проекта или
своего дела всем производителям и
предпринимателям.
Бизнес-план
представляет собой документ, который
описывает аспекты будущего коммерческого
предприятия, анализирует проблемы, с
какими оно может столкнуться, а также
устанавливает способы их решения.
Бизнес-план в конечном счете должен
дать правильный ответ на такие важные
вопросы рыночных отношений, как возможная
стоимость проекта и планируемые доходы.
Каждый предприниматель должен знать,
сколько будет стоить новый проект и
принесет ли это дело доходы, а если
принесет, то когда и какова степень
риска? Ответы на эти вопросы рационального
хозяйствования в сложных рыночных
отношениях дает правильно составленный
бизнес-план. Передовой зарубежный опыт
свидетельствует, что в условиях рынка
всем производителям необходимо составлять
планы как долгосрочной, так и текущей
деятельности. Это означает, что всем
нашим предпринимателям следует также
иметь деловые планы. Составление
бизнес-плана служит первым шагом каждого
начинающего предпринимателя в сферу
инновационной, хозяйственной, коммерческой
или инвестиционной деятельности.
Разработка такого плана требует не
только всесторонней экономической
оценки будущего бизнес-проекта
профессиональными менеджерами, но и
непосредственного участия самих
предпринимателей и высших руководителей
предприятия или фирмы. Совместное
участие в составлении бизнес-планов
экономистов и предпринимателей особенно
необходимо на отечественных предприятиях,
имеющих многолетний опыт составления
тактических и стратегических, в частности
пятилетних и годовых, планов. Поэтому
возникает вопрос о преемственности или
соотношении широко известных в российской
промышленности систем и методов
планирования социально-экономического
развития предприятий и новых бизнес-планов.
2.Цели
и методы составления бизнес-плана.
Бизнес-план
составляется в целях эффективного
управления и планирования бизнеса и
является одним из основных инструментов
управления предприятием, определяющих
эффективность его деятельности.
В
условиях рынка и жестокой конкурентной
борьбы предприятие должно уметь быстро
и адекватно реагировать на изменения,
происходящие во внешней среде и внутри
самого предприятия.
Это
становится возможным, когда выполняется
несколько условий:
администрация
и инвестор правильно оценивают реальное
финансовое положение предприятия и его
место на рынке;
существуют
конкретные цели к достижению которых
должно стремиться предприятие;
планируется
и выполняется каждый шаг по достижению
этих целей;
администрация
предприятия и инвестор понимают суть
процессов происходящих на рынке, во
внешней среде и внутри самой организации.
Бизнес-план
составляется для внутренних и внешних
целей. В подавляющем большинстве случаев,
так уж сложилось в нашей стране,
бизнес-план начинают составлять, когда
необходимо привлечь инвестиции. Но дело
в том, что это только одна сторона дела,
на самом деле он составляется не только
для внешних целей.
Внешние
цели, для которых составляется бизнес-план
— обоснование необходимости привлечения
дополнительных инвестиций или заемных
средств, демонстрация имеющихся у фирмы
возможностей и привлечение внимания
со стороны инвесторов и банка, убеждение
их в достаточном уровне эффективности
инвестиционного проекта и высоком
уровне менеджмента предприятия.
Каждый
инвестор захочет оценить выгодность
инвестирования в предлагаемый
инвестиционный проект и оценить
соотношение возможной отдачи от проекта
и рискованности вложений, а лучший
способ для этого — изучить и проанализировать
бизнес-план инвестиционного проекта.
Бизнес-план,
по сути — визитная карточка инвестиционного
проекта. Он дает инвестору ответ на
вопрос, стоит ли вкладывать средства в
данный инвестиционный проект и при
каких условиях он будет наиболее
эффективен при допустимой для инвестора
степени риска и верности допущений
сделанных разработчиком инвестиционного
проекта.
Обязательным
условием получения банковского кредита
является предоставленный банку грамотно
составленный бизнес-план инвестиционного
проекта. Если у заемщика он отсутствует,
это говорит о низком профессиональном
уровне администрации предприятия и
делает получение банковского кредита
невозможным, кроме того, в будущем банк
будет оценивать выдачу кредита такому
предприятию, как более высокорисковую
операцию, что обязательно повлияет на
величину процентов по кредиту в сторону
увеличения.
Гораздо
более важными для предприятия являются
внутренние цели, для которых составляется
бизнес-план.
Внутренние
цели — проверка знаний управляющего
персонала, понимания ими рыночной среды
и реального положения предприятия на
рынке. Очень важны достижение понимания
инвестором и администрацией предприятия
стратегических целей, характеристик,
конкурентной среды, слабых и сильных
сторон конкретного инвестиционного
проекта, его возможной эффективности
при заданных условиях.
Таким
образом, составив бизнес-план, Вы сделаете
предприятие более эффективным и
управляемым, сможете с более высокой
точностью прогнозировать ситуацию на
будущее.
Создание
новых проектов предполагает предварительное
экономическое обоснование их
целесообразности, последующее планирование
необходимых затрат на их осуществление
и ожидаемых конечных результатов.
Бизнес-планирование позволяет
экономистам-менеджерам не только
обосновать необходимость разработки
того или иного инновационного проекта,
но и возможность его реализации в
действующих рыночных условиях.
Основными
объектами бизнес-планирования в свободных
экономических отношениях служат
высокодоходные и конкурентоспособные
инновационные проекты. Как известно,
современный рынок, основанный на
соблюдении всеми производителями и
потребителями равновесия между спросом
и предложением и соизмерении своих
доходов и расходов, всегда будет отдавать
предпочтение в кредитовании и
финансировании тем производственным,
предпринимательским или коммерческим
предложениям, которые в будущем дадут
наибольший социально-экономический
результат. Бизнес-планы в основном
предназначаются для того, чтобы
способствовать выходу на рынок
высококонкурентных новых видов товаров
и услуг.
Следовательно,
любой инновационный бизнес-проект
должен иметь соответствующий бизнес-план
обоснования оптимальных показателей
производства и продажи товаров и услуг
как на отечественном, так и на зарубежном
рынке. В рыночных отношениях бизнес-план
сам превращается в своеобразный товар,
продвижение которого в окружающую
предприятие внешнюю банковско-кредитную
или финансово-инвестиционную среду
должно принести максимальный доход
разработчикам нового проекта.
В
период становления рыночных отношений
среди некоторых наших экономистов стала
распространяться и теория о том, что на
смену внутрихозяйственному планированию
пришло бизнес-планирование. Однако
многолетняя практика подтвердила не
только возможность, но и необходимость
совместного существования этих систем
планирования на отечественных
предприятиях. Механизм делового рыночного
планирования, как справедливо считает
В. М. Попов, включает теорию, методологию
и практику планово-управленческой
деятельности, охватывающей общие
закономерности и российскую специфику
рыночных экономических отношений.
Изменились ориентиры, методы и инструменты
хозяйствования, в основу которых положены
рыночные законы спроса и предложения.
В этих условиях деловое планирование
или бизнес-планы должны объединить все
этапы реализации предпринимательских
проектов: от выбора стратегической или
тактической цели до ее полной реализации
на соответствующем рынке. Бизнес-планирование
включает такие этапы, как выбор и
обоснование вида деятельности, выявление
наиболее реальных проектов ее
осуществления, экономическую оценку
затрат и результатов, разработку
детализированного бизнес-плана,
обеспечение выполнения запланированных
мероприятий, корректировку плановых
показателей и уточнение фактической
эффективности использования бизнес-проекта.
Таким
образом, практика планирования
подтверждает тесное взаимодействие
бизнес-планов и социально-экономических
планов, сложившихся на российских
предприятиях в последние годы. Однако
между этими видами планов существуют
и различия, свидетельствующие о наличии
у каждого из них своего собственного
предмета и места как в сфере внутрифирменного
планирования, так и во всей системе
рыночного хозяйствования.
Во-первых,
бизнес-планирование, в отличие от
внутрипроизводственного или корпоративного
планирования, включает не весь комплекс
общих целей предприятия или корпорации,
а одну из важнейших задач, определяющих
конкретное содержание планирования
нового вида деятельности или бизнес-проекта.
Бизнес-план ориентируется главным
образом на разработку новой стратегии
или тактики развития предприятия, тогда
как социально-экономическое планирование
может включать различные виды совместной
текущей и перспективной деятельности.
Во-вторых,
бизнес-планы разрабатываются на
инновационные проекты, четко очерченные
временными сроками их выполнения, по
истечении которых работа над данным
бизнес-проектом завершается. Внутрифирменное
планирование производится и осуществляется
непрерывно на всех уровнях управления
хозяйством. По мере выполнения одного
годового плана фирмы после соответствующей
корректировки переходят к осуществлению
очередного плана и т.д. Бизнес-план имеет
не только четкие временные, но и более
узкие пространственные границы, тогда
как любой внутрифирменный план таких
четких ограничений не имеет.
В-третьих,
основное назначение бизнес-плана состоит
в открытии предпринимателями нового
дела и получении на выполнение проекта
необходимых производственных ресурсов
и в первую очередь денежных средств.
Поиск надежных инвесторов требует
наиболее тщательного обоснования многих
финансовых показателей с учетом
существующей степени риска не только
во внутренней производственно-хозяйственной
деятельности, но и во внешних
кредитно-финансовых и банковских
структурах. Внутрифирменные планы
необходимы в большей степени для
собственного использования, тогда как
бизнес-планы нужны для внешних инвесторов
и кредиторов.
В-четвертых,
бизнес-планы разрабатываются
непосредственно под руководством и при
личном участии предпринимателя —
учредителя фирмы. Внутрифирменным
планированием, как правило, занимаются
профессиональные экономисты-менеджеры
и плановики линейных и функциональных
подразделений предприятия. Личное
участие каждого бизнесмена-предпринимателя
в разработке делового плана своего
нового предприятия способствует не
только выработке реальной стратегической
и оперативной цели, но и обеспечивает
в будущем наиболее ‘совершенную
организацию выполнения бизнес-проекта
на основе соизмерения затрат и результатов.
В-пятых,
отечественные специалисты пока не имеют
научно обоснованных методик разработки
бизнес-планов применительно к нашим
условиям новых рыночных отношений,
поскольку в большинстве методических
и учебных рекомендаций раскрывается
преимущественно опыт планирования на
сложившемся зарубежном рынке. В то же
время на российских предприятиях в
условиях спада производства недостаточно
широко используется имеющийся опыт
внутрихозяйственного планирования.
Поэтому в настоящее время требуется
комплексный подход к развитию теории
и практики не только бизнес-планирования,
но и всей системы внутрихозяйственного
планирования на отечественных предприятиях
и фирмах с разными формами собственности
и организационными особенностями.
В
условиях рынка основные плановые задачи
каждого предприятия сводятся к решению
следующих вопросов:
какой
вид продукции или какое новое дело
выбрать для выхода на отечественный и
зарубежный рынок;
каков
будет рыночный спрос на предлагаемые
товары и услуги и как он будет изменяться;
какие
ресурсы и в каких количествах потребуются
для организации бизнес-проекта;
сколько
будут стоить необходимые ресурсы и где
найти надежных поставщиков;
каковы
будут издержки на организацию производства
и реализацию продукции и услуг на
соответствующих рынках;
какой
может быть рыночная цена на данную
продукцию и как на нее повлияют конкуренты;
какими
могут быть общие доходы и как их следует
распределять между всеми участниками
бизнес-проекта;
каковы
будут показатели эффективности
производства и как их можно повысить.
3.Структура
бизнес-плана.
На
начальных этапах составления бизнес-планов
на те или иные бизнес-проекты достаточно
приближенных ответов на основе выполнения
укрупненных расчетов экономистами-менеджерами.
В дальнейшем требуется проведение
специалистами подробных или уточненных
расчетов основных планово-экономических
показателей. Содержание бизнес-плана,
его состав и степень детализации
определяются взаимодействием таких
факторов, как вид и объем выпускаемой
продукции, величина рыночного спроса
и предложения, уровень развития и
масштабы производства, источник
финансирования бизнеса и платежеспособность
предприятия и т.п. Для предварительного
технико-экономического обоснования
бизнес-проекта, как подтверждает
отечественная практика, необходимы
следующие рыночные показатели:
общие
исходные данные и условия выполнения
проекта;
рынок
сбыта продукции и производственная
мощность;
материальные
факторы производства и требуемые
ресурсы;
местонахождение
предприятия и транспортные связи;
проектно-конструкторская
документация;
организация
предприятия и накладные расходы;
потребность
трудовых ресурсов и источники покрытия;
планирование
сроков осуществления проекта;
финансово-экономическая
оценка бизнес-проекта.
Приведенные
показатели бизнес-плана определяют не
только содержание, но и последовательность
выполнения необходимых планово-экономических
расчетов. Поэтому для качественной
разработки бизнес-планов необходима
достоверная исходная маркетинговая,
производственная, финансовая и другая
планово-экономическая информация. В
связи с этим рассмотрим примерную
структуру действующих на зарубежных
фирмах бизнес-планов, раскрывающих
более подробно как исходную информацию,
так и разрабатываемые на ee основе
плановые показатели.
Титульный
лист: название и адрес фирмы; имена и
адреса учредителей; суть предлагаемого
проекта; стоимость проекта.
Вводная
часть: основные положения предлагаемого
проекта.
Анализ
положения дел в отрасли: текущая ситуация
и тенденции ее развития; потенциальные
конкуренты; предполагаемые потребители.
Существо
предлагаемого проекта: выпускаемая
продукция; выполняемые работы и услуги;
необходимые помещения и оборудование;
требуемый административный и
производственный персонал; сведения о
самом предпринимателе и его партнерах.
Производстенный
план: содержание технологического и
производственного процессов; предполагаемые
субподрядчики и партнеры; стоимость
основных производственных фондов;
номенклатура и объем выпуска продукции;
перечень применяемых материалов;
поставщики сырья.
План
маркетинга: предполагаемые цены на
продукцию; возможные каналы сбыта;
реклама продукции; прогноз новых видов
изделий; целевые показатели.
Организационный
план: форма собственности; сведения о
партнерах (пайщиках); мера ответственности
партнеров; состав руководящих органов;
организационная структура фирмы;
распределение обязанностей и функций.
Финансовый
план: план доходов и расходов; денежные
поступления и платежи; балансовый план;
точка самоокупаемости; основные источники
денежных средств; порядок использования
доходов.
Оценка
риска: слабые стороны предприятия;
вероятность появления новых технологий;
альтернативные стратегии; надежность
партнеров и поставщиков.
Приложения:
перечень основных документов.
В
российском малом и большом предпринимательстве
в последние годы значительно расширилась
практика составления бизнес-планов с
учетом специфики новых рыночных
отношений. Приведем для примера основные
показатели бизнес-планов, разрабатываемых
на предприятиях Московской области:
наименование
инвестиционного проекта и его краткое
описание;
цель
проекта и сроки его реализации;
срок
окупаемости инвестиций;
ожидаемые
результаты от реализации проекта
(прирост производства продукции и
прибыли, рост экспорта, повышение
качественных характеристик);
предполагаемая
стоимость проекта (общая стоимость, в
том числе привлечение средств из
областного бюджета);
предельно
минимальный срок кредита;
форма
гарантии возврата ссуды (залог земли,
недвижимость, оборудование, страховка);
план
инвестиций и срок возврата ссуды по
месяцам года;
основные
рынки сбыта продукции и конкуренты;
результаты
реализации проекта (новые рабочие места,
закупка технологии, оборудования);
структура
себестоимости по основным статьям
расходов.
4.План
маркетинга.
Раздел,
посвященный маркетингу,
является одной из важнейших частей
бизнес-плана. Цель данного раздела —
разъяснить, как предполагаемый бизнес
намеревается воздействовать на рынок
и реагировать на складывающуюся на нем
обстановку, чтобы обеспечить сбыт
товара.
Маркетинг-план
может быть представлен по-разному в
зависимости от вида бизнеса и сложности
рынка. Однако в любом бизнес-плане в том
или ином виде должны быть отражены
следующие аспекты маркетинг-плана:
-
определение
спроса и емкости рынка;
анализ
конкуренции и других факторов воздействия
на развитие данного бизнеса;
описание
стратегии маркетинга данной компании
(стратегии сбыта, рекламы и продвижения
товара, ценообразования, стимулирования
продаж и т.д.);
результаты
исследования рынка;
прогнозы
объемов продаж.
План
маркетинга на предприятии можно понимать
в широком и узком смысле этого слова.
План
маркетинга — это маркетинговый раздел
комплексного бизнес-плана развития
предприятия.
Однако есть и понимание плана маркетинга
в узком смысле этого слова — это перечень
тактических мероприятий, позволяющих
улучшить положение предприятия на
занимаемых сегментах рынка (в данной
работе рассмотрим план маркетинга
именно в этом контексте).
Мероприятия
в плане маркетинга можно подразделить
на следующие основные блоки:
-
меры
по активизации сбыта продукции;
меры
по ориентации предприятия на Потребителя;
мероприятия
по сбору коммерческой информации;
мероприятия
по подготовке аналитических материалов
по анализу наиболее перспективных
сегментов рынка;
предложения
по ценообразованию;
предложения
по ассортименту выпускаемой продукции;
предложения
по рекламе и отношениям с общественностью.
План
маркетинга удобнее представлять в
табличной форме. Причем намечаемые к
реализации мероприятия целесообразно
разделить на два раздела — регулярные
(в этом случае срок — это периодичность)
и разовые (контрольная дата, отчетность).
Результат
может быть выражен как в количественных,
так и в качественных показателях
деятельности предприятия.
Ключевая
задача текущего момента — обеспечить
потребителю максимально благоприятные
условия обслуживания.
Работы,
которые необходимо предварительно
проделать любой организации перед
началом разработки плана маркетинга:
-
выявить
ключевые бизнес-процессы в организации
по всем функциональным направлениям;
сформировать
стратегию развития предприятия на
совместном совещании руководителей и
специалистов по финансам, маркетингу
и производству.
Кроме
того, еще одна группа мероприятий особого
рода — это мероприятия по сбору и анализу
коммерческой информации. С одной стороны,
эти мероприятия дают основные исходные
предпосылки для формирования стратегии,
а с другой стороны сами являются строками
в разработанном плане маркетинга.
5.Планирование
инвестиций.
Инвестиции
— совокупность долговременных затрат
финансовых, трудовых, материальных
ресурсов с целью увеличения накоплений
и получения прибыли. Инвестиции,
обеспечивая динамичное развитие
предприятий, позволяют решать следующие
задачи:
-
Расширение
собственной предпринимательской
деятельности за счет накопления
финансовых и материальных ресурсов; -
Приобретение
новых предприятий; -
Диверсификация
за счет освоения новых областей бизнеса.
Все
инвестиции можно разделить на две
основные группы:
Портфельные
инвестиции
— вложения капитала в группу проектов,
например, приобретение ценных бумаг
различных предприятий.
Реальные
инвестиции
— финансовые вложения в конкретный, как
правило, долгосрочный проект и обычно
связанный с приобретением реальных
активов.
С
точки зрения направленности действий,
инвестиции подразделяются на:
-
Начальные
инвестиции
Инвестиции
на расширение
Реинвестиции
— направление свободных средств
предприятия на приобретение новых
основных средств
Инвестиции
на замену основных фондов
Инвестиции
на диверсификацию и др.
При
создании нового предприятия всегда
возникает необходимость в инвестициях.
Действующая
компания может инвестировать в новое
оборудование для расширения производства,
потому что дополнительная прибыль от
дополнительных продаж делает такие
инвестиции привлекательными.
Также
можно инвестировать в обновление
изношенного и устаревшего оборудования,
чтобы улучшить эффективность по затратам.
Здесь обоснованием инвестиций является
уменьшение производственных расходов.
Инвестиции
могут также затрагивать значительные
расходы по продвижению товаров на рынок
с целью увеличить количество продаж,
и, таким образом, коммерческую прибыль
от большего объема деятельности.
Инвестиционное
планирование заключается в составлении
прогнозов наиболее эффективного вложения
финансовых ресурсов в земельные участки,
производственное оборудование, здания,
природные ресурсы, развитие продукта,
ценные бумаги и другие активы.
Планирование
инвестиций является стратегической и
одной из наиболее сложных задач управления
предприятием. При этом процессе важно
учитывать все аспекты экономической
деятельности компании, начиная от
окружающей среды, показателей инфляции,
налоговых условий, состояния и перспектив
развития рынка, наличия производственных
мощностей, материальных ресурсов и
заканчивая стратегией финансирования
проекта.
Основными
задачами инвестиционного планирования
являются:
-
Определение
потребности в инвестиционных ресурсах.
Определение
возможных источников финансирования
и рассмотрение связанных с этим вопросов
взаимодействия с инвесторами.
Оценка
платы за этот источник.
-
Подготовка
финансового расчета эффективности
инвестиций с учетом возврата заемных
средств.
-
Разработка
подробного бизнес-плана проекта для
представления потенциальному инвестору.
Выполнение
ряда основных правил позволяет планировать
будущие капиталовложения наиболее
эффективно.
-
Перед
тем, как принять решение об инвестиции,
очень важно определить проблему, которая
будет решена в результате ее
осуществления.В
большинстве случаев существуют несколько
путей достижения цели инвестиций и
очень важно определить оптимальный
путь в самом начале планирования. -
Большинство
капиталовложений не зависят друг от
друга. Это означает, что выбор одного
капиталовложения не мешает выбрать и
любое другое.
Тем не менее, есть обстоятельства,
в которых инвестиционные проекты
конкурируют между собой по своим целям,
например, в том случае, когда рассматриваются
два возможных пути решения одной и той
же проблемы. Такие инвестиционные
проекты называются взаимоисключающими.
Другой тип инвестиций касается
последовательных затрат, совершаемых
в дополнение к первоначальному вложению.
Любые капиталовложения в здания и
оборудование обычно содержат
дополнительные будущие затраты на
поддержание их в рабочем состоянии,
усовершенствование и частичную замену
в течение нескольких последующих лет.
Такие будущие затраты следует
рассматривать уже на первой стадии
принятия решения. -
Успех
долгосрочных инвестиций полностью
зависит от будущих событий и их
неопределенности. Недостаточно
предполагать, что прошлые условия и
опыт останутся неизменными и будут
применимы к новому проекту. Здесь может
помочь тщательный анализ изменений
отдельных переменных, таких как объем
продаж, цены и стоимость сырья и т. д.
Такой анализ помогает сузить диапазон
будущих ошибок. -
Инвестиционный
процесс всегда связан с риском, и чем
длительнее проект и сроки его окупаемости,
тем он рискованнее. В связи с этим при
принятии решения необходимо учитывать
фактор времени. Не требует доказательств,
что рубль, полученный сегодня, стоит
дороже рубля, полученного год спустя.
Для того, чтобы более корректно оценить
будущие доходы от инвестиционной
деятельности, требуется метод перевода
относительных величин этих будущих
потоков в величины на сегодняшний день.
Для такого перевода в экономическом
анализе существуют специальные
математические методы, позволяющие
определить будущие поступления с учетом
фактора времени: метод наращения и
метод дисконтирования.
Прогнозируется
возможность получения инвестиций,
рентабельность вашего бизнеса. Помимо
того, что планирование инвестиций
не только позволяет оценивать
инвестиционные проекты, но также
является обязательным для исполнения
документом. При этом форма собственности
будущего производства не имеет
никакого значения.
Общие расходы при инвестировании
включают в себя получение в собственность
(приобретение), использование и ликвидацию
объектов инвестирования. Планировать
инвестиции можно на разные сроки.
Однако, если расходы за несколько
месяцев можно определить как разовые,
то необходимы точные время и дата
на каждую статью расхода.
6.Финансовый
план.
Этот
раздел бизнес-плана должен дать
возможность оценить способность проекта
обеспечивать поступление денежных
средств в объеме, достаточном для
обслуживания долга (или выплаты
дивидендов, когда речь идет об инвестициях).
Следует
подробным образом описать потребность
в финансовых ресурсах, предполагаемые
источники и схемы финансирования,
ответственность заемщиков и систему
гарантий. Особое значение следует
уделить описанию текущего и прогнозируемого
состояния окружающей экономической
среды. Должны быть отражены
труднопрогнозируемые факторы, их
альтернативные значения для различных
вариантов развития событий.
Требуется
четкая разбивка расходов по проекту и
использования средств.
Должны
быть описаны условия всех остальных
относящихся к проекту или уже находящихся
на балансе кредитов. Необходимо четко
показать, как и кем (самим предприятием
или независимым подрядчиком) составлялась
смета расходов; предполагаемая степень
четкости сметы. Должны быть описаны
условия, оценки и предположения, базируясь
на которых, рассчитывались финансовые
результаты проекта.
Необходимо
отразить (помесячно, поквартально, по
годам):
-
изменение
курса рубля к доллару;
перечень
и ставки налогов;
рублевую
инфляцию (возможен различный процент,
в зависимости от объекта);
формирование
капитала за счет собственных средств,
кредитов выпуска акций и т.д.
порядок
выплаты займов, процентов по ним и т.д.
Обычно
финансовый раздел бизнес-плана представлен
тремя основными документами:
-
отчетом
о прибылях и убытках (показывает
операционную деятельность предприятия
по периодам);
планом
движения денежных средств (Кэш-Фло);
балансовой
ведомостью (финансовое состояние
предприятия в определенный момент
времени).
При
необходимости может быть представлен
график погашения кредитов и уплаты
процентов; сведения об оборотном капитале
с указанием изменений и исходных посылок
в течение срока кредита; предполагаемый
график уплаты налогов.
В
дополнение к этому прилагаются расчеты
основных показателей платежеспособности
и ликвидности, а также прогнозируемые
показатели эффективности проекта.Сроки
прогнозов должны совпадать (как минимум)
со сроками кредита/инвестиций, которые
запрашиваются по проекту.
Цель
разработки финансового плана
— определение возможных объемов финансовых
ресурсов, капитала и резервов на основе
прогнозирования финансовых показателей
предприятия. Важным моментом финансового
плана является его стратегия, т.е.
определение центров доходов (прибыли)
и центров расходов хозяйствующего
субъекта. Центр дохода хозяйствующего
субъекта — это его подразделение, которое
приносит ему максимальную прибыль.
Центр расходов — подразделение
хозяйствующего субъекта, являющееся
малорентабельным или вообще некоммерческим,
но играющее важную роль в общем
производственно-торговом процессе.
Например, в западных странах многие
фирмы придерживаются правила «двадцать
на восемьдесят», т.е. 20% затрат капитала
должны давать 80% прибыли. Следовательно,
остальные 80% вложений капитала приносят
только 20% прибыли.
Финансовый
план предприятия обычно разрабатывается
на 5 лет, год или квартал. В соответствии
с этим существует перспективный
(стратегические, в том числе пятилетние),
текущий и оперативный финансовый план.
Перспективный
финансовый
план определяет важнейшие показатели,
пропорции и темпы расширенного
воспроизводства. Пятилетний финансовый
план — это главная форма реализации цели
и задач развития предприятий, стратегии
инвестиций и предполагаемых накоплений.
Перспективный финансовый план обычно
является коммерческой тайной предприятия.
Текущий финансовый план включает в себя
годовой баланс доходов и расходов, сметы
образования и расходования фондов
денежных средств: фонда оплаты труда,
фонда средств, направляемых на развитие
и совершенствование производства (фонда
накопления); фонда средств, направляемых
на социальные нужды; резервных и других
фондов. Текущий финансовый план
разрабатываются на основе перспективных
планов путем их конкретизации и
детализации. Производится конкретная
увязка каждого вида вложений или фонда
и источника их финансирования.
Оперативный
финансовый план заключается в составлении
и использовании платежного календаря
— подробного финансового документа,
отражающего оперативный денежный оборот
предприятия. Поскольку весь оборот
проходит через расчетный, текущий,
валютный и ссудные счета, то в нем
представлено движение денежных средств
по их поступлению и использованию.
Платежный календарь оперативного
финансового плана обеспечивает
оперативное финансирование, выполнение
расчетных и платежных обязательств,
фиксирует происходящие изменения в
платежеспособности предприятия,
позволяет отслеживать состояние
собственных средств, а также привлекать
в необходимых случаях банковский или
коммерческий кредит. Составление и
использование платежного календаря
финансового плана являются реализацией
распределительной и контрольной функции
финансов предприятия.
Для
разработки финансовых планов используются
следующие исходные данные:
-
договоры
(контракты), заключенные с потребителями
продукции (работ, услуг) и поставщиками
товарно-материальных ценностей;
прогнозные
расчеты по реализации продукции
потребителем и прибыли;
экономические
нормативы, устанавливаемые государством
(ставки налогообложения, тарифы отчислений
во внебюджетные фонды, норма амортизационных
отчислений по основным фондам, учетная
ставка банковского процента, устанавливаемая
Центробанком России и др.).
разработанный
на основе этих данных финансовый план
служит для увязки общего объема финансовых
ресурсов с их источниками и направлениями
расходования.
7.Оценка
и страхование рисков
Риски
присутствуют в нашей жизни повсеместно.
Сначала мы думаем, как заработать деньги,
а потом — либо как их потратить сегодня,
либо как сохранить в течение какого-то
периода и приумножить для будущих трат.
Риск
связан с неопределенностью будущей
ситуации. Он возникает тогда, когда
реальные события отличаются от ожидаемых.
Риск может обуславливать как выигрыш,
так и потери. Если мы надеемся на удачу
и бездействуем, то это — пассивная
позиция. Если мы пытаемся застраховаться
от негативных воздействий и обеспечить
благоприятный исход в будущем, это —
активная позиция.
Под
риском понимается возможная опасность
потерь, вытекающая из специфики тех или
иных явлений природы и видов деятельности
человеческого общества. Как экономическая
категория риск представляет собой
событие, которое может произойти или
не произойти. Возможны три экономических
результата такого события: отрицательный
(проигрыш, ущерб, убыток),, нулевой,
положительный (выигрыш, выгода, прибыль).
Риском
можно управлять, т.е. использовать
различные меры, позволяющие в определенной
степени прогнозировать наступление
рискового события и принимать меры к
снижению степени риска.
Эффективность
организации управления риском во многом
определяется классификацией риска.
Основные виды рисков следующие.
Риск
в предпринимательстве — это вероятность
того, что предприятие понесет убытки и
потери в том случае, если намеченное
мероприятие (управленческое решение)
не осуществится, а также, если были
допущены просчеты или ошибки при принятии
управленческих решений. Факторы, влияющие
на предпринимательский риск, можно
разделить на две большие группы:
макроэкономические и микроэкономические.
Риск, обусловленный действием
макроэкономических факторов, иногда
называют системным, связанным с
функционированием экономической системы
в целом. Несистемные риски связаны с
конкретной сферой бизнеса и зависят
главным образом от воздействия на нее
микроэкономических факторов.
Глубина
анализа рисков зависит от конкретного
вида деятельности и величины проекта.
Для крупных проектов необходим тщательный
просчет рисков с использованием
специального математического аппарата
теории вероятностей. для более простых
проектов достаточен анализ с помощью
экспертных оценок.
Поэтому
от предпринимателя требуется хотя бы
ориентировочно оценить, какие риски
для него наиболее вероятны и во что они
могут обойтись. Для этого необходимо
сделать следующее:
выявить
полный перечень возможных рисков;
определить
вероятность возникновения каждого;
оценить
ожидаемый размер убытков;
проранжировать
их по вероятности возникновения;
установить
приемлемый уровень риска и отбросить
все те, вероятность возникновения
которых ниже данного уровня (например,
предприниматель не рассматривает риски,
вероятность которых не превышает 0,3).
Задача
планирования — выявить возможные риски
на пути реализации предпринимательской
деятельности и разработать методы
защиты от их влияния. Этот раздел очень
важен, так как инвесторы (кредиторы), и
сам предприниматель должны знать, с
какими проблемами может столкнуться
предприятие и как предприниматель
предполагает выйти из данной ситуации.
При написании данного раздела следует
осветить следующие основные моменты:
1.
Дать общую оценку возможных рисков.
Необходимо четко представлять степень
рискованности предпринимательского,
проекта — либо это невысокий риск с
небольшой прибылью, или это рискованные
капиталовложения при высоком уровне
прибыли. Возможно использование известных
методов оценки риска, среди которых
статистический и экспертный методы, а
также их комбинации.
2.
Привести перечень возможных рисков с
указанием вероятности их возникновения
и ожидаемого ущерба от этого.
По
источнику возникновения различают
риск:
—
хозяйственный;
—
связанный с личностью человека;
—
обусловленный природными факторами.
По
причине возникновения риски делят на
обусловленные:
—
непреодоленностью будущего
—
непредсказуемостью поведения партнеров
—
недостатком информации
По
характеру проявления риски разделяют
на политические и коммерческие
(технические и рыночные).
3.
Указать организационные меры по
профилактике и нейтрализации рисков,
особенно в случае форс-мажорных
обстоятельств, таких как колебания
курсов валют, забастовки, межнациональные
конфликты, принятие новых нормативных
актов или смена общегосударственного
курса. Среди мер снижения риска выделяют
эффективное прогнозирование и
систематическое планирование деятельности
фирмы, страхование и самострахование,
хеджирование фьючерсных сделок, выпуск
опционов, диверсификацию. Коммерческие
риски, как правило, принимают на себя
инвесторы или же они страхуются путем
заключения долгосрочных контрактов на
поставку сырья, материалов или необходимого
оборудования. Широко применяется на
стадии строительства новых объектов
заключение контрактов «под ключ», где
подрядчик несет полную ответственность
за сдаваемый в эксплуатацию объект.
Технические риски могут быть застрахованы
соглашением о генеральном управляющем
проекта, при котором один из инвесторов,
имеющий наиболее высокий уровень
технической экспертизы и опыт в подобного
рода проектах, несет полную ответственность
за текущую эксплуатацию объекта.
Политические риски труднее поддаются
оценке и страхованию. В большинстве
случаев политические и региональные
риски принимают на себя специальные
организации; т. е. финансово-кредитные
институты, специализирующиеся на
страховании подобного вида рисков.
4.
Представить программу страхования от
рисков.
5.
Рассчитать «затраты на минимизацию
рисков.
Деятельность
предприятия, так или иначе, связана с
риском, и задачей руководства предприятия
является снижение риска. Для этого
используются различные способы, которые
можно подразделить на две группы —
внешние и внутренние.
Диверсификация
— это
распределение капиталовложений между
разнообразными видами деятельности,
результаты которых между собой
непосредственно не связаны. Предприятие,
неся убытки по одному виду деятельности,
может получить прибыль по-другому.
Диверсификация позволяет повысить
устойчивость предприятия к изменениям
в предпринимательской среде.
Страхование
— это передача определенных рисков
страховой компании: Для снижения степени
риска используются имущественное
страхование и страхование от несчастных
случаев. Первое может иметь следующие
формы: страхование риска подрядного
строительства, страхование оборудования,
страхование грузов и др. Второе включает
страхование общей гражданской
ответственности и страхование
профессиональной ответственности.
Широко используется и такой вид
страхования, как хеджирование — страхование
цены товара от риска либо нежелательного
для производителя ее падения, либо
невыгодного для ,потребителя увеличения.
8.План
и стратегия развития фирмы.
Особое
место в плановой организации деятельности
фирмы занимает перспективное,
стратегическое планирование, которое
является одной из основных функций
управления и представляет собой процесс
определения целей создания организации,
а также путей их достижения. Стратегическое
планирование формирует основу для всех
управленческих решений.
Функции
организации, мотивации и контроля
менеджмента ориентированы на разработку
и реализацию стратегических планов.
Динамичный процесс стратегического
планирования является тем зонтиком,
под которым укрываются все управленческие
функции. Не используя преимущества
стратегического планирования, фирма и
отдельные ее сотрудники будут лишены
реального способа оценки целей и
направления развития предприятия.
Процесс стратегического планирования
обеспечивает основу для управления
коллективом фирмы. Можно отметить, что
это планирование становится все более
актуальным и для российских предприятий,
которые вступают в жесткую конкуренцию
как между собой, так и с иностранными
компаниями.
Разработка
программы деятельности фирмы является
первым этапом стратегического
планирования, которое представляет
управленческую деятельность по созданию
и поддержанию стратегического соответствия
между целями фирмы, ее потенциальными
возможностями и шансами в сфере
маркетинга. Задача руководства фирмы
— создать хозяйственный механизм,
обеспечивающий наиболее быструю ее
адаптацию к изменяющимся внешним
условиям. Это позволит уменьшит
неопределенность и риск в хозяйственной
деятельности и обеспечить концентрацию
ресурсов на выбранных приоритетных
направлениях. Разработка и реализация
стратегии — важнейшая функция руководителей
фирмы высшего звена управления.
Без
стратегического планирования фирма
подобна кораблю без рулевого. Стратегия
формулирует основные цели фирмы и пути
их достижения таким образом, чтобы
обеспечить единую направленность
действий всего коллектива фирмы. В
рамках стратегического планирования
решается множество вопросов управления
фирмой, в том числе: разработка
общефирменной стратегии; подготовка
стратегических решений в отдельных
хозяйственных областях; анализ
конкурентной среды; определение основных
целей фирмы; управление стратегически
важным факторами деятельности на рынке;
формировании маркетинговой стратегии
на рынке отдельных товаров; изучение
жизненного цикла продукции на рынке;
управление портфелем заказов; выявление
стратегических перспектив финансирования
капиталовложений; формулирование общей
концепции развития предприятия; анализ
перспектив в этой области; исследование
структуры затрат.
Планирование,
как известно, представляет составную
часть стратегического управления.
Процесс стратегического управления
протекает в три этапа: первоначально
определяются долгосрочные перспективы
развития предприятия и его основных
подразделений; на этапе реализации
планов разрабатываются мероприятия по
осуществлению фирменной стратегии; с
помощью контроля выявляются основные
проблемы в области реализации стратегии
компании. Стратегическое планирование
определяет характер стратегического
управления. Реализация стратегических
планов, стратегический контроль и
выявление возникающих проблем относятся
к сфере оперативного управления и
поэтому не могут рассматриваться как
чисто стратегические факторы. Выделим
следующие особенности стратегического
планирования: оно ориентируется на
долгосрочную перспективу; стратегические
планы определяют основные направления
развития предприятия; обозначаемые
определенные «ниши» хозяйственной
деятельности в дальнейшем подлежат
заполнению средствами оперативного
планирования; основная цель стратегического
планирования заключается в обеспечении
будущей успешной деятельности предприятия.
Процесс стратегического планирования
может быть представлен в виде
последовательного решения стратегических
проблем.
Заключение
Современный
темп изменения и увеличения знаний
является настолько большим, что
планирование представляется единственным
способом формального прогнозирования
будущих проблем и возможностей. Оно
обеспечивает высшему руководству
средство создания плана на длительный
срок.
Планирование
дает также основу для принятия решения.
Знание того, что организация хочет
достичь, помогает уточнить наиболее
подходящие пути действий. Внутрифирменное
планирование способствует снижению
риска при принятии решения. Принимая
обоснованные и систематизированные
плановые решения, руководство снижает
риск принятия неправильного решения
из-за ошибочной или недостоверной
информации о возможностях предприятия
или о внешней ситуации.
Планирование,
поскольку оно служит для формулирования
установленных целей, помогает создать
единство общей цели внутри организации.
Сегодня
в промышленности планирование становится
скорее правилом, чем исключением.
Совершенствование системы внутрифирменного
планирования в современных условиях
требует широкого применения
экономико-математических методов,
электронно-вычислительной техники,
средств организационной техники и
связи. Использование их позволит ускорить
сбор, обработку и анализ информации и
найти оптимальные решения задач,
связанных с планированием производства.
Наличие
типового содержания бизнес-плана
расширяет границы его применения не
только на больших, но и на малых
предприятиях. Вместе с тем следует иметь
в виду, что действующее российское
законодательство не закрепляет не
только формы и порядок бизнес-планирования,
но и саму обязательность разработки
таких планов. Однако бизнес-план уже
занял свое прочное место в российском
предпринимательстве.
Планирование
инвестиций играет немалую роль в развитии
и функционировании вашего бизнеса
в любое время, как в начале,
во время становления, так и потом,
во время успешной дальнейшей
деятельности. Воплощение в жизнь
любого проекта подразумевает под собой
период от планирования на бумаге
до конечной реализации. Для того,
чтобы инвестиции принесли максимальную
пользу в отношении обоих сторон,
необходимо всё проанализировать,
рассчитать,
проверить, и только потом воплощать
в реальность.
Расчётная
часть
Показатели:
1.Выпуск
продукции, в 1000 шт. — 432
2.Цена
1 изделия, в руб. -282
3.Себестоимость
1 изделия, в руб.- 251
4.Плановые
остатки продукции на складе, в 1000 шт. :
а)
на 01.01 — +16,3;
б)
на 31.12- — 14.1.
5.Стоимость
основных фондов, в тыс.руб. :
а)
на 01.01. -66230;
б)
введено с 01.03 — +610;
в)
выбыло с 01.06 — -730.
6.Стоимость
оборотных средств, в тыс.руб. :
а)
на 01.01 – 13320;
б)
на 01.04 – 14480;
в)
на 01.07 – 13930;
г)
на 01.10 – 15120;
д)
на 31.12 – 14930.
7.Норма
амортизации – 6,9%
Найти:
-
Объём
реализованной продукции.
Себестоимость
реализованной продукции.
Прибыль
от реализации продукции.
Стоимость
основных фондов на конец года.
Среднегодовую
стоимость основных фондов.
Фондоотдачу.
Фондоёмкость.
Среднегодовую
стоимость оборотных средств.
Коэффициент
оборачиваемости оборотных средств.
Длительность
1 оборота в днях.
Рентабельность
продукции.
Общую
рентабельность производства.
Сумму
амортизации.
Срок
окупаемости основных фондов.
Решение:
1)
Находим объём реализованной продукции
по формуле:
V
реал.прод.
=(Вып.прод. + Nнач.г
–
Nкон.г.)
х
цену 1 изделия
(432
+ 16,3 – 14,1) х 282 = 122444,4 т.р.
2)
Находим себестоимость реализованной
продукции по формуле:
С/С
реал.прод.
= (Вып.прод. + Nнач.г
–
Nкон.г.)
х с/с 1 изд.
(432
+ 16,3 – 14,1) х 215 = 93353 т.р.
3)
Находим прибыль от реализации продукции
по формуле:
П
= V
реал.прод. – С/с
реал.прод.
122444,4
– 93353 = 29091,4 т.р.
4)
Находим стоимость основных фондов на
конец года по формуле:
Ст-ть
оф
кон.г.
= Ст-ть оф
нач.г.
+ ст-ть оф
введённых
– ст-ть оф
выбывших
66230
+ 610 – 730 = 66110 т.р.
5)
Находим среднегодовую стоимость основных
фондов по формуле:
Ф
срг.
=Ф нач.г.
+ Ф введённых
оф
х n1
/ 12 – Ф выбывших
оф
х n2
/ 12
66230
+ ( 610 х 10 ) / 12 – (730 х 7) / 12 = 66312 т.р.
6)
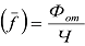
Находим фондоотдачу по формуле:
Ф
= N
/ Ф срг.
122444,4
/ 66312 = 1,846 руб./руб.
7)
Находим фондоёмкость по формуле:
Ф
ё
= 1 / Ф о
1
/ 1,846 = 0,542 руб./руб.

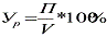
Находим среднегодовую стоимость
оборотных средств по формуле:
Среднег.ст-ть
Об.С = ( ? х 1.01 + 1.04 + 1.07 + 1.10 + ? х 1.01)
(
? х 13320 + 14480 + 13930 + 15120 + ? х 14930) / 5-1 = 57665 / 4
=
=
14414 т.р.
9)
Находим коэффициент оборачиваемости
оборотных средств по формуле:
К
об.
= V
реал.прод.
/ Среднегод.ст-ть Об.с.
122444,4
т.р / 14414 т.р. = 8,5 оборотов
10)
Находим длительность 1 оборота в днях
по формуле:
ДО
= Д / К об.
360
/ 8,5 = 42,3 дней
11)
Находим рентабельность по формуле:
R
= П / с/с х 100
R
= 29091.4 т.р. / 93353 т.р. х 100 = 31,16%
12)
Находим общую рентабельность производства
по формуле:
R
Общ. = П / Среднег.ст-ть ОФ + Среднегод.ст-ть
Об.с. х 100
29091,4
/ 66312 + 14414 х 100 = 29091,4 / 80726 х 100 = 36%
13)
Находим сумму амортизации по формуле:
А
= Среднегод.ст-ть ОФ х НА / 100
66312
х 6,9 / 100 = 4575 т.р.
14)
Находим срок окупаемости основных
фондов по формуле:
Срок
окуп. = Среднегод.ст-ть ОФ / Сумму
амортизации
66312
/ 4575 = 14,5 лет
Список
использованной литературы:
-
Э.А.Ушкин,
А.И.Кочеткова «Бизнес-план», г.Москва,
«Алексис», 1996 г. -
А.Н.Гомола,
Г.А.Женин Бизнес-план, г.Москва,
Издательский центр «Академия», 2007 г.
В.А.Баринов
«Бизнес-планирование», г.Москва, Форум
ИНФРА-М, 2007 г.
Д.А.Шевчук
«Бизнес-планирование», г.Ростов на Дону,
« Феникс», 2007 г.
В.М.Попов,
С.И.Ляпунов и др. «Бизнес-планирование»,
г.Москва, 2002 г.
Департамент образования города
Москвы
Государственное бюджетное
образовательное учреждение среднего
профессионального образования
Колледж связи № 54
Курсовая работа
по дисциплине ОП.01.Экономика организации
по специальности 210801 Почтовая
связь
Тема: Бизнес-план как одна из форм
внутрифирменного планирования.
Выполнил:
Группа:
Проверил:
Оценка: _________________
Москва 2014г.
Содержание
Введение ..……………………………………………………………….стр 3
Глава 1. Понятие и содержание внутрифирменного
планирования…стр 6
1.1. Роль и значение внутрифирменного планирования
в управлении предприятием…………………………………………………..стр
9
1.2. Принципы и методы планирования…………………………..стр
19
Глава 2. Основные виды внутрифирменного планирования.…………стр
25
2.1. Теоретические основы бизнес- планирования……………….стр
30
2.2. Методы составления бизнес-плана………………………………..стр
33
2.3. Структура бизнес-плана……………………………………….стр
35
2.4. Разработка бизнес-плана предприятия
ОАО “Айсберг”. Характеристика предприятия
ОАО “Айсберг”………………стр 40
Заключение.……………………………………………………………….стр 50
Список литературы……………………………………………………….стр
53
Введение.
Актуальность: В настоящем времени в современном этапе
экономических преобразований одной из
важнейших задач формирования эффективной
системы управления хозяйствующими субъектами
является дальнейшее развитие теории
и практики внутрифирменного планирования
и бизнес-плана.
Содержания внутрифирменного планирования
как функции управления состоит в основных
направлениях и развитие предприятия с учетом материальных
источников его обеспечения.
Сущность планирования проявляется в
развитии всей фирмы и ее отделов на установленный
период времени.
Планирование обязано обеспечить взаимодействие
между отдельными структурными подразделениями
предприятия. Внутрифирменное планирование
опирается на выявление и прогнозирование
потребительского спроса, анализ и оценку
имеющихся ресурсов и развития потребительской
рыночной конкуренции.
Бизнес-план представляет собой документ, который описывает аспекты
будущего коммерческого предприятия, анализирует проблемы, с какими оно
может столкнуться, а также устанавливает способы их решения. Бизнес -план
в конечном счете должен дать правильный
ответ на такие важные вопросы
рыночных отношений, как возможная стоимость проекта и планируемые
доходы.
Составление бизнес-плана служит первым шагом каждого начинающего предпринимателя
в сферу инновационной, хозяйственной, коммерческой или инвестиционной деятельности.
3
Разработка такого плана требует не только
всесторонней
экономической оценки будущего бизнес
— проекта профессиональными
менеджерами, но и непосредственного участия самих
предпринимателей и
высших руководителей предприятия или
фирмы.
Совместное участие в составлении бизнес-планов экономистов
и предпринимателей особенно необходимо на отечественных предприятиях, имеющих многолетний опыт составления
тактических и стратегических, в частности пятилетних и годовых, планов.
Бизнес-планы являются для наших производителей
новым видом внутрихозяйственного или
внутрифирменного планирования, получившим наибольшее распространение
на малых и средних предприятиях. Бизнес-планы разрабатываются на различные
инновационные объекты или процессы, связанные с проектированием или созданием
новых фирм и их подразделений, разработкой и поставкой на рынок требуемых
товаров и услуг, реконструкцией предприятий и расширением
выпуска продукции, совершенствованием технологии и организации
производства, повышением качества товаров и производительности
труда. В них обосновывается определенная социально-экономическая
цель, как правило, имеющая завершенный созидательный результат: рост прибыли, увеличение доли рынка, удовлетворение требований покупателей, ускорение оборота продукции, создание новых рабочих мест.
Объект исследования: исследование системы
внутрифирменного
планирования деятельности предприятий.
Предмет исследования: организационно-экономические
отношения субъектов хозяйствования,
складывающиеся в процессе внутрифирменного
планирования.
4
Целью курсовой работы является теоретическое
обоснование вопросов совершенствования
внутрифирменного планирования деятельности
предприятий.
В соответствии с поставленной целью
исследования необходимо было решить
следующие задачи:
-определить роль и значение внутрифирменного
планирования в управлении предприятием;
-рассмотреть принципы и методы планирования;
-охарактеризовать основные виды внутрифирменного
планирования;
-исследовать бизнес-план как основной
инструмент совершенствования внутрифирменного
планирования.
Все это говорит о необходимости проведения
научных исследований, связанных с разработкой
направления и методов совершенствования
внутрифирменного планирования с учетом
особенностей развития и управления экономикой
предприятия и бизнес — плана.
5
Глава 1.Понятие и содержание внутрифирменного
планирования.
В рыночной экономике, ориентирующей
каждого производителя на максимальное
удовлетворение потребностей в своих
товарах и получение наибольшего дохода,
огромное значение приобретает внутрифирменное
планирование. В ходе планирования экономической
деятельности каждого предприятия необходимо
достижение полного объема производства
и занятости имеющихся ресурсов, именно
это и предполагает рациональное использование
человеческого потенциала, производственных
фондов, материальных запасов, рабочего
времени, технологических методов, денежных
средств, информационных возможностей
и многих других факторов.
По мнению М. Бухалкова, сущность внутрифирменного
планирования в условиях свободных рыночных
отношений заключается в:
– научном обосновании на объектах планирования
предстоящих экономических целей их развития
и форм хозяйственной деятельности;
– выборе наилучших способов их осуществления
на основе наиболее полного выявления
требуемых рынком видов, объемов и сроков выпуска товаров;
– выполнении работ и оказании услуг с
установлением таких показателей их производства;
— распределения и потребления,
которые при полном использовании
ограниченных производственных
ресурсов могут привести к
достижению прогнозируемых в будущем качественных и количественных
результатов.
6
Систематическая подготовка принятия
решений о целях, средствах и действиях
путем сравнительной оценки альтернатив
в ожидаемых условиях составляет сущность
планирования бизнеса.
Внутрифирменное планирование — это создание
системы долгосрочных, среднесрочных
и краткосрочных оперативных планов, определяющих:
— стратегию и тактику деятельности
фирмы;
— прогноз развития внешнего
окружения;
— цели функционирования;
— другие системообразующие факторы.
Если долгосрочное планирование призвано
определить общие стратегические цели
и направления развития фирмы, необходимые
для этого ресурсы и этапы решения поставленных
задач, то разрабатываемые на его основе
текущие планы ориентированы на фактическое
достижение намеченных целей развития.
Поэтому текущие планы дополняют, развивают
и корректируют перспективные направления
развития с учетом конкретной обстановки.
Процесс планирования направлен на оптимальное
соотношение между производством и потреблением
продукции, величиной рыночного спроса на товары
и услуги и объемом их предложения предприятиями.
План включает в себя модель будущего,
цели деятельности с указанием их приоритетности,
систему средств, действий и мер, направленных
на достижение поставленных целей и задач, а также требуемые для выполнения
плана трудовые, материально-технические
и финансовые ресурсы.
Планирование — это не только процесс
составления, но и последующего контроля за ходом реализации плана. Планирование
включает обработку информации по обоснованию
предстоящих действий, определение наилучших
способов достижения целей.
7
Процесс внутрифирменного планирования
представляет собой комплекс необходимых
расчетов производственно-экономического
характера, направленных на установление
и реализацию долгосрочных и текущих целей производственно-хозяйственной
и сбытовой деятельности предприятия
в определенные плановые периоды времени.
Практическое значение системы внутрифирменного
планирования состоит в том, что с ее помощью
обеспечивается тесная связь всех направлений деятельности фирмы,
начиная с маркетинга и заканчивая сбытом
готовой продукции.
В процессе планирования, принимаются
решения:
— о миссии и целях организации;
— о состоянии внешней среды
и ее влиянии на будущее
организации;
— о стратегии и тактике достижения поставленных целей;
— о бюджете организации;
— о выборе инвестиционных проектов;
-о целевых рыночных сегментах
и позиционировании товаров или
услуг на целевых рынках;
— о стратегии ценообразования;
— о каналах сбыта и распределения
продукции;
— о разработке новых видов
товаров и услуг;
— о способах проведения рекламных
кампаний.
8
1.1.Роль и значение
внутрифирменного планирования
в управлении предприятием.
Планирование как вид управленческой
деятельности направлено на выбор оптимальной
альтернативы развития объекта управления,
рассчитанной на определенный временной
период:
-всегда представляет собой предварительное
принятие решений, направленных на достижение
требуемых результатов в перспективе;
-должно быть гибким и способным адаптироваться
к постоянным изменениям самого объекта
управления, изменением внешней среды,
т.е. процесс планирования – процесс итерационный;
-направлено на достижение желаемого
состояния объекта хозяйствования, предполагает
предотвращение ошибочных действий и
сокращение неиспользованных возможностей;
-роль заключается не в предсказании
будущего состояния объекта и не в пассивном
приспособлении к изменениям, а в активном
преобразовании объекта планирования.
Вид планирования обусловлен характером
задач, которые ставит перед собой предприятие,
и возможными сроками их решения. В соответствии
с этим планирование подразделяют на
долгосрочное (10 — 15 лет), среднесрочное
(3 — 5 лет), краткосрочное, или текущее
(1 — 2 года) и оперативное (от одного до 10-12 рабочих дней)
Группировка планов на долгосрочный,
текущий и оперативный в определенной
мере носит условный характер. Различие
между ними состоит в сроках получения
конечного результата. Что касается объекта
планирования, то, как правило, он не изменяется.
Одно и то же изделие может включаться
во все виды планов.
9
Наряду с этим каждый вид планирования
имеет характерные отличия.
Они заключаются главным образом в:
-точности устанавливаемого интервала
планирования;
-степени интеграции и дифференциации,
а также количестве показателей планирования;
-степени точности расчетов затрат и
результатов производства;
-порядке распределения обязанностей
между исполнителями плана.
В целом долгосрочное, текущее и оперативное
планирование взаимосвязаны и представляют
собой единую систему планирования. Посредством
планирования связывается в единый целостный
комплекс весь механизм управления предприятием.
Процесс долгосрочного планирования
включает следующие стадии: экономическое
прогнозирование, стратегическое планирование,
разработка долгосрочного плана.
Под экономическим прогнозом понимают
многовариантную гипотезу о возможных
направлениях и результатах деятельности
предприятия в перспективе, а также требуемых
для их достижения ресурсах и организационных
мерах.
Главными функциями экономического прогнозирования
являются:
-анализ экономических, социальных, экологических
и научно технических тенденций;
-оценка сложившихся ситуаций и выявление
узловых проблем хозяйственного развития;
-анализ направлений изменения в соответствующих
областях, оценка их действий в будущем
и предвидение новых экономических проблем;
-определение возможных альтернатив
развития в перспективе;
-накопление достаточной информации
для всестороннего обоснования принятия
оптимальных плановых решений.
10
Продолжительность периода долгосрочного
прогнозирования позволяет преодолеть
инерционность экономических процессов,
реализовать принципиальные сдвиги в
технике и технологии, изменить сложившиеся
тенденции и структуру производства, подчинить
их потребностям рынка.
36
Содержание
Содержание
Введение
Глава 1. Теоретическая часть
1.1 Бизнес-план как форма внутрифирменного планирования
1.2 Типология бизнес-плана
1.3 Структура бизнес-плана
Глава 2. Практическая часть
2.1 Характеристика предприятия
2.2 Необходимость бизнес-плана для действующей организации
Глава 3. Проблемная часть
3.1 Разработка бизнес-плана
3.2 Финансовый аспект бизнес-плана
3.3 Изменения налогового законодательства и влияние инфляционного фактора на процесс бизнес-планирования
Заключение
Список использованной литературы
Введение
В настоящее время в условиях перехода к рыночным отношениям на предприятиях и организациях бурно протекает процесс совершенствования форм и методов работы. При всем многообразии форм рыночного предпринимательства существуют ключевые положения, применяемые практически во всех областях коммерческой деятельности для разных предприятий и организаций, необходимых для того, чтобы своевременно подготовиться, устранить потенциальные трудности, опасности и тем самым уменьшить риск в достижении поставленных целей. Разработка стратегии и тактики производственно-хозяйственной деятельности фирмы является важнейшей задачей для любого бизнеса.
Бизнес — план представляет собой всестороннее описание бизнеса и среды, в которой он действует, а также системы управления, в которой он нуждается для достижения поставленных целей. Бизнес — планом называется экономическая программа эффективного управления предприятием, которая включает конкретные меры по развитию производства и продаж конкурентоспособной продукции, а также выработку рыночной стратегии хозяйствования, обеспечивающую их эффективную реализацию.
Цель работы – изучить теоретические основы бизнес-планирования и разработать бизнес-план для уже действующей организации. Задачи работы:
1. Изучение рекомендаций по бизнес-планированию;
2. Ознакомление со структурой бизнес-плана;
3. Составление бизнес-плана для салона красоты «Рио».
Предмет работы – процесс бизнес-планирования деятельности предприятия. Объект работы – салон красоты «Рио». Курсовая работа включает введение, основную часть и заключение. Основная часть содержит три главы. Работа основана на материалах учебников, статей специализированных изданий.
ГЛАВА 1. ТЕОРЕТИЧЕСКАЯ ЧАСТЬ
1.1 Бизнес-план как форма внутрифирменного планирования
Бизнес-план – это документ, содержащий обоснование действий, которые необходимо осуществлять для реализации какого-либо коммерческого проекта или создания нового предприятия. Составлять его рекомендуется на 3-5 лет. Для первого и второго года показатели следует давать в помесячной и поквартальной разбивке, далее – в годовом разрезе.
Бизнес-план необходим:
для разработки концепции ведения бизнеса и генеральной стратегии развития предприятия;
для выполнения функции планирования;
для оценки и контроля процесса развития основной деятельности предприятия;
для привлечения денежных средств;
для привлечения частных инвесторов, эффективного использования инвестиций, конкурсного размещения государственных инвестиций в высокоэффективные проекты.
Бизнес-план представляет собой результат комплексного исследования различных сторон деятельности фирмы (производства, реализации продукции, послепродажного обслуживания и др.).[1]
Побудительными причинами планирования предпринимателем своей деятельности можно считать следующие три:
1) сам процесс бизнес-планирования, включая анализ идеи, заставляет объективно, критически и беспристрастно взглянуть на свой бизнес со всех его сторон. План — это хорошо проложенный маршрут, отражающий очередность действий и приоритеты в условиях ограниченных ресурсов и способствующий предотвращению ошибок при его реализации;
2) бизнес-план является тем рабочим инструментом, который при надлежащем использовании может помочь оперативно контролировать и управлять фирмой;
3) законченный бизнес-план является средством для доведения идей своего бизнеса до всех заинтересованных лиц (банковского менеджера, других финансовых инвесторов, государственных учреждений, профессиональных консультантов и др.), включая работников фирмы.
Между бизнес-планом и стратегическим программой существует ряд различий. Бизнес-план в отличие от стратегического плана включает не весь комплекс корпоративных целей фирмы, а только мишень, которая связана с созданием и развитием определенного направления бизнеса; в бизнес-плане функциональные составляющие (программы производства, маркетинга и др.) обладают гораздо более весомое значение, чем в стратегическом плане, являются полноправными, равновесными частями структуры бизнес-плана; бизнес-план имеет четко очерченные преходящие рамки и тяготеет к проекту с его конкретной проработкой и определенной самодостаточностью. Бизнес-план учитывает не только внутренние, но и наружные цели предпринимательской организации. Кроме того, в бизнес-плане генеральное внимание сосредоточено на маркетинговых и финансово-экономических аспектах бизнеса, в то время как научно-технические, технологические и социальные стороны представлены менее детально, что и отличает бизнес-план от традиционного программы экономического и социального развития предприятия.
Структура бизнес-плана схожа с инвестиционным проектом, особенно в той его части, где прокладывается обоснование инвестиционного замысла. Бизнес-план организации иногда выступает по касательству к инвестиционному проекту как документ, представляющий собой планы разработки и реализации отвечающей части инвестиционного проекта. Инвестиционный проект — система организационно-юридических, аналитических, инженерно-технических, экономических и расчетно-финансовых документов, необходимых для обоснования и проведения соответствующих работ по реализации бизнес-проекта.
1.2 Типология бизнес-плана
Бизнес-план составляется в целях эффективного управления и планирования бизнеса и является одним из основных инструментов управления предприятием, определяющих эффективность его деятельности.
В условиях рынка и жестокой конкурентной борьбы предприятие должно уметь быстро и адекватно реагировать на изменения, происходящие во внешней среде и внутри самого предприятия.[2]
Это становится возможным, когда выполняется несколько условий:
администрация и инвестор правильно оценивают реальное финансовое положение предприятия и его место на рынке;
существуют конкретные цели, к достижению которых должно стремиться предприятие;
планируется и выполняется каждый шаг по достижению этих целей;
администрация предприятия и инвестор понимают суть процессов происходящих на рынке, во внешней среде и внутри самой организации.
Бизнес-план составляется для внутренних и внешних целей. В подавляющем большинстве случаев, так уж сложилось в нашей стране, бизнес-план начинают составлять, когда необходимо привлечь инвестиции. Но дело в том, что это только одна сторона дела, на самом деле он составляется не только для внешних целей.
Внешние цели, для которых составляется бизнес-план — обоснование необходимости привлечения дополнительных инвестиций или заемных средств, демонстрация имеющихся у фирмы возможностей и привлечение внимания со стороны инвесторов и банка, убеждение их в достаточном уровне эффективности инвестиционного проекта и высоком уровне менеджмента предприятия.
Каждый инвестор захочет оценить выгодность инвестирования в предлагаемый инвестиционный проект и оценить соотношение возможной отдачи от проекта и рискованности вложений, а лучший способ для этого — изучить и проанализировать бизнес-план инвестиционного проекта.
Бизнес-план, по сути — визитная карточка инвестиционного проекта. Он дает инвестору ответ на вопрос, стоит ли вкладывать средства в данный инвестиционный проект и при каких условиях он будет наиболее эффективен при допустимой для инвестора степени риска и верности допущений, сделанных разработчиком инвестиционного проекта.
Обязательным условием получения банковского кредита является предоставленный банку грамотно составленный бизнес-план инвестиционного проекта. Если у заемщика он отсутствует, это говорит о низком профессиональном уровне администрации предприятия и делает получение банковского кредита невозможным, кроме того, в будущем банк будет оценивать выдачу кредита такому предприятию, как более высокорисковую операцию, что обязательно повлияет на величину процентов по кредиту в сторону увеличения.
Гораздо более важными для предприятия являются внутренние цели, для которых составляется бизнес-план.
Внутренние цели — проверка знаний управляющего персонала, понимания ими рыночной среды и реального положения предприятия на рынке. Очень важны достижение понимания инвестором и администрацией предприятия стратегических целей, характеристик, конкурентной среды, слабых и сильных сторон конкретного инвестиционного проекта, его возможной эффективности при заданных условиях.
Таким образом, составив бизнес-план, Вы сделаете предприятие более эффективным и управляемым, сможете с более высокой точностью прогнозировать ситуацию на будущее.[3]
Создание новых проектов предполагает предварительное экономическое обоснование их целесообразности, последующее планирование необходимых затрат на их осуществление и ожидаемых конечных результатов. Бизнес-планирование позволяет экономистам-менеджерам не только обосновать необходимость разработки того или иного инновационного проекта, но и возможность его реализации в действующих рыночных условиях.
Основными объектами бизнес-планирования в свободных экономических отношениях служат высокодоходные и конкурентоспособные инновационные проекты. Как известно, современный рынок, основанный на соблюдении всеми производителями и потребителями равновесия между спросом и предложением и соизмерении своих доходов и расходов, всегда будет отдавать предпочтение в кредитовании и финансировании тем производственным, предпринимательским или коммерческим предложениям, которые в будущем дадут наибольший социально-экономический результат. Бизнес-планы в основном предназначаются для того, чтобы способствовать выходу на рынок высококонкурентных новых видов товаров и услуг.
Следовательно, любой инновационный бизнес-проект должен иметь соответствующий бизнес-план обоснования оптимальных показателей производства и продажи товаров и услуг, как на отечественном, так и на зарубежном рынке. В рыночных отношениях бизнес-план сам превращается в своеобразный товар, продвижение которого в окружающую предприятие внешнюю банковско-кредитную или финансово-инвестиционную среду должно принести максимальный доход разработчикам нового проекта.
Бизнес-планы являются для российских производителей новым видом внутрихозяйственного или внутрифирменного планирования, получившим наибольшее распространение на малых и средних предприятиях. Бизнес-планы разрабатываются на различные инновационные объекты или процессы, связанные с проектированием или созданием новых фирм и их подразделений, разработкой и поставкой на рынок требуемых товаров и услуг, реконструкцией предприятий и расширением выпуска продукции, совершенствованием технологии и организации производства, повышением качества товаров и производительности труда. В них обосновывается определенная социально-экономическая цель, как правило, имеющая завершенный созидательный результат: рост прибыли, увеличение доли рынка, удовлетворение требований покупателей, ускорение оборота продукции, создание новых рабочих мест и т.д.
Выбранная социально-экономическая цель фирмы на предстоящий период ее производственно-хозяйственной или иной деятельности должна получить наиболее полное отражение в разрабатываемом бизнес-плане. На вновь создаваемые или открываемые фирмы и предприятия разрабатывается в соответствии с проектом комплексный бизнес-план, включающий подробные технико-экономические расчеты по всем разделам и показателям проектирования, строительства и освоения нового производства товаров и услуг. На действующих предприятиях бизнес-планы обычно создаются с целью достижения соответствующих стратегических, тактических или оперативных направлений или задач, связанных с дальнейшим развитием производственных или функциональных подразделений, реструктуризацией или расширением организации и т.д. При стабильной и устойчивой работе предприятия бизнес-план может быть направлен на обновление основных производственных фондов и развитие новых технологий. При значительном спаде производства, имеющем место в переходный период, бизнес-план должен предусматривать поиск новых рынков, расширение сбыта продукции и т.п. В одних случаях требуется разработка комплексных бизнес-планов, в других — локальных бизнес-проектов. Бизнес-планы нужны на открытие любого нового проекта или своего дела всем производителям и предпринимателям.
Бизнес-план представляет собой документ, который описывает аспекты будущего коммерческого предприятия, анализирует проблемы, с какими оно может столкнуться, а также устанавливает способы их решения. Бизнес-план, в конечном счете, должен дать правильный ответ на такие важные вопросы рыночных отношений, как возможная стоимость проекта и планируемые доходы. Каждый предприниматель должен знать, сколько будет стоить новый проект и принесет ли это дело доходы, а если принесет, то когда и какова степень риска? Ответы на эти вопросы рационального хозяйствования в сложных рыночных отношениях дает правильно составленный бизнес-план. Передовой зарубежный опыт свидетельствует, что в условиях рынка всем производителям необходимо составлять планы как долгосрочной, так и текущей деятельности. Это означает, что всем нашим предпринимателям следует также иметь деловые планы. Составление бизнес-плана служит первым шагом каждого начинающего предпринимателя в сферу инновационной, хозяйственной, коммерческой или инвестиционной деятельности. Разработка такого плана требует не только всесторонней экономической оценки будущего бизнес-проекта профессиональными менеджерами, но и непосредственного участия самих предпринимателей и высших руководителей предприятия или фирмы. Совместное участие в составлении бизнес-планов экономистов и предпринимателей особенно необходимо на отечественных предприятиях, имеющих многолетний опыт составления тактических и стратегических, в частности пятилетних и годовых, планов. Поэтому возникает вопрос о преемственности или соотношении широко известных в российской промышленности систем и методов планирования социально-экономического развития предприятий и новых бизнес-планов.
Источник
Теоретическая часть
Введение
Изменения, происходящие в мировом экономическом сообществе в последние десятилетия, характеризуются постоянным ужесточением конкуренции. В рыночных условиях деятельность предприятий невозможно защитить от воздействия факторов риска приводящих к неустойчивому функционированию. Необходимость выживания на мировом и внутрироссийском рынке в условиях развивающегося постиндустриального общества требует разработки более эффективных методов управления, характеризующихся рациональным использованием ресурсов, повышением гибкости и адаптивности предприятий. В этой связи с особой остротой встает задача обеспечения устойчивости предприятия путем совершенствования внутрифирменного планирования и регулирования производства.
В современных рыночных условиях руководители предприятий осознают значительную роль планирования в управлении деятельностью всего предприятия. Трудности возникают по вопросам: планировать или нет, и как планировать. Несмотря на имеющуюся экономическую литературу, которая часто описывает зарубежный опыт планирования, в связи с отсутствием собственного, применимого к рыночным условиям, не существует системы планирования, адаптированной к условиям функционирования современных российских организаций.
Актуальность темы курсовой работы в том, что на современном этапе экономических преобразований одной из важнейших задач формирования эффективной системы управления хозяйствующими субъектами является дальнейшее развитие теории и практики внутрифирменного планирования и регулирования производства. Недооценка внутрифирменного планирования в деятельности субъектов рыночной экономики привела к резкому снижению конкурентоспособности предприятий, разбалансированию их производственного потенциала, нарушению принципов и методов управления, созданию конфликтных ситуаций с работниками и партнерами и в целом негативно повлияла на конечные результаты их работы.
Планирование призвано обеспечить взаимодействие между отдельными структурными подразделениями предприятия, включая всю технологическую цепочку: научные исследования и разработки, организацию производства продукции, ремонтно-эксплуатационные работы. Внутрифирменное планирование опирается на выявление и прогнозирование потребительского спроса, анализ и оценку имеющихся ресурсов и перспектив развития хозяйственной рыночной конъюнктуры.
Все это говорит о необходимости проведения научных исследований, связанных с разработкой направлений и методов совершенствования внутрифирменного планирования с учетом особенностей развития и управления экономикой.
Наиболее существенный вклад в развитие теории и практики внутрифирменного планирования внесли отечественные ученые М.М. Алексеева, Ю.П. Анискин, А.М. Павлова, Л.Е. Басовский, М.И. Бухалков, В. А. Горемыкин, Э.Р. Бугулов, А.Ю. Богомолов и др.
Объект исследования: исследование системы внутрифирменного планирования и регулирования производства и реализации продукции предприятий в условиях рыночной экономики.
Предмет исследования: организационно-экономические отношения субъектов хозяйствования, складывающиеся в процессе внутрифирменного планирования.
Целью курсовой работы является теоретическое обоснование вопросов совершенствования внутрифирменного планирования деятельности предприятий, планирование производства и реализации продукции.
В соответствии с поставленной целью исследования необходимо решить следующие задачи:
— изучить сущность и структуру системы внутрифирменного планирования;
— рассмотреть основные принципы и методы планирования на предприятии;
— проанализировать систему планирования реализации продукции;
— выявить методы планирования производства продукции.
Теоретической базой курсовой работы послужили труды отечественных и зарубежных ученых по проблемам рыночной экономики, теории организации внутрифирменного планирования, общего и стратегического менеджмента.
Структурно курсовая работа состоит из теоретической части, в которую входят: введение, два раздела, заключение, список использованной литературы, состоящий из 35 источников. Практическая часть включает в себя две задачи и приложения.
1. Теоретические основы внутрифирменного планирования
1.1 Сущность и структура системы внутрифирменного планирования
Сущность внутрифирменного планирования заключается в научном обосновании на предприятии (фирме) предстоящих экономических целей его развития и форм хозяйственной деятельности, выборе наилучших способов их осуществления на основе наиболее полного выявления требуемых рынком видов и объемов товаров и сроков их выпуска, выполнения работ и оказания услуг и установления показателей их производства, распределения и потребления, которые при полном использовании ограниченных производственных ресурсов могут привести к достижению прогнозируемых в будущем качественных и количественных результатов.
Внутрифирменное планирование предусматривает не только целостное рассмотрение производственно-хозяйственных, организационно-управленческих, финансово-экономических и многих других проблем, но и ориентацию на будущее принимаемых решений. Поэтому всякое решение любой существующей проблемы в ходе внутрифирменного планирования может рассматриваться как средство для достижения поставленной цели[1, с.107].
Внутрифирменное планирование является важнейшей функцией управления, которая включает следующие комплексы работ: анализ ситуаций и факторов внешней среды; прогнозирование, оценку и оптимизацию альтернативных вариантов достижения целей, сформулированных на стадии стратегического маркетинга; разработку планов предприятия; реализацию планов предприятия.
По содержанию и форме проявления различают следующие формы внутрифирменного планирования и виды планов[7, с.364].
1. Исходя из обязательности плановых заданий существуют директивное и индикативное планирование.
Директивное планирование представляет собой процесс принятия решений, обязательных для объектов планирования. Директивные планы имеют, как правило, адресный характер и отличаются подробной детализацией. Например, плановые показатели, доводимые до цехов, участков и рабочих мест, имеют директивный характер. Несвоевременное выполнение хотя бы одного из таких показателей может привести к срыву выполнения плана предприятия.
Индикативное планирование — это государственное планирование, представляющее антипод директивному, потому что индикаторный план не является обязательным для исполнения. В составе индикативного плана могут быть обязательные задания для предприятия, но их число весьма ограниченно. В целом же он имеет направляющий рекомендательный характер.
Индикативное планирование применяется при составлении перспективных планов, а директивное — в текущем планировании. Из сказанного следует, что индикативный и директивный виды планирования должны дополнять друг друга, быть органически связаны в единой системе внутрифирменного планирования.
2. В зависимости от срока, на который составляется план, и степени детализации плановых расчетов различают долгосрочное и среднесрочное (перспективное), краткосрочное (текущее) и оперативное планирование[11, с.231].
Долгосрочное (перспективное) планирование охватывает период более 5 лет, например до 10 лет. Такие планы призваны определять долговременную стратегию предприятия, включая социальное, экономическое и научно-техническое развитие предприятия. Долгосрочный план позволяет ставить и решать такие задачи, решение которых не укладывается в рамки среднесрочного плана. Большое значение для обоснования долгосрочного плана имеет комплексный прогноз. Он составляется на 10—15 лет. Его основная задача состоит в том, чтобы дать ориентиры, определяющие возможность вовлечения в процесс производства новых видов сырья, материалов, энергоресурсов, топлива; а также создания и освоения новой техники и технологии, повышения на этой основе производительности труда и эффективности производства.
Прогноз является своего рода «заделом» для перспективного планирования. Между планированием и прогнозированием есть общие черты и имеются отличия. Общее заключается в том, что и планирование и прогнозирование являются научным предвидением хода развития производства предприятия. Различие заключается в степени вероятности такого предвидения: планы носят, как правило, детерминированный характер и содержат не только цели, но и средства их достижения, а прогнозы имеют в основном вероятностный характер и не включают путей и средств практического достижения целей [6, с.164].
Среднесрочное (перспективное) планирование осуществляется на период от 1 до 5 лет. На некоторых предприятиях среднесрочное планирование совмещается с краткосрочным. В этом случае составляется так называемый скользящий пятилетний план.
Краткосрочное (текущее) планирование охватывает период, равный одному году. Годовой план представляет собой развернутый план производственно-хозяйственной деятельности предприятия, направленный на выполнение плановых показателей среднесрочного плана, их детализацию по перечню продукции, подлежащей изготовлению и реализации в конкретные сроки. Кроме того, в плане устанавливается потребность в трудовых, материальных и денежных ресурсах, а также, наряду с ресурсами, организационно-технические и социально-экономические мероприятия по дальнейшему развитию производства, повышению производительности труда и качества продукции, структуризации целей инновационной деятельности, оптимизации по номенклатуре и ассортименту портфеля новшеств и инноваций.
Структура, содержание и перечень показателей краткосрочного плана такие же, как у среднесрочного плана предприятия, что обеспечивает согласованность и преемственность технико-экономических показателей[12, с.420].
Оперативное планирование включает календарное планирование и оперативное регулирование (диспетчеризацию). Основной задачей календарного планирования является детализация заданий (показателей) годового плана по исполнителям (цехам, участкам, бригадам и рабочим местам) и срокам (небольшим периодам — месяцам, декадам, неделям, суткам, сменам, часам) с целью равномерного выполнения производственного плана, Диспетчеризация призвана обеспечивать слаженность и бесперебойность работы всех звеньев предприятия.
3. По содержанию плановых решений выделяют стратегическое, тактическое, оперативно-производственное и бизнес-планирование[2, с. 109].
Стратегическое планирование, как правило, ориентировано на долгосрочную перспективу и определяет основные направления развития хозяйствующего субъекта. Посредством стратегического планирования принимаются решения о том, как расширить деятельность в области бизнеса, создать новые сферы бизнеса, стимулировать процесс удовлетворения нужд потребителей, какие усилия следует предпринять для удовлетворения рыночного спроса, на каких рынках лучше действовать, какую продукцию выпускать или какие услуги оказывать, с какими партнерами вести бизнес и т.д.
В результате стратегического планирования предприятие ставит перспективные цели и вырабатывает средства их достижения.
Тактическое планирование следует считать процессом создания предпосылок для реализации новых возможностей предприятия, намеченных стратегическим планом. Если основная цель стратегического плана заключается в том, чтобы определить, чего хочет добиться предприятие в перспективе, но тактическое планирование должно ответить на вопрос, как предприятие может достигнуть такого состояния. Эти виды планирования различаются целями и средствами их достижения.
Тактическое планирование, как правило, охватывает краткосрочный период и в отдельных случаях среднесрочный, а стратегическое планирование эффективно для долгосрочного и среднесрочного периодов[4, с.96].
Оперативно-производственное планирование является завершающим этапом в системе планирования хозяйственной деятельности предприятия. Процесс такого планирования включает следующие функции[9, с.56]:
1) определение времени выполнения отдельных операций по изготовлению деталей, сборочных единиц изделия и изделия в целом путем установления сопряженных сроков передачи предметов труда цехами (участками, рабочими местами) — поставщиками их потребителям;
2) оперативная подготовка производства путем своевременного заказа и доставки на рабочие места материалов, заготовок, сборочных единиц, инструментов, приспособлений и других видов материальных ценностей, необходимых для выполнения плана производства продукции;
3) систематический учет, контроль, анализ и оперативное регулирование (диспетчеризация) хода производства, предупреждающие отклонение его от установленных планов-графиков.
Бизнес-планирование осуществляется для оценки целесообразности внедрения того или иного мероприятия. Особенно это касается инноваций, которые требуют для своей реализации крупных инвестиций.
4. В теории и практике планирования могут выделяться и другие виды планирования, охватывающие как главные, так и второстепенные аспекты этого процесса. В частности, планирование можно классифицировать по[7, с.283]:
а) степени охвата планируемой работы;
б) объектам планирования;
в) сферам планирования (производства, сбыта, персонала, инвестиций и т.д.);
г) глубине планирования (агрегированное, ограниченное);
д) координации частных планов во времени;
е) учету изменений исходных данных;
ж) очередности во времени.
1.2 Основные принципы и методы планирования на предприятии
Качество планирования на предприятии во многом зависит от того, на каких принципах оно осуществлялось и какие использовались методы планирования.
Принципы планирования. К ним относятся [13. с.193]:
1) преемственность стратегического и тактического планов;
2) социальная ориентация планов;
3) ранжирование объектов планирования по их важности;
4) адекватность плановых показателей;
5) согласованность плана с параметрами внешней среды системы управления;
6) вариантность плана;
7) сбалансированность плана (при условии обеспечения резерва по важнейшим показателям);

9) автоматизация системы планирования;
10) обеспечение обратной связи системы планирования.
Рассмотрим содержание перечисленных принципов планирования[6, с.91].
Преемственность стратегического и тактического планирования предусматривает, что состав показателей и разделов этих планов должны быть идентичны и повторять стратегию предприятия. Число показателей в разделах бизнес-плана должно быть больше, чем в разделах стратегического плана. Показатели бизнес-плана не должны противоречить утвержденным показателям стратегии предприятия, они могут быть только более жесткими и выгодными предприятию в текущий момент.
Социальная ориентация плана предусматривает решение (наряду с техническими и экономическими проблемами) проблем обеспечения соответствия международным требованиям по экологичности, безопасности и эргономичности выпускаемой продукции, а также показателей социального развития коллектива.
Ранжирование объектов планирования по их важности учитывает рациональное распределение имеющихся ресурсов. Например, если выпускаемые изделия имеют примерно одинаковый уровень конкурентоспособности, то сначала необходимо направлять ресурсы на повышение конкурентоспособности изделия, имеющего наибольший удельный вес (по стоимости продажи) в программе предприятия.
Адекватность плановых показателей реальной действительности обеспечивается, во-первых, увеличением числа учтенных факторов при прогнозировании альтернативных плановых показателей, во-вторых, снижением ошибок аппроксимации или повышением точности прогнозов.
Согласованность плана с параметрами внешней среды системы управления устанавливается с помощью анализа динамики факторов внешней среды и исследования влияния этих факторов на плановые показатели.
Сбалансированность плана обеспечивается преемственностью баланса показателей по иерархии, например, функциональной модели объекта стоимостной модели (при проведении функционально-стоимостного анализа), баланса поступления и распределения ресурсов и т.д.
Экономическая обоснованность плана является одним из важнейших принципов планирования. Окончательный выбор варианта плановых показателей должен осуществляться только после проведения системного анализа, прогнозирования, оптимизации и экономического обоснования альтернативных вариантов.
Автоматизация системы планирования — один из способов планирования, требующий применения современных информационных технологий и компьютерной техники, обеспечивающий кодирование информации на основе ее классификации, единство и системность информации по стадиям жизненного цикла объекта планирования, оперативную обработку, надежное хранение и передачу информации[16, с.89].
Обеспечение обратной связи системы планирования предполагает возможность для исполнителя плана представлять предложения об изменении (корректировке) плана его разработчику.
В современной отечественной науке и практике планирования, помимо рассмотренных принципов, широкую известность имеют общеэкономические принципы: необходимости, единства, непрерывности, гибкости, системности, целенаправленности, комплексности, научности, приоритетности, равнонапряженности, динамичности, риска и др. Все они достаточно полно раскрыты в научной и учебной литературе по планированию.
Применение всех рассмотренных выше принципов планирования на практике вызывает затруднения, поэтому использование каждого из них определяется сложностью и количеством выпускаемых изделий или оказываемых услуг.
Под методами планирования понимается способ осуществления планирования, т. е. способ реализации плановой идеи. Выбор метода зависит от конкретной формы планирования и включает два аспекта: направление планирования и средства обоснования плановых решений[15, с.106].
В практике планирования можно выделить три направления планирования: прогрессивное, ретроградное и круговое.
Прогрессивный метод планирования (способ планирования «снизу вверх»). При этом способе планирование осуществляется от низших уровней иерархии (рабочих мест, участков, цехов) предприятия к высшим. Здесь низшие структурные подразделения сами составляют детальные планы своей работы, которые впоследствии интегрируются на верхнем уровне, образуя план предприятия[19, с. 54].
Ретроградный метод («сверху вниз»). В этом случае процесс планирования осуществляется исходя из плана предприятия (портфеля заказов и госзаказа) путем детализации его показателей сверху вниз по иерархии. При этом структурные подразделения должны преобразовать поступающие к ним планы вышестоящих уровней в планы своих подразделений[5, с.146].
Круговой метод (встречное планирование) представляет собой синтез двух предыдущих методов. Он предусматривает paзработку плана в два этапа. На первом этапе (сверху вниз) приходится текущее планирование по главным целям. На втором этапе (снизу вверх) составляется окончательный план по системе детализированных показателей[18, с.297].
Средства обоснования плановых решений должны способствовать нахождению оптимальных вариантов решения эконом и ческой проблемы. К ним условно можно отнести творчество планирующих подразделений (способность разрабатывать и применять нетрадиционные решения); адаптивный поиск, основанным на общем знании проблемы (знания и опыт разработчиков ПЛ1 на); данные бухгалтерского учета (как информационную 6aзy), предельный анализ (позволяющий контролировать и устанавливать прибыльное соотношение издержек и доходов предприятия), норму прибыли на вложенный капитал; дисконтирование.
Совокупность средств и методов позволяет выбрать из множества возможных вариантов развития экономики предприятия наилучший, обеспечивающий наиболее эффективное использование ресурсов, которыми располагает предприятие.
В настоящее время при организации внутрифирменного планирования довольно широкое применение нашли следующие экономико-математические методы[15, с.92]:
1) теории вероятности и математической статистики (стохастические модели);
2) математического программирования (экономико-математические модели, позволяющие отыскивать условно-экстремальные значения функций или критерии оптимальных планов);
3) имитаций (воспроизведение реальной действительности, создание модели реальной ситуации);
4) оценки пересмотра планов (система ПЕРТ — сетевая модель, основанная на теории графов).
1.3 Бизнес-план как основной инструмент совершенствования внутрифирменного планирования
Практика показывает, что отсутствие сбалансированного и постоянно обновляемого бизнес-плана, воплощающего в реалии намечаемые цели, свидетельствует о недостатках в системе управления фирмой и негативно влияет на возможности привлечения финансовых ресурсов. Напротив, реальное, достоверное планирование обеспечивает определенную надежность финансирования фирмы, что очень важно для ее успешного функционирования в стремительно меняющихся условиях внешней среды.
Не будет преувеличением назвать бизнес-план основой управления не только коммерческим проектом, но и самим предприятием. Благодаря бизнес – плану у руководства появляется возможность взглянуть на собственное предприятие как бы со стороны. Сам процесс разработки бизнес – плана, включающего детальный анализ экономических и организационных вопросов, заставляет мобилизоваться.
Бизнес-план является традиционным для рыночной экономики документом, без которого в сфере бизнеса не предпринимаются никакие сколько-нибудь серьезные действия. В определенном смысле он представляет собой формализацию системного подхода к процессу планирования, форму обоснования экономической целесообразности выбранных фирмой направлений деятельности и использования тех или иных источников финансирования этой деятельности, оценки ожидаемых финансовых результатов (продажи, прибыли, отдачи от вложенного капитала).
Таким образом, бизнес-план предполагает оценку собственной предпринимательской деятельности фирмы и целевую оценку конъюнктуры рынка, является программой действий предпринимателя, необходимым рабочим инструментом проектно-инвестиционных решений и внутрифирменного планирования, используемым во всех сферах предпринимательства. Он актуален как для вновь создаваемых, так и для действующих фирм.
В определенном смысле, бизнес-план, как форма планирования, позволяет повышать эффективность предпринимательской деятельности даже при отсутствии необходимого и достаточного профессионального опыта. Основной целью планирования можно считать формирование и развитие у предпринимателя стратегического мышления. В формализованном виде «стратегическое мышление синтезирует интуицию и творческие способности предпринимателя в видении будущего».
Обычно целью разработки бизнес-плана является необходимость долговременного или краткосрочного планирования, которое осуществляется на базе изучения потребностей рынка и принятия решений по его дальнейшему освоению, собственному развитию фирмы. Но обойтись без него невозможно вовсе, если фирма принимает решение об открытии нового дела, при освоении производства нового продукта либо полном перепрофилировании деятельности, когда особенно велика потребность в инвестициях, и при выходе на внешний рынок.
В связи с этим важное значение имеет структура бизнес-плана, которая должна логически связать все элементы внутрифирменного планирования, охватить все аспекты деятельности хозяйствующего субъекта, охарактеризовать состояние и перспективы развития компании, дать наглядное представление о финансовых результатах ее деятельности на ближайшее будущее и на более отдаленную перспективу.
Бизнес-план должен быть нацелен на максимизацию выполнения намеченных задач, то есть, важна не только их постановка, но и последующая реализация, без чего составление бизнес-планов, в сущности, теряет смысл. Необходимо не только планировать, но и выполнять запланированное — бизнес-план должен быть руководящим документом, обеспечивающим эффективность деятельности.
Практика российских компаний убедительно свидетельствует о необходимости бизнес-планирования как инструмента, способствующего повышению эффективности предпринимательства, его стабилизации.
Бизнес-план можно с полной уверенностью рассматривать в качестве формы планирования, определяющего содержание целей и задач, время и пути их достижения. Его значение обусловлено и возможностью использования бизнес-плана в качестве средства привлечения необходимых ресурсов.
Бизнес-план выступает как объективная оценка собственной предпринимательской деятельности фирмы и в тоже время необходимый инструмент проектно – инвестиционных решений в соответствии с потребностями рынка. В нем характеризуются основные аспекты коммерческого предприятия, анализируются проблемы, с которыми оно столкнется, и определяются способы их решения. Следовательно, бизнес-план – одновременно поисковая, научно – исследовательская и проектная работа.
Таким образом, бизнес-план является одним из составных документов, определяющих стратегию развития фирмы. Вместе с тем он базируется на общей концепции развития фирмы, более подробно разрабатывает экономический и финансовый аспект стратегии, дает технико-экономическое обоснование конкретным мероприятиям.
2. Методы планирования производства и реализации продукции
2.1 Планирование реализации продукции
Рыночный спрос на продукцию характеризуется общим объемом продажи товара определенного вида (марки или совокупности марок товара) на данном рынке за конкретный период времени. Выделяют следующие виды рыночного спроса[21, с.154]:
а) первичный — суммарный спрос на данный вид продукции, обеспечивающий ее реализацию без использования маркетинговых мероприятий;
б) потенциальный — предельная величина спроса, при которой дальнейшее увеличение затрат на маркетинг не приводит к увеличению спроса в существующих условиях внешней среды;
в) текущий — характеризуется объемом продажи продукции за конкретный период времени при данных условиях внешней среды и определенном уровне маркетинговых затрат предприятия.
В процессе изучения потребности маркетинговая служба предприятия постоянно оценивает фактические и потенциальные возможности рынка, относящиеся к профилю продукции, которую выпускает предприятие. При этом изучаются как потребности внутреннего и внешнего рынка, так и требования, предъявляемые потребителями к выпускаемой продукции.
Целью проведения маркетинговых исследований рынка является создание спроса на производимую предприятием продукцию и его удовлетворение посредством проведения следующих мероприятий [22, с.491]:
а) изучение рынка сбыта продукции;
б) информирование потенциальных клиентов о продукции (услугах), способной удовлетворить их потребности;
в) установление и регулирование цен на продукцию предприятия;
г) формирование и увязка планов поставок и производства продукции;
д) разработка плана по созданию и освоению новой продукции.
Объем продаж и величина денежных доходов предприятия зависят не только от потребности, но и от цены продукции. На цену продукции во многом влияют издержки ее производства (себестоимость). Предприятие-монополист может устанавливать на свою продукцию высокую цену, ограничиваемую лишь государственным регулированием. Предприятия, испытывающие конкуренцию, постоянно должны корректировать цены в пределах минимально возможной — нижней границы цены (издержки производства) и максимально допустимой — верхней границы цены (рыночная цена).
Разработка плана реализации (продажи) продукции и услуг осуществляется на основе договоров с их потребителями, а также с поставщиками материалов, заготовок, полуфабрикатов, комплектующих изделий. При заключении хозяйственных договоров предприятия-производители должны указывать условия оплаты товаров и услуг: по факту отгрузки (на дату поставок), в кредит (на установленный срок), предварительная оплата (авансирование). При этом необходимо учитывать скидки с цен, уровень инфляции, потери на стадии обращения продукции, безнадежные долги клиентов и т.д.[31, с.192].
К основным показателям плана продаж относятся: номенклатура продукции и услуг каждого вида, которые должны быть реализованы в планируемом периоде, объем реализуемой продукции в натуральном и стоимостном выражении — рыночных ценах. Планируемый объем реализуемой продукции Nреал включает в себя готовые изделия основной продукции Nосн; запасные части, если они не входят в комплект изделия, Nзап; реализуемые другим предприятиям полуфабрикаты собственного производства Nпф; продукцию вспомогательных производств Nвсп; услуги промышленного характера другим предприятиям и непромышленным хозяйствам своего предприятия Nусл (поставка энергии, горячей воды и т.д.) [24, с.107]:
Объемы реализации рассчитывают по каждому виду продукции с учетом изменений остатков готовой продукции на складе и товаров, отгруженных на начало и конец планового периода. С помощью показателя объема реализуемой продукции оценивают выполнение плана поставок продукции по хозяйственным договорам. В объем реализованной продукции (в отчет) включают полностью изготовленную продукцию, отвечающую требованиям государственных стандартов, чертежей, технических условий или договоров.
План реализации продукции является важным стратегическим и оперативным документом для предприятия — производителя продукции (услуг), основой для определения дохода предприятия и источником погашения его расходов. Он дает возможность предприятию перейти от общего (обезличенного) планирования к политике заключения адресных сделок-планов, предусматривающих производство и доставку продукции в плановом году. Являясь ведущим разделом перспективного и годового плана развития предприятия, план реализации продукции представляет собой базу для разработки плана производства продукции, расчетов численности работающих, фонда их заработной платы, плана материально-технического снабжения, затрат на производство[20, с.67].
Важнейшей задачей является разработка оптимального плана реализации продукции, так как он существенно влияет на все стороны производственно-хозяйственной и финансовой деятельности предприятия и определяет объем продаж, прибыль предприятия и рентабельность производства.
Оптимальным называется план, обеспечивающий выполнение показателей по сбыту и производству продукции при наиболее полном использовании производственной мощности, материальных и трудовых ресурсов. В процессе разработки оптимального плана реализации устанавливают критерий оптимальности и ограничения по ресурсам.
В качестве критерия оптимальности может быть принят один из следующих показателей: максимальная суммарная прибыль от реализации продукции, максимальный объем продажи продукции, минимум издержек производства.
Задача оптимизации плана заключается в выборе из имеющегося наборй заказов такого числа изделий каждого наименования, подлежащих изготовлению в данном периоде, при котором в пределах заданных ресурсов функция-критерий достигает своего экстремального значения.
Математическая модель построения оптимального плана реализации продукции сводится к следующему. В соответствии с портфелем заказов имеется число изделий каждого наименования . Требуется определить номенклатуру и число подлежащих производству изделий обеспечивающих максимум прибыли от реализации продукции .
Для формирования оптимального плана реализации продукции используют следующую исходную информацию:
Ni — объем производства i-х видов продукции в натуральном выражении, шт., обеспечивающих наибольшую прибыль от их реализации;
Niд — объем производства других видов продукции в натуральном выражении, шт.;
ti, Si, Цi— трудоемкость, ч, себестоимость и цена продукции,р.;
tip — нормативное время обработки i-го изделия на р-й группе оборудования, ч/шт.;
kв.н — коэффициент выполнения норм времени;
Fдр, — действительный годовой фонд времени работы р-й группы оборудования, ч;
Smi,SПi ~ затраты материалов и покупных готовых изделий на единицу i-й продукции, р.
Расчет оптимальной годовой производственной программы ведут с учетом ограничений[17. с.52]:
• по объему выпуска продукции в натуральном выражении;
• объему реализуемой продукции;
• пропускной способности оборудования;
• затратам на приобретение материалов и покупных готовых изделий;
• фондам на развитие производства;
• фонду заработной платы производственных рабочих.
Алгоритм формирования оптимального плана реализации продукции включает в себя следующие действия (рис. 1) [32, с.104]:
1) расчет объема продажи по первоочередным (выгодным) видам продукции, в том числе:
а) плановой трудоемкости на годовую производственную программу по группам оборудования;
б) загрузки оборудования;
в) объема производства продукции в часах, по себестоимости и в рыночных ценах;
г) объема продажи продукции в рыночных ценах;
д) материальных затрат на годовой объем производства;
е) фонда заработной платы основных производственных рабочих;
2) установление величины резервов по объему реализуемой продукции, мощности и ресурсам предприятия; при этом необходимо соблюдать ограничения по объему производства продукции каждого наименования, который не должен превышать спрос на эту продукцию;
3) определение оптимального варианта плана по номенклатуре и объему производства продукции, обеспечивающего получение максимальной прибыли.
Рис. 1. Алгоритм формирования оптимального плана реализации продукции
В состав результативной информации входят[16, с.57]:
• годовая производственная программа предприятия, в том числе номенклатура и количество продукции, подлежащей изготовлению в плановом году;
• объем производства товарной и реализуемой продукции;
• прибыль от реализации продукции и рентабельность капитала.
Планирование объемов и сроков поставок осуществляется совместно с разработкой плана производства продукции и оказания услуг и планированием производственной мощности предприятия.
2.2 Планирование производства продукции
К основным показателям плана производства продукции относят объем товарной продукции в натуральном и стоимостном выражении, объем валовой и чистой продукции в стоимостном выражении. При планировании производства продукции используют натуральные, условно-натуральные, трудовые и стоимостные измерители.
Натуральные измерители являются основной первичной информацией; их измеряют в штуках, комплектах, метрах и др. Условно-натуральные измерители позволяют привести различные виды выпускаемой продукции к одному виду, принятому за базу. Для перевода в такие единицы используют коэффициенты приведения по трудоемкости. Трудовые измерители используют для определения суммарной трудоемкости изготовления изделий в часах, а стоимостные — для расчета совокупного объема производства различных видов продукции и услуг по рыночным ценам.
Объем продукции в натуральном выражении в составе перспективного плана формируют по укрупненной номенклатуре. Перспективный план производства определяет направление технического развития предприятия, которое характеризуется выпуском новых изделий, увеличением общего объема производства продукции в соответствии с прогнозом рынка сбыта этой продукции. В годовом плане производства конкретизируют показатели перспективного плана, устанавливают номенклатуру, ассортимент и объем производства и сбыта продукции. В состав годового плана должен входить полный перечень наименований продукции с указанием количества, сроков выпуска и поставок готовой продукции[33, с.118].
Объем продукции в стоимостном выражении планируют в рыночных и неизменных (сопоставимых) ценах. Показатель объема продукции в сопоставимых ценах позволяет более точно оценить темпы, пропорции и структуру объема производства. Этот показатель применяют для расчета затрат на рубль реализуемой продукции, фонда заработной платы и производительности труда. Объем продукции в рыночных ценах используют для планирования себестоимости продукции и прибыли от ее реализации.
Годовой объем производимой продукции распределяется по кварталам и месяцам с учетом сроков ее поставок, цикла изготовления и рабочих дней в данном периоде. На основе годового плана предприятия разрабатывают годовые планы производства продукции цехам по кварталам и месяцам. Производственная программа цехам устанавливается в соответствии с технологическим маршрутом и сроками изготовления изделия в последующих цехах.
В объем товарной продукции включается полностью изготовленная и предназначенная для реализации продукция, отвечающая требованиям государственных стандартов, чертежей, технических условий и договоров. Планируемый объем товарной продукции NTопределяют исходя из объема реализуемой продукции, изменения остатков готовой продукции на складе и отгруженной продукции:
где NГ.К — объем готовой продукции на складе предприятия, планируемый на конец года, p.; NГ.Н — объем готовой продукции, находящийся на складе предприятия к началу планового года, р.; Nотг.к, Nотг.н – объем готовой продукции отгруженной и отправленной, но не оплаченной потребителем согласно условиям договора, на конец (плановый объем) и начало (фактический объем) планового периода соответственно, р.
Объем готовой продукции, находящейся на складе к началу планового года, определяют по фактическим данным на основании инвентаризации. Объем готовой продукции на складе на конец планового года устанавливают либо по нормативам, либо посредством расчетов[15, с.229]. Готовую продукцию в товарах отгруженных, но не оплаченных потребителем в соответствии с условиями договора, на начало планового периода вычисляют по фактическим данным; на конец планового периода — на основе нормативного времени документооборота от момента представления счета в банк до поступления средств на расчетный счет предприятия-изготовителя.
Объем чистой продукции определяют в плановых ценах путем вычитания из объема товарной продукции затрат на материалы и величины амортизационных отчислений основных фондов. Показатель объема чистой продукции исключает повторный счет затрат на производство продукции и позволяет более точно оценить результаты деятельности предприятия по таким качественным показателям, как производительность труда, фондоотдача и др.[15. с.304].
В объем валовой продукции в плановом периоде NВ входят объемы, подлежащие реализации: основной продукции NOCH, технологической оснастки NT0, выполняемых услуг NУСЛ, а также изменение объема незавершенного производства ΔNНЗП:
,
где NНЗПн, NНЗПк — объем незавершенного производства на начало (фактический) и на конец (нормативный) планового периода соответственно, р.
Объем валовой продукции может быть выражен формулой
Показатель валовой продукции рассчитывается[18, с.254]:
а) в стоимостном выражении: в рыночных (действующих) ценах — для определения потребности в материальных, трудовых и финансовых ресурсах; в неизменных ценах — для оценки динамики объемов производства за прошедший период и прогнозирования на перспективный период;
б) в часах (по трудоемкости) — для установления загрузки оборудования и численности основных производственных рабочих.
К НЗП относится незаконченная изготовлением продукция, которая предназначена для реализации. В его состав входят заготовки, детали, узлы и изделия основного производства, находящиеся на разной стадии их изготовления. Объем НЗП необходим для обеспечения нормального хода производственного процесса.
На каждой стадии производственного процесса должен быть определен задел, обеспечивающий бесперебойную работу данного участка. В то же время величина НЗП не должна быть очень большой, так как она влияет на размер оборотных средств предприятия, а следовательно, и на показатель рентабельности производства.
Объем НЗП на предприятиях неодинаков и зависит от масштабов и типа производства. Планирование обоснованной величины НЗП относится к важнейшим вопросам разработки плана производства. Объем НЗП зависит от длительности производственного цикла изготовления продукции и объема выпуска данной продукции в единицу времени. На начало планового периода величину НЗП определяют в натуральном и денежном выражении по данным бухгалтерского учета и инвентаризации, а на конец планируемого года — в натуральном, денежном выражении и по трудоемкости изготовления путем расчета, исходя из среднесуточного выпуска изделий и длительности производственного цикла.
В натуральном выражении объем НЗП по изделию i-го наименования вычисляют по формуле
где NСУТi — среднесуточный выпуск изделий i-го наименования, шт./сут; Tцi — длительность производственного цикла изготовления i-го изделия, сут (дни).
Среднесуточный выпуск изделия i -го наименования вычисляют по следующей формуле, шт./сут:
где NСУТi — годовой выпуск изделий i -го наименования, шт./год; /д — годовой действительный фонд времени в рабочих днях (сутках).
По трудоемкости объем НЗП по изделию i -го наименования рассчитывают по формуле, ч,
где Тизд/ — нормативная трудоемкость изготовления одного изделия i -го наименования, ч; kтот,— средний коэффициент готовности изделия i -го наименования, составляет 0,3 — 0,8.
Коэффициент готовности kтот определяется отношением трудоемкости выполненных работ ТВып.Раб, т.е. операций технологического процесса по изготовлению изделия к общей трудоемкости изделия Тизд:
По всем изделиям объем НЗП составит:
где п — число наименований изделий.
В денежном выражении объем НЗП по изделию i -го наименования определяется по следующей формуле, р.:
где Sиздi — себестоимость изделия i -го наименования, p.; kн.зi — коэффициент нарастания затрат по изделию i -го наименования.
Коэффициент нарастания затрат может быть представлен отношением средней себестоимости изделия в НЗП к его полной себестоимости в готовом виде. В зависимости от длительности производственного цикла изготовления изделия доли покупных комплектующих изделий в себестоимости продукции и временного периода осуществления материальных затрат возможны различные виды кривых нарастания затрат при изготовлении изделия (рис. 2) [34, с.46].
1. Затраты на основные материалы осуществляются в начале производственного цикла изготовления изделий, а остальные затраты нарастают равномерно. При расчете величины кн.з считается, что все основные материалы, покупные полуфабрикаты и покупные комплектующие изделия закупаются, т.е. вступают в производство, одновременно с запуском изделия в производство, остальные затраты включаются при 50%-й готовности изделия.
Рис. 2. Кривые нарастания затрат
В этом случае кн.з > 0,5, что характерно для продукции с небольшим удельным весом в себестоимости готовой продукции Sr затрат на покупные комплектующие изделия, которые обычно имеют место в заключительной фазе производственного цикла (рис. 2, а):
где т — удельный вес затрат на основные материалы, покупные изделия и полуфабрикаты в себестоимости готовой продукции.
2. Затраты нарастают неравномерно, большая их часть включается во второй половине производственного цикла Гц. В этом случае кнз < 0,5, что типично для продукции с длительным циклом изготовления и большим удельным весом в себестоимости готовой продукции затрат на покупные комплектующие изделия (рис. 2, б).
3. Затраты нарастают равномерно в течение производственного цикла, тогда кнз = 0,5. Данный вид нарастания затрат характерен для продукции с небольшой длительностью производственного цикла (рис. 2, в).
Объем НЗП в денежном выражении по всем изделиям составит:
Для определения возможности выполнения производственной программы производят объемные расчеты, целью которых является сопоставление загрузки и пропускной способности оборудования и производственных площадей.
Планирование объемов производства продукции осуществляют совместно с расчетом производственной мощности предприятия.
Заключение
Цель курсового исследования достигнута путём реализации поставленных задач. В результате проведённого исследования по теме «Совершенствование внутрифирменного планирования» можно сделать ряд выводов:
Внутрифирменное планирование является одной из важнейших функций управления любым предприятием.
В современных условиях становления рыночных отношений внутрифирменное планирование приобрело качественно новые черты и особенности. Это обусловлено огромными масштабами обобществления производства; расширением горизонта планирования, необходимостью увязки вопросов планирования с маркетинговыми исследованиями, специализацией и кооперированием производства, наличием тесных межфирменных связей с включенными в единый технологический процесс поставщиками оборудования, транспортных средств, запасных частей и комплектующих изделий. Очень важно учитывать требования научно-технического прогресса — быстро осваивать новейшие достижения науки и техники.
В целом, внутрифирменное планирование – это создание системы долгосрочных, среднесрочных и краткосрочных планов, касающихся всех отделов, подотделов и подразделений организации и определяющих, во-первых, стратегию, тактику и практику деятельности фирмы, во-вторых, прогноз развития внешнего окружения, в-третьих, цели функционирования, а также и другие системообразующие факторы.
Процесс внутрифирменного планирования включает:
— формирование общих целей (стратегии) развития предприятия;
— определение конкретных целей и задач предприятия и его отдельных подразделений на определенный период перспективы;
— установление путей и средств их достижения;
— обоснование потребности в производственных ресурсах и источников их обеспечения;
— контроль за достижением поставленных целей и задач посредством сопоставления плановых показателей с фактическими.
Использование методов внутрифирменного планирования, передовых способов разработки и контроля выполнения плана — основной путь развития современного производственного менеджмента.
Основные черты процесса планирования различаются в зависимости от видов планирования. Основные виды планирования: стратегическое и тактическое. Стратегическое и тактическое планирование – процессы далеко неоднозначные. Стратегия – это не функция времени, а функция направления. Стратегическое планирование не сосредоточено на данном отрезке времени, а включает в себя совокупность глобальных идей развития фирмы. Тактическое планирование – это принятие решений о том, как должны быть распределены ресурсы организации для достижения стратегических целей.
Мировой опыт подсказывает, что в качестве универсального инструмента внутрифирменного планирования целесообразно использовать такой новый для управленческой системы России документ, как бизнес-план. В отличие от технико-экономического обоснования бизнес-план, как показал первый опыт его применения в менеджменте российских компаний, охватывает практически все проблемы, с которыми хозяйствующий субъект сталкивается на рынке, помогает менеджерам в разработке и выборе оптимальных вариантов управленческих решений.
Роль бизнес-плана во внутрифирменном планировании:
— используется для разработки концепции и стратегии деятельности компании, оценивая ее различные аспекты: маркетинг, финансы, производство;
-предоставляет менеджерам возможность оценить фактические результаты деятельности компании за определенный период, выявить и проанализировать отклонения от плана, определить перспективные направления ее развития;
— является главным документом для потенциальных инвесторов и кредиторов, средством привлечения или изыскания дополнительных финансовых ресурсов.
Список использованной литературы
1. Алексеева М.М. Планирование деятельности фирмы : учеб. пособие / М.М.Алексеева. — М.: Финансы и статистика, 2007. – 304 с.
2. Анискин Ю.П. Планирование и контроль / Ю.П. Анискин, А.М.Павлова. — М. : Омега-Л., 2006. – 504 с.
3. Ансофф И. Новая корпоративная стратегия / И. Ансофф. — СПб. : Питер Ком, 2008. – 236 с.
4. Бадиков Г.А. Применение программы планирования и управления проектами Time Line в учебных работах по дисциплине «Организация и планирование производства» : методич. указания / Г.А. Бадиков. — М. : Изд-во МГТУ им. Н.Э.Баумана, 2007. – 167 с.
5. Балабанов И.Т. Финансовый анализ и планирование хозяйствующего субъекта/ И.Т. Балабанов. — 2-е изд. — М.: Финансы и статистика, 2006. – 423 с.
6. Басовский Л.Е. Прогнозирование и планирование в условиях рынка : учеб. пособие/Л.Е. Басовский. — М.: ИНФРА-М, 2006. – 256 с.
7. Бухалков М.И. Внутрифирменное планирование: учебник / М.И.Бухалков. — 2-е изд. — М.: ИНФРА-М, 2008. – 463 с.
8. Быгин В.Б., Малинин С.В. Нормирование труда в условиях перехода к рыночной экономике: Учеб. пособие. — М.: Экономика, 2005. — 220 с.
9. Владимирова Л.П. Прогнозирование и планирование в условиях рынка/ Л.П.Владимирова. — М.: Дашков и К, 2007. – 364 с.
10. Генкин Б.М. Организация, нормирование и оплата труда на промышленных предприятиях. — М.: НОРМА, 2003. — 389 с.
11. Горемыкин В.А. Планирование на предприятии: учебник / В. А. Горемыкин, Э.Р. Бугулов, А.Ю. Богомолов. — М.: Филин, 2009. – 457 с.
12. Ильин A.M. Планирование на предприятии: Учебник. — Минск: ООО «Новое знание», 2008. — 640 с.
13. Климов А.Н., Оленев И.Д., Соколицын С.А. Организация и планирование производства на машиностроительном заводе. — Л.: Машиностроение, 2004. — 462 с.
14. Костюков Н.И. Организация, нормирование и оплата труда на предприятиях: Учеб. пособие / Н.И. Костюков, М.Б. Щепакин, В.А. Малеванчук; Отв. ред. В.А. Нарский / Сев.-Кавказ. центр высш. школы. — Ростов н/Д, 2003. — 175 с.
15. Ларионов А.И. Экономико-математические методы в планировании / А.И. Ларионов, Т.И. Юрченко, А.Л. Новоселов. — М.: Высш. шк., 2007. – 412 с.
16. Макаренко М.В., Махалина О.М. Производственный менеджмент. — М.: ПРИОР, 2008. — 383 с.
17. Моисеева Н.К., Карпунин М.Г. Основы теории и практики функционально-стоимостного анализа. — М.: Высшая школа, 2008. — 192 с.
18. Новицкий Н.И. Организация производства на предприятиях: Учеб.-метод. пособие. — М.: Финансы и статистика, 2003. — 392 с.
19. Новицкий Н.И. Основы менеджмента: организация и планирование производства (задачи и лабораторные работы). — М.: Финансы и статистика, 2008. — 208 с.
20. Новицкий Н.И. Сетевое планирование и управление производством. — Минск: ООО «Новое знание», 2004. — 160 с.
21. Новицкий НИ, Олюксюк В.Н. Управление качеством продукции: Учеб. пособие. — Минск: ООО «Новое знание», 2007. — 240 с.
22. Окрепилов В.В. Управление качеством. — М.: Экономика, 2008. — 640 с.
23. Организация и нормирование труда: Учеб. пособие / Под ред. В.В. Адамчука. — М.: ЗАО «Финстатинформ», 2007. — 289 с.
24. Организация и планирование машиностроительного производства (производственный менеджмент): учебник / [К.А. Грачева и др.]; под ред. Ю.В. Скворцова, А.А. Некрасова. — М.: Высш. шк., 2003. – 389 с.
25. Организация и планирование машиностроительного производства: Учебник для вузов / Под ред. М.И. Ипатова, В.И. Постникова, М.К. Захаровой. — М.: Высшая школа, 2008. — 368 с.
26. Организация и планирование производства на машиностроительном предприятии: Учебник для вузов / Под ред. В.А. Летенко. — М.: Высшая школа, 2002. — 606 с.
27. Пашуто В.П. Организация и нормирование труда на предприятии. — Минск: ООО «Новое знание», 2008. — 318 с.
28. Практикум по организации и планированию машиностроительного производства. Производственный менеджмент : учеб. пособие / [Е.В.Алексеева и др.] ; под ред. Ю.В. Скворцова. — М.: Высш. шк., 2007. – 169 с.
29. Рофе А.И. Научная организация труда. — М.: Изд. МИК, 2008. — 523 с.
30. Соколицын С.А., Кузин Б.И. Организация и оперативное управление машиностроительным производством., Л.: Машиностроение,2008. — 528 с.
31. Стратегическое управление организационно-экономической устойчивостью фирмы: Логистикоориентированное проектирование бизнеса / [А.Д. Канчавели и др.]; под ред. А.А. Колобова, И.Н. Омельченко. — М.: Изд-во МГТУ им. Н.Э.Баумана, 2009. – 531 с.
32. Управление качеством продукции: Учеб. пособие / Под ред. Н.И. Новицкого. — 2-е изд., перераб. и доп. — Минск: ООО «Новое знание», 2007. — 368 с.
33. Управление производством / Под ред. Н.А. Соломатина. — М.: Инфра-М, 2009.-218 с.
34. Фатхутдинов Р.А. Организация производства: Учебник. — М.: Инфра-М, 2007. — 672 с.
35. Фильев В.Н. Нормирование труда на современном предприятии. — М.: Финансы и статистика, 2007. — 158 с.
Практическая часть
Задача 1
На основании исходных данных (В=2, Г=10), необходимо оценить экономическую эффективность создания предприятия, работающего по договору франчайзинга и упрощенной системе налогообложения. Расчет провести статическим методом, округляя все промежуточные результаты до тысяч рублей.
Решение данной задачи предусматривает выполнение следующих этапов работ:
1. Определение величины инвестиций на создание предприятия
a. Определение потребности в основных фондах
b. Определение потребности в запасах и величины оборотного капитала
2. Определение величины уставного капитала.
3. Формирование планового баланса предприятия на момент начала его работы, определение источников финансирования инвестиций.
4. Планирование финансовых результатов деятельности предприятия на первый и последующие 4 года.
5. Расчет показателей экономической эффективности создания предприятия.
Исходные данные:
Для ведения бизнеса по договору франчайзинга создается ООО «Интеллект». Расчет эффективности провести из расчета 5 лет работы фирмы. Условно считается, что создание фирмы и формирование имущества проводится в конце года, а текущая деятельность начинается с начала следующего года. Уставный капитал общества формируется двумя учредителями. Первый предоставляет необходимые основные фонды и его доля составляет 52 %. Второй учредитель вносит свою долю денежными средствами. Недостающая для начала деятельности сумма берется в банке в кредит на 2 года под 17% годовых.
Франчайзинговый договор предусматривает:
1) разовую выплату франшизы (нематериальный актив);
2) ежемесячные платежи (роялти) в составе текущих расходов;
3) обязательное наличие аттестованных специалистов (затраты на аттестацию и обучение специалистов у фирмы-франчайзера учесть в составе инвестиций в оборотный капитал).
До начала деятельности необходимо произвести следующие расходы (инвестиции в создание предприятия из которых образуется имущество предприятия):
1. Зарегистрировать фирму. Для регистрации данного предприятия учредители пользуются услугами юридической фирмы, которая проводит все необходимые действия по формированию пакета учредительных документов и регистрации предприятия. Стоимость ее услуг составляет 10 тыс. руб.
2. Заключить франчайзинговый договор и выплатить франшизу в сумме 20 тыс. руб.
3. Провести обучение и сертификацию персонала у франчайзера (15 специалистов по 20 тыс. руб. на каждого).
4. Внести предоплату аренды помещения в сумме 520 тыс. руб.
5. Выполнить ремонт помещений – 150 тыс. руб.
6. Закупить необходимое имущество (Табл. 1).
Таблица 1
Смета затрат на приобретение основных средств фирмы
|
Вид ОФ |
Количество, шт. |
Цена за 1 шт., тыс. руб. |
|
сервер |
2 |
20 |
|
мини АТС с телефонными аппаратами |
1 |
30 |
|
персональные ЭВМ |
42 |
25 |
|
факс |
5 |
4 |
|
принтер |
4 |
5 |
|
сканер |
1 |
5 |
|
рабочее место |
12 |
5 |
|
учебное место |
30 |
2 |
|
машина |
1 |
75 |
|
оборудование для кухни |
1 |
10 |
7. Создать запасы товаров, комплектующих, инструмента и запасных частей. Закупка товаров для перепродажи осуществляется у франчайзера в кредит со сроком оплаты в течение месяца. Первую закупку всех запасов осуществляют в сумме равной плановому нормативу. При расчете нормативов месяц считать за 30 дней, год – 360 дней. Страховой запас всех видов 2 дня (Табл. 2).
Таблица 2
Смета затрат на приобретение запасов ООО «Интеллект»
|
Вид запаса |
Планируемый годовой расход |
Интервал между закупками |
|
товары |
1440 тыс.руб. |
1 раз в 2 месяца |
|
комплектующие |
10800 тыс.руб. |
1 раз в месяц |
|
запчасти и инструмент |
4320 тыс.руб. |
2 раза в год |
8. Провести рекламную компанию, в т.ч.
— реклама в газетах 20 тыс. руб.
— печать и распространение рекламных буклетов 25 тыс.руб.
— оформление и установка рекламных щитов 2 штук по 5 тыс. руб.
Предусмотреть наличие денежных средств на непредвиденные расходы в сумме 4 тыс.руб.
Предприятие работает по упрощенной системе налогообложения и платит единый налог – 15% от превышения доходов над расходами (табл. 3).
Таблица 3
Результаты хозяйственной деятельности предприятия
|
1 год работы |
2-5 год работы |
|
|
Доходы |
12 млн.руб. |
на 20% больше, чем в 1 году |
|
Расходы |
10 млн. руб |
на 15% больше, чем в 1 году (без учета процентов по кредиту) |
В расходы первого и второго года работы необходимо добавить проценты по кредиту банка.
1. Определение суммы инвестиций на создание нового бизнеса
Определение величины инвестиций на формирование основных средств предприятия
Основные средства (основной капитал) предприятия можно определить как часть его ресурсов, вложенных в основные фонды различного назначения. Основные фонды предприятия — это часть производственных фондов (средства труда), которые многократно участвуют в процессе производства продукции (функционируют в течение периода, превышающего двенадцать месяцев), постепенно изнашиваются и постепенно переносят свою стоимость на себестоимость производимой с их помощью продукции в процессе амортизации. К основным фондам относятся также материальные ценности, имеющие стоимость на дату приобретения свыше стократного размера минимальной месячной оплаты труда независимо от срока их использования. К основным фондам предприятия относятся здания, сооружения, передаточные устройства, машины и оборудование (силовые машины и оборудование, рабочие машины и оборудование, контрольно измерительное оборудование и оборудование лабораторий, средства вычислительной техники), инструмент и технологическая оснастка долговременного использования (со сроком службы больше года или стоимостью, превышающей 100-кратную величину минимальной заработной платы), транспортные средства, производственный и хозяйственный инвентарь и другие основные средства. Соотношение между отдельными составляющими основных фондов называют их структурой. В производстве различают активные и пассивные основные фонды. При этом к активным относятся те их составляющие, которые непосредственно участвуют в производственном процессе (рабочие машины и оборудование, контрольно-измерительное оборудование и т.п.). К пассивным относятся основные фонды, которые создают необходимые для производства условия (здания, сооружения и т.п.).
Таблица 4
Расчет стоимости основных фондов
|
Вид ОФ |
Кол-во, шт. |
Цена за 1 шт., тыс. руб. |
Стоимость, тыс. руб. |
|
сервер |
2 |
20 |
40 |
|
мини АТС с телефонными аппаратами |
1 |
30 |
30 |
|
персональные ЭВМ |
42 |
25 |
1050 |
|
факс |
5 |
4 |
20 |
|
принтер |
4 |
5 |
20 |
|
сканер |
1 |
5 |
5 |
|
рабочее место |
12 |
5 |
60 |
|
учебное место |
30 |
2 |
60 |
|
машина |
1 |
75 |
75 |
|
оборудование для кухни |
1 |
10 |
10 |
|
Итого |
1370 |
Из данных таблицы 4 следует, что стоимость основных фондов составит 1370 тыс. руб.
Определение величины инвестиций на формирование нематериальных активов предприятия
К нематериальным активам относятся авторские права всех видов, приобретенные за плату патенты, торговые марки и товарные знаки, права по пользованию производственной информацией (в нашем случае — первый взнос за франшизу), земельными участками и природными ресурсами, зданиями и оборудованием, а также организационные расходы (возникающие у учредителей расходы до момента создания предприятия, например, консультационные услуги, юридические, оплата расходов по учреждению и т.п.) и репутация фирмы (возникает при покупке целых действующих предприятий в виде превышения покупной стоимости фирмы над стоимостью ее имущества).
Таблица 5
Расчет стоимости нематериальных активов
|
вид нематериальных активов |
стоимость, тыс. руб. |
|
организационные расходы |
10 |
|
франшиза |
20 |
|
итого |
30 |
Из данных таблицы 5 следует, что стоимость нематериальных активов предприятия равна 30 тыс. руб.
Определение величины инвестиций на формирование оборотных средств предприятия
Стратегия управления оборотными средствами направлена на обеспечение платежеспособности предприятия и базируется на определении оптимального объема и структуры оборотных средств, что связано с решением задачи выбора оптимальной структуры источников финансирования оборотных средств.
Оборотными средствами (текущими активами) являются активы, которые могут быть в течение одного производственного цикла либо одного года превращены в денежные средства. Оборотные активы включают в себя материально-производственные запасы и затраты, готовую продукцию, дебиторскую задолженность, денежные средства. Оборотные средства являются мобильной частью активов предприятия. Находясь в постоянном движении, оборотные активы обеспечивают бесперебойный процесс производства.
В зависимости от способности более или менее быстро превращаться в деньги, т.е. по степени ликвидности, оборотные активы делятся на медленнореализуемые (запасы сырья, материалов, незавершенного производства, готовой продукции), быстрореализуемые (дебиторская задолженность, средства на депозитах) и абсолютно ликвидные (денежные средства и краткосрочные рыночные ценные бумаги).
Норматив запаса – это минимально необходимая сумма денежных средств, необходимая для создания запаса, обеспечивающегося нормальный производственный процесс. Нормативы рассчитываются на каждый конкретный период (год, квартал) по каждому элементу нормируемых оборотных средств. После этого определяется суммарный норматив оборотных средств. Норматив фактически показывает стоимость запаса в среднем за период и определяется выражением
где Нэ – норматив элемента оборотных средств, руб.;
Оэ – расход данного элемента запаса на плановый период, руб.;
Т – длительность планового периода, дни;
Оэ/Т – среднесуточный расход данного элемента запаса, руб./день;
η – норма запаса по данному элементу, дни.
Норма запаса учитывает время пребывания запаса в текущем (ηт), страховом (ηс) и прочих видах (ηп) запасов: η=ηт+ηс+ηп.
Текущий запас – основной вид запаса. Он определяет величину всей нормы запаса и предназначен для питания производства между двумя очередными поставками. Его величина представляет собой половину среднего интервала между поставками Т=1/2Твзв, где Твзв – средневзвешенный фактический интервал между поставками.
Страховой (гарантийный) запас – второй по величине вид запаса. Он создается для обеспечения бесперебойного течения производства в случаях возможных задержек поставок. Прочие виды запаса создаются в особых случаях (превышение времени доставки груза над временем доставки платежных документов, необходимость подготовки материалов к производству, если имеется сезонный характер поставок либо сезонный характер потребления).
Таблица 6
Расчет норматива запаса
|
Вид запаса |
Расход в год (тыс. руб.) |
Интервал между поставками (дни) |
Средне — дневной расход (тыс. руб.) |
Норма запаса (дни) |
Норматив запаса (тыс. руб.) |
|
товары |
1440 |
60 |
4 |
32 |
28 |
|
комплектующие |
10800 |
30 |
30 |
17 |
510 |
|
инструменты и запчасти |
4320 |
180 |
12 |
92 |
1104 |
|
итого |
1742 |
Из данных таблицы 6 следует, что по статье запасов товары расход в год составит 1440 тыс. руб., среднедневной расход равен 4 тыс. руб., норма запаса – 32 дня, следовательно, норматив запаса будет равен 20 тыс. руб. По статье комплектующие расход в год составит 10800 тыс. руб., норматив запаса равен 510 тыс. руб. по статье инструменты и запчасти расход в год составит 4320 тыс. руб., норматив запаса – 1104 тыс. руб. Таким образом, по всем видам запасов всего норматив составит 1742 тыс. руб.
Таблица 7
Расчет потребности в оборотных средствах
|
элемент оборотных средств |
стоимость, тыс. руб. |
|
запасы: |
1742 |
|
дебиторская задолженность (предоплата за аренду помещений) |
500+2*10=520 |
|
денежные средства: |
509 |
|
— ремонт помещений |
50+10*10=150 |
|
— рекламная компания |
20+25+10=55 |
|
— обучение и сертификация персонала |
(10+5)*20=300 |
|
— на непредвиденные расходы |
2*2=4 |
|
итого |
2771 |
Из данных таблицы 7 следует, что потребность в оборотных средствах составит 2771 тыс. руб., в частности это: запасы – 1742 тыс. руб., денежные средства – 509 тыс. руб.
2. Формирование баланса предприятия и определение источников финансирования инвестиций
Балансовый отчет иногда называют отчетом о финансовом состоянии предприятия. В нем представлена структура капитала предприятия. Баланс делится на две части: актив и пассив. В первой части отражаются состав и размещение финансовых средств или направления их использования; в пассиве — источники образования и финансирования. Итог актива баланса равен итогу его пассива.
Активы классифицируются по продолжительности их использования на оборотные и необоротные активы. Оборотные активы (или текущие) — краткосрочные активы, включающие оборотные средства: денежные средства, дебиторская задолженность, материально производственные запасы, срок использования которых один отчетный период. Необоротные активы — долгосрочные активы со сроком использования более одного года, включающие материальные и нематериальные активы. К материальным активам относятся основные средства. К нематериальным активам относятся: патенты, лицензии, авторские права, ноу-хау, затраты на НИОКР, деловая репутация предприятия, а также организационные расходы и пр. Долгосрочные инвестиции — финансовое вложение в ценные бумаги других фирм с целью получения доходов в виде процента на займы и долгосрочные кредиты или с целью распространения влияния инвестора на деятельность предприятия, акции которого он покупает. Пассив баланса дает стоимостную оценку средств предприятия на определенную дату по источникам их формирования, целевому назначению и срокам погашения. Заемный капитал отражается в пассиве баланса как задолженность по краткосрочным обязательствам (краткосрочные банковские ссуды и кредиты, векселя к оплате, авансы от покупателей, задолженность по зарплате, по дивидендам, налогам и т.д.) и долгосрочным обязательствам (долгосрочные ссуды и кредиты, задолженность по облигациям, ссуды под недвижимость, обязательства по пенсионным выплатам, отсроченные налоговые платежи и прочая долгосрочная задолженность). Собственный капитал включает статьи пассива баланса, отражающие средства, которыми предприятие само распоряжается. Собственный капитал подразделяется на вложенный капитал и накопленную прибыль. Вложенный капитал включает акционерный капитал, дополнительный оплаченный капитал, полученный от продажи новых выпущенных акций и резервный капитал, созданный с целью обеспечения защиты предприятия от возможных убытков.
Структура баланса ООО «Интеллект» представлена в таблице 8.
Таблица 8
Структура баланса предприятия
|
Актив |
Сумма, тыс. руб. |
Пассив |
Сумма, тыс. руб. |
|
|
1.Внеоборотные активы |
2000 |
3. Капитал и резервы |
2290 |
|
|
Нематериальные активы |
30 |
Уставный капитал |
2290 |
|
|
Основные средства |
Добавочный капитал |
|||
|
Незавершенное строительство |
Резервный капитал |
|||
|
Фонды специального назначения |
||||
|
Доходные вложения в материальные ценности |
||||
|
Целевое финансирование и поступления |
||||
|
Долгосрочные финансовые вложения |
||||
|
Прочие внеоборотные активы |
Нераспределенная прибыль |
|||
|
2. Оборотные активы |
2771 |
Непокрытый убыток |
||
|
Запасы |
1742 |
|||
|
Дебиторская задолженность |
520 |
|||
|
Краткосрочные финансовые вложения |
4.Долгосрочные обязательства |
2353 |
||
|
Денежные средства |
509 |
5. Краткосрочные обязательства |
128 |
|
|
Прочие оборотные активы |
||||
|
Баланс |
4771 |
Баланс |
4771 |
В нашем случае уставный капитал формируется за счет взносов 2 учредителей – первый дает основные фонды, второй деньги (2290 тыс. руб.)
Пример расчета потребности в заемном капитале:
Нематериальные активы – 30 тыс. руб.
Основные фонды – 1370 тыс. руб.
Оборотные средства – 2771 тыс. руб.
Итого активы создаваемого предприятия – 4771 тыс. руб.
Пассивы создаваемого предприятия = активам=4771 тыс. руб.
Уставный капитал – 2290 тыс. руб.
Кредиторская задолженность 4771-2290=2481 тыс. руб.
Так как закупка товаров осуществляется на условиях товарного кредита со сроком 1 месяц, то краткосрочная кредиторская задолженность составит 128 тыс. руб. Следовательно, в банке необходимо просить 2481-128=2353 тыс. руб.
3. Расчет экономической эффективности
Рассчитаем экономическую эффективность деятельности фирмы. Для этого необходимо понимать, что инвестиции представляют собой все виды вложения капитала в форме имущественных и интеллектуальных ценностей в экономические объекты с целью получения в будущем доходов и иных выгод. Под словами «Вложение капитала» понимают вложение средств в:
– Основные фонды предприятия (покупка оборудования, земли, строительство).
– Нематериальные активы (патенты, лицензии, товарные знаки).
– Долгосрочные финансовые вложения (вложения в другие предприятия – покупка акций, займы, в развитие дочерних фирм).
– Увеличение величины оборотного капитала (увеличение запасов, расходы на подготовку и освоение нового производства, увеличение дебиторской задолженности).
Вложение средств в увеличение величины оборотного капитала необходимо отличать от единовременных затрат, финансируемых из свободного остатка денежных средств без увеличения общей величины оборотного капитала. Эти затраты являются текущими затратами на производство.
Эффективность проекта характеризуется системой показателей, которые отражают соотношение между затратами и результатами, рассчитанными исходя из целей его участников. Различают «Эффект» и «Эффективность». Эффект – это производственный или социальный результат расходования ресурсов, полученный в течение определенного периода. Эффективность – это величина результата на единицу осуществленных затрат.
Существуют разные методы оценки эффективности инвестиций: статический, динамический (с учетом времени поступления доходов и расходов), сравнительный (на основе сравнения приведенных затрат).
В данном случае нам необходимо использование статического метода оценки. Его используют для грубой и быстрой оценки (без учета изменения стоимости денег во времени) на ранних стадиях разработки и выбора проектов. Определяют следующие показатели:
· Чистый доход
ЧД=ЧП-К
Где ЧП – чистая прибыль (net benefit) от реализации данного проекта за период эксплуатации проекта (если проект реализуется на действующем предприятии, то это прирост прибыли, связанный с данным проектом);
К – сумма капитальных вложений, инвестиций (investment).
· Индекс доходности (коэффициент benefit cost ratio) – количество рублей прибыли, полученное на 1 рубль вложенных инвестиций
ИД=ЧП/К,
· Срок окупаемости (pay back) т.е. число лет от момента получения первых доходов от продаж, необходимых для того, чтобы чистая прибыль сравнялась с величиной инвестиций
ИД=К/ЧПср.год
Где ЧПср.год = ЧП/Т – среднегодовая чистая прибыль (yеarly net benefit),
Т – число лет эксплуатации проекта.
Таблица 9
Расчет финансовых результатов
|
1 год |
2 год |
3-5 год |
|
|
Доход, тыс. руб. |
12000 |
13800 |
13800 |
|
Расход, тыс. руб. |
10274,4 |
11274,4 |
11500 |
|
Превышение доходов над расходами, тыс. руб. |
1725,6 |
2525,6 |
2300 |
|
ЕНВД, тыс. руб. |
258,8 |
378,8 |
345 |
|
Чистая прибыль, тыс. руб. |
1466,8 |
2146,8 |
1955 |
Фирма применяет упрощенную систему налогообложения, она платит единый налог на временный доход по ставке 15% от суммы превышения доходов над расходами. В расходы первого и второго года работы включаются проценты по кредиту (15+2)%*1614=274 тыс. руб.
ЧПср.год= (1466,8+2146,8+1955*3)/5=3341 тыс.руб. в год
Т = 5 лет
К = 3642 тыс. руб.
ЧД = 3341*5-3642=13063 тыс. руб.
ИД = 3341*5/3642= 4,6 руб./руб.
Ток = 3642/3341=1,1 года
Таким образом, по расчетам финансовых результатов деятельности фирмы можно сделать вывод, что среднегодовая чистая прибыль фирмы ООО «Интеллект» составит 3341 тыс. руб. Срок окупаемости фирмы при рассчитанных доходах от деятельности составит 1,1 год. Это говорит об эффективности проекта.
Задача 2
На основании приведенных в таблице исходных данных (В=2, Г=10) рассчитать результаты хозяйственной деятельности предприятия, осуществляющего изготовление ролл-штор и жалюзи на заказ. Предприятие имеет 1 производственный цех и некоторое количество приемных пунктов, где производят прием и выдачу заказов.
Для упрощения расчетов введены следующие условия:
— ценообразование и учет ведется в условных изделиях.
Используйте следующий план работы:
1. Составить смету затрат на производство.
2. Составить калькуляцию на 1 условное изделие.
3. Определить себестоимость технологическую, производственную, полную, сумму условно-постоянных и условно-переменных расходов.
4. Назначить цену за условное изделие исходя из планового уровня рентабельности. Для дальнейших расчетов округлить ее до целых рублей.
5. Рассчитать на основе установленной цены выручку, объем реализации, чистую прибыль, рентабельность продукции и расчетную.
6. Рассчитать показатели для планового года, в котором объем реализации будет больше на указанную величину. Цену оставить прежней, однако себестоимость продукции планового года пересчитать (Приложение 1).
1. Определение текущих расходов
Текущие затраты связаны с производством и реализацией продукции. Они занимают наибольший удельный вес во всех затратах предприятия и содержат затраты по использованию в процессе производства продукции сырья и материалов, основных производственных фондов, комплектующих изделий, топлива и энергии, оплате труда и т.д.
Текущие затраты возвращаются предприятию по завершении цикла производства и реализации продукции в составе выручки от реализации продукции.
Все затраты предприятия можно разделить на две категории:
— переменные (или пропорциональные) затраты возрастают или уменьшаются пропорционально объему производства. Это расходы на закупку сырья и материалов, потребление электроэнергии, транспортные издержки, торгово-комиссионные и другие расходы; они составляют постоянную величину в расчете на единицу продукции;
— постоянные (непропорциональные или фиксированные) затраты не зависят от динамики объема производства. К таким затратам относятся амортизационные отчисления, проценты за кредит, арендная плата, оплата коммунальных услуг, оклады управленческих работников, административные расходы и т.п.; уровень постоянных затрат в расчете на единицу продукции имеет тенденцию к относительному уменьшению с ростом объема производства, и наоборот.
На практике зависимость переменных затрат от реализации выражена не так жестко, поскольку, например, при увеличении закупок сырья его поставщики могут предоставлять скидки с цены, и тогда затраты на сырье растут медленнее объема производства. В то же время постоянные затраты не зависят от реализации лишь до тех пор, пока интересы дальнейшего ее наращивания не потребуют увеличения производственных мощностей, численности работников, а также роста аппарата управления.
Кроме того, некоторые виды расходов для одних предприятий являются переменными, а для других — постоянными затратами, например, затраты на оплату труда: при сдельной оплате — это переменные затраты, при твердом окладе — постоянные.
Изменяя соотношение между постоянными и переменными затратами в пределах возможностей предприятия, можно регулировать величину прибыли. Финансовый механизм управления прибылью предприятия за счет оптимизации соотношения постоянных и переменных издержек называется «операционным рычагом» («операционный леверидж»).
Пример: в данной задаче (приложение 2) переменная часть расходов совпадает с суммой прямых расходов и равна 9428,3 тыс.руб. Остальные 11584,1-9428,3=2155,9 тыс.руб. не зависят от количества изделий и являются условно-постоянными.
|
Условно-постоянные |
2319,2 тыс.руб. |
|
условно-переменные |
10049,3 тыс.руб. |
Общая сумма расходов при увеличении выпуска продукции на 11% составит 10049,3+10049,3*11%+2319,2=13474 тыс.руб.
2. Калькулирование себестоимости и определение цен на товары и услуги
Себестоимость продукции (работ, услуг)— стоимостная оценка используемых в процессе производства продукции природных ресурсов, сырья, материалов, топлива, энергии, основных фондов, трудовых ресурсов, а также других затрат на ее производство и реализацию. Затраты, входящие в себестоимость, по экономическому содержанию можно сгруппировать по следующим элементам:
1. материальные затраты (за вычетом стоимости возвратных отходов);
2. затраты на оплату труда;
3. отчисления на социальные нужды;
4. амортизация основных фондов;
5. прочие затраты.
Процесс ценообразования проходит через несколько этапов, среди которых: определение целей и задач ценообразования, оценка спроса и издержек, анализ цен и товаров конкурентов — после чего выбирается метод ценообразования и устанавливается окончательная цена.
Предприятие устанавливает исходную цену и затем корректирует ее с учетом различных факторов, действующих в рыночной среде.
Таблица 10
Калькуляция на условное изделие
|
Статьи калькуляции |
Годовая программа, т.р. |
Калькуляция на 1 усл.изд (руб) |
Пересчет себестоимости по плановому выпуску на 6600 шт |
|
сырье |
1260,0 |
210,0 |
1386,0 |
|
комплектующие |
4860,0 |
810,0 |
5346,0 |
|
основная зарплата |
1200,0 |
200,0 |
1320,0 |
|
дополнительная зарплата |
240,0 |
40,0 |
264,0 |
|
ЕСН |
374,4 |
62,4 |
411,8 |
|
обяз.страхование |
14,4 |
2,4 |
15,8 |
|
Итого прямых |
7948,8 |
1822,6 |
8743,7 |
|
РСЭО |
288,6 |
48,1 |
288,6 |
|
цеховые расходы |
538,6 |
89,8 |
538,6 |
|
управленческие расходы |
549,7 |
91,6 |
549,7 |
|
коммерческие расходы |
942,4 |
157,1 |
942,4 |
|
Итого косвенных |
2319,2 |
386,5 |
2319,2 |
|
Всего |
14165,5 |
2209,1 |
11062,9 |
Из данных таблицы 10 следует, что прямые затраты в год составят 7948,8 тыс. руб., прямые затраты на 1 усл. изделие составят 1822,6 руб., себестоимость по плановому выпуску на 6600 шт. составит 8743,7 тыс. руб. Косвенные затраты в год составят 2319,2 тыс. руб., косвенные затраты на 1 усл. изделие составят 386,5 руб., себестоимость по плановому выпуску на 6600 шт. будет равна 2319,2 тыс. руб.
Спрос определяет максимальную цену, которую предприятие может запросить за свой товар, а минимальная цена определяется издержками предприятия. Предприниматель стремится назначить на товар такую цену, чтобы она полностью покрывала все издержки по производства, распределению и сбыту, включая справедливую норму прибыли за приложенные усилия и риск.
Цена, устанавливаемая предприятием на производимый товар, помимо издержек производства и фактора спроса и предложения, зависит от платежеспособности населения, от ценовой политики и рыночной стратегии предприятия, от качества товара, дополнительных услуг и сервиса, от взаимозаменяемости товара и от его жизненного цикла.
На практике методика определения цены может быть с ориентацией:
— на издержки,
— на спрос,
— на конкуренцию.
При ориентации на издержки («издержки плюс прибыль») методика установления цены следующая: рассчитывается полная себестоимость единицы продукции и прибавляются установленные процентные отчисления.
Преимущество определения цены по методу «издержки плюс прибыль» состоит в том, что собственные издержки для предприятия значительно легче определить, чем спрос. Методика их исчисления более проста и доступна. Однако этот метод имеет и недостатки. Во-первых, калькуляция издержек может включать в себя произвольный размер накладных расходов, что делает основу цены недостаточно достоверной. Во-вторых, этот метод определения цены не учитывает спрос, а поэтому имеется опасность недополучения потенциальной прибыли.
При ценообразовании с ориентацией на спрос проблема заключается в том, что спрос значительно труднее выразить в количественных показателях, чем издержки. Это объясняется, в частности, тем, что на спрос оказывают влияние многие факторы. Предприятию следует получить информацию хотя бы о предыдущем движении спроса, чем не иметь ничего, тем более, если она подкрепляется сравнительно точным знанием об издержках предприятия, о влиянии факторов окружающей среды на спрос. В этом случае появляется возможность составить калькуляцию цены достаточно обоснованно.
Оценка спроса на новый товар — дело довольно сложное, так как нет данных за предшествующие годы, необходимых для расчета. Однако предприятие может изучить спрос на аналогичные или подобные товары. Для этого используются следующие приемы оценки спроса: эксперимент, прямое интервью, статистические заключения.
При ценообразовании с ориентацией на конкуренцию (закрытые торги) поставщики приглашаются к участию в торгах на поставку определенных видов товаров. Их предложения (тендеры) представляются к определенному сроку в опечатанном конверте. Эти конверты вскрываются публично, и предложение с наименьшей ценой принимается. Поскольку в этом случае отсутствует возможность последующего внесения изменений в цену, то решение о назначении цены основывается на собственных затратах и на анализе возможных предложений конкурентов.
Проблема состоит в том, что хотя предложение с низкой ценой и может выиграть торги, но при этом имеется риск упустить потенциальную прибыль. При этом предложение с высокой ценой может проиграть торги, что ведет к потерям, связанным с подготовкой к участию в торгах.
Необходимо постоянное взаимодействие финансовой и маркетинговой служб в процессе определения цен на продукцию и услуги.
Дело в том, что маркетологи обычно начинают процесс формирования цен с цен для конечных потребителей и затем двигаются назад, чтобы определить цены для участников каналов товародвижения, приемлемые издержки производства и прибыль.
Финансисты же начинают определение цены с издержек, добавляют к ним желаемую прибыль и получают продажную цену. Поэтому руководство предприятия должно добиваться принятия согласованных решений по ценам, что позволит сделать их оптимальными.
Таблица 11
Определение цены условной услуги
|
Показатель |
Значение, руб. |
|
полная себестоимость |
2209,1 |
|
рентабельность |
27% |
|
прибыль |
596,5 |
|
оптовая цена |
2805,6 |
|
оптовая цена (округленная) |
2506,0 |
|
НДС |
451,1 |
|
отпускная цена |
2957,1 |
|
Расчет цены по плановой себестоимости с уровнем рентабельности базисного года |
|
|
полная себестоимость |
1676,2 |
|
рентабельность |
27% |
|
прибыль |
452,6 |
|
оптовая цена |
2128,8 |
|
оптовая цена (округленная) |
2129,0 |
|
НДС |
383,2 |
|
отпускная цена |
2512,2 |
Из данных таблицы 11 следует, что отпускная цена составит 2957,1 руб., перерасчет отпускной цены по плановой себестоимости с уровнем рентабельности базисного года составит 2512,2 руб., что на 444,9 руб. ниже.
3. Определение доходов предприятия и финансовых результатов его деятельности
Финансовые ресурсы образуются за счет целого ряда источников. По форме права собственности различаются две группы источников: собственные денежные средства и чужие. Источниками финансовых ресурсов являются: прибыль; амортизационные отчисления; средства, полученные от продажи ценных бумаг; паевые и иные взносы юридических и физических лиц; кредит и займы; средства от реализации залогового свидетельства, страхового полиса и другие поступления денежных средств (пожертвования, благотворительные взносы и т. п.).
Система прибылей и доходов состоит из прибыли от реализации продукции, прибыли от прочей реализации, доходов по внереализационным операциям (за вычетом доходов по этим операциям), балансовой (валовой) прибыли, чистой прибыли. Кроме того, прибыль делится на облагаемую налогом и не облагаемую налогом. Прибыль от реализации продукции (товаров, работ, услуг) представляет собой разницу между выручкой от реализации продукции без налога на добавленную стоимость, акцизов, экспортных тарифов (для экспортной выручки) и затратами на производство и реализацию, включаемыми в себестоимость продукции.
Прибыль от прочей реализации — это прибыль, полученная от реализации основных фондов и другого имущества хозяйствующего субъекта, отходов, нематериальных активов и т.п. Прибыль от прочей реализации определяется как разница между выручкой от реализации и затратами на эту реализацию.
Балансовая прибыль представляет собой сумму прибылей от реализации продукции, от прочей реализации и доходов по внереализационным операциям за вычетом расходов по ним.
Таблица 12
Определение финансовых результатов
|
Показатель |
Базовый год |
Плановый год |
|
количество, усл.ед. |
6000 |
6600 |
|
выручка-брутто |
17742,5 |
19516,7 |
|
НДС |
2706,5 |
2977,1 |
|
объем реализации |
15036,0 |
16539,6 |
|
себестоимость без управленческих и коммерческих расходов |
8776,0 |
9570,8 |
|
валовая прибыль |
6260,0 |
6968,8 |
|
управленческие расходы |
549,7 |
549,7 |
|
коммерческие расходы |
942,4 |
942,4 |
|
прибыль от реализации |
4768,0 |
5476,7 |
|
прочие расходы, в т.ч. |
94,6 |
100,0 |
|
налог на имущество-2% |
16,4 |
16,4 |
|
транспортный налог-1% |
1,0 |
1,0 |
|
услуги банка |
77,2 |
82,6 |
|
балансовая прибыль |
4673,3 |
5376,7 |
|
налог на прибыль |
1121,6 |
1290,4 |
|
чистая прибыль |
3551,7 |
4086,3 |
|
рентабельность продукции |
34,6 |
36,9 |
|
рентабельность продаж |
20,0 |
20,9 |
|
рентабельность затрат |
46,4 |
49,5 |
Из данных таблицы 12 следует, что в плановом году предполагается изготовить 6600 шт. ролл-штор и жалюзи, это на 600 шт. больше базового года. В связи с этим, при неизменной отпускной цене 2957,1 руб. за 1 ед. изделия, выручка в плановом году увеличится на 1774,2 тыс. руб. или на 9,9 %. В новом году планируется реализовать продукции на 16539,6 тыс. руб. Показатель валовой прибыли рассчитали как разницу между объемом реализации и себестоимостью без управленческих и коммерческих расходов и составляет 6260,0 тыс. руб. в базовом году, что меньше на 708,8 тыс. руб. планового года. Необходимо отметить, что в результате увеличения выручки увеличиваются:
· расходы кассового обслуживания банка на 5,4 тыс. руб.
· налог на прибыль на 168,4 тыс. руб.
После всех расчетов, видно, что балансовая прибыль составляет 4673,3 тыс. руб. в плановом году и 5376,7 тыс. руб. в отчетном (увеличение на 703,4 тыс. руб. или на 15,0%). Таким образом, результаты хозяйственной деятельности предприятия, изготавливающего ролл-шторы и жалюзи положительно.
Приложение 1
Исходные данные для решения задачи 2
|
Количество приемных пунктов |
2 |
|||
|
Балансовая стоимость оборудования цеха |
400 |
т.р. |
||
|
Балансовая стоимость оборудования 1 премного пункта |
210 |
т.р. |
||
|
всех |
420 |
т.р. |
||
|
Норма амортизации |
12% |
|||
|
План на текущий год |
6000 |
шт |
||
|
Нормы расхода на 1 усл.изделие (шт.) |
||||
|
материалы |
210 |
руб. |
1260 |
т.р. |
|
комплектующие |
810 |
руб. |
4860 |
т.р. |
|
з/пл основная |
200 |
руб. |
1200 |
т.р. |
|
з/пл дополнительная |
20% |
|||
|
40 |
руб. |
240 |
т.р. |
|
|
итого |
1260 |
руб. |
||
|
итого весь выпуск |
7560000 |
руб. |
7560 |
т.р. |
|
Затраты на содержание 1 приемного пункта |
мес |
год |
||
|
аренда помещения |
7 |
т.р. |
84 |
т.р. |
|
з/п приемщицы |
4 |
т.р. |
48 |
т.р. |
|
коммунальные платежи |
3 |
т.р. |
36 |
т.р. |
|
освещение |
0,210 |
т.р. |
2,52 |
т.р. |
|
расходы на ремонт |
2,67 |
т.р. |
32 |
т.р. |
|
итого |
16,9 |
т.р. |
202,6 |
т.р. |
|
итого 2 пункта |
33,8 |
т.р. |
405,1 |
т.р. |
|
Затраты на содержание оборудования |
мес |
год |
||
|
з/пл ремонтника |
5 |
т.р. |
60 |
т.р. |
|
з/части |
9,17 |
т.р. |
110,0 |
т.р. |
|
вспомонательные материалы |
6 |
т.р. |
72,0 |
т.р. |
|
итого |
20,2 |
т.р. |
242,0 |
т.р. |
|
Затраты на содержание цеха |
мес |
год |
||
|
аренда |
20 |
т.р. |
240 |
т.р. |
|
коммунальные платежи |
2,2 |
т.р. |
26,4 |
т.р. |
|
электроэнергия |
0,9 |
т.р. |
10,8 |
т.р. |
|
1 |
2 |
3 |
4 |
5 |
|
з/пл мастера |
14 |
т.р. |
168 |
т.р. |
|
итого |
37,1 |
т.р. |
445,2 |
т.р. |
|
Затраты на управление |
мес |
год |
||
|
з/пл директора |
7 |
т.р. |
84 |
т.р. |
|
з/пл бухгалтера |
6 |
т.р. |
72 |
т.р. |
|
з/пл уборщицы |
3 |
т.р. |
36 |
т.р. |
|
услуги связи |
2,2 |
т.р. |
26,4 |
т.р. |
|
командировочные расходы |
0,34 |
т.р. |
4,08 |
т.р. |
|
содержание автомобиля |
3,34 |
т.р. |
40,08 |
т.р. |
|
бензин |
12 |
т.р. |
144 |
т.р. |
|
итого |
33,9 |
т.р. |
406,6 |
т.р. |
|
Затраты на реализацию |
мес |
год |
||
|
реклама |
1,42 |
т.р. |
17,04 |
т.р. |
|
участие в выставках |
1,08 |
т.р. |
13,0 |
т.р. |
|
итого |
2,5 |
т.р. |
30,0 |
т.р. |
|
Услуги банка (за год) |
||||
|
расчетно-кассовое обслуживание |
24 |
т.р. |
||
|
инкассация |
0,3 |
% |
||
|
Налоги (за год) |
||||
|
НДС |
18 |
% |
||
|
ЕСН |
26 |
% |
||
|
обязательное страхование |
1 |
% |
||
|
налог на прибыль |
24 |
% |
||
|
налог на имущество |
2 |
% |
||
|
транспортный налог |
1 |
т.р. |
||
|
Плановая рентабельность продукции |
27 |
% |
||
|
Плановый прирост выручка продукции |
11 |
% |
||
Приложение 2
Распределение затрат по элементам
|
Элементы затрат |
Прямые расходы |
РСЭО (расходы на содержание и эксплуатацию оборудования) |
Цеховые расходы (содержание цеха) |
Управленческие расходы |
Коммерческие расходы (содержание приемных пунктов и затраты на реализацию) |
ИТОГО |
|
1. материальные |
6120,0 |
182,0 |
10,8 |
144,0 |
10,1 |
6466,9 |
|
в т.ч. |
||||||
|
материалы |
1260,0 |
72,0 |
1332,0 |
|||
|
комплектующие |
4860,0 |
4860,0 |
||||
|
запчасти |
110,0 |
110,0 |
||||
|
топливо |
144,0 |
144,0 |
||||
|
электроэнергия |
10,8 |
10,1 |
20,9 |
|||
|
2. оплата труда |
3929,3 |
106,6 |
213,4 |
335,2 |
243,8 |
4828,3 |
|
в т.ч. |
||||||
|
основная зарплата |
1200,0 |
60,0 |
168,0 |
192,0 |
192,0 |
1812,0 |
|
дополнительная |
240,0 |
240,0 |
||||
|
ЕСН-26% |
374,4 |
15,6 |
43,7 |
49,9 |
49,9 |
533,5 |
|
обяз.страхование-1% |
14,4 |
0,6 |
1,7 |
1,9 |
1,9 |
20,5 |
|
3. амортизация |
48,0 |
50,4 |
98,4 |
|||
|
норма 20% |
||||||
|
4. прочие |
266,4 |
70,5 |
638,0 |
974,9 |
||
|
в т.ч. |
||||||
|
аренда |
240,0 |
336,0 |
576,0 |
|||
|
коммунальные |
26,4 |
144,0 |
170,4 |
|||
|
реклама |
17,0 |
17,0 |
||||
|
ремонт |
128,0 |
128,0 |
||||
|
остальное |
70,5 |
13,0 |
83,5 |
|||
|
ИТОГО |
10049,3 |
288,6 |
538,6 |
549,7 |
942,4 |
12368,5 |
Теги:
Внутрифирменное планирование на предприятии
Курсовая работа (теория)
Менеджмент
Бизнес-план как особая форма планирования на предприятии
Министерство
образования Нижегородской области
ГБОУ
СПО «Перевозский строительный колледж»
Курсовая
работа
Тема:
«Бизнес-план как особая форма планирования на предприятии»
Исполнитель:
Цветкова Т.А.
Руководитель:
Копнина И.Н.
г.
Перевоз, 2014г.
Введение
Планирование — это построение плана, способа
будущих действий, определение экономического содержания и последовательных
шагов, ведущих к намеченной цели.
При переходе России к рыночным отношениям от
планирования практически отказались. Но планирование является главной функцией
управления любым предприятием. Именно с него начинается как создание, так и
функционирование хозяйствующего субъекта. Об этом свидетельствует и опыт стран
с развитой рыночной экономикой.
План является руководством к действию, к
исполнению. Он используется для обоснования финансового оздоровления
предприятия и реальности возврата полученных кредитов с целью пополнения
оборотных средств. Причем план необходим не только крупным и средним, но и
малым предприятиям.
Таким образом, планирование — это процесс
обработки информации по обоснованию предстоящих действий, определение наилучших
способов достижения целей. Планировать свое предпринимательство необходимо.
Часто бывает, что технологически предпринимательство просчитывается безупречно,
однако экономические расчеты не выполняются, что и приводит к неудачам в
предпринимательстве. Необходимо заранее составить план экономической
деятельности предприятия. Важно экономически грамотно разработать план закупки
сырья, материалов, топлива, комплектующих деталей и полуфабрикатов. От этого
зависят эффективность производства, размер налога на добавленную стоимость,
оборачиваемость оборотных средств, рентабельность производства. Непродуманная
политика закупок ведет к переплате НДС, неэффективному использованию оборотных
средств. Неправильно спланированные реальные затраты на производство и
реализацию продукции приводят к банкротству хозяйствующего субъекта.
1. Бизнес-планы как особая форма планирования на
предприятии
Бизнес-план может быть подготовлен менеджером,
предпринимателем, фирмой, группой фирм. Если у менеджера возникла идея освоить
изготовление нового продукта, оказать новую услугу или просто новый метод
организации и управления производством , он предлагает свою идею для бизнес-плана.
Если он собирается реализовывать свою концепцию самостоятельно (как
самостоятельный предприниматель или на основании собственной ответственности),
он создает свой бизнес-план. Для разработки стратегии развития крупной фирмы
составляет развернутый бизнес-план. Нередко уже на стадии подготовки
бизнес-плана определяет партнер.
Фирмы, работающие в стабильной ситуации и
производящие продукт для достаточно устойчивого рынка при росте объемов
производства, разрабатывают бизнес-план, направленный на совершенствование
производства и поиск путей снижения его издержек. Однако все эти фирмы
постоянно просматривают мероприятия по модернизации производимой ими продукции
(услуг). Фирмы, выпускающие продукцию при постоянном риске, прежде всего
систематически работают над освоением новых видов продукции, переходом на новые
поколения изделий и т. д. Если фирма, не наметив значительный рост производства
вновь осваиваемых или традиционных продуктов, не имеет достаточно собственных
мощностей для их производства, то она может пойти либо путем привлечения
капитальных вложений для создания новых мощностей, либо путем поиска партнеров,
которым она передает изготовление определенных узлов, деталей, выполнение
технологических процессов. Второй путь, как правило, обеспечивает ускоренное
решение задач и требует меньших средств. В этом случае уже на стадии разработки
бизнес-плана определяются требования к будущему производству.
Кроме авторов концепций, заложенных в
бизнес-плане, в его создании активное участие принимают финансисты, знающие
особенности кредитного рынка, наличия свободных капиталов, риска данного
бизнеса. Основу группы специалистов по разработке бизнес-плана составляют
экономисты, статистики, системщики.
Бизнес-план оценивает перспективную ситуацию как
внутри фирмы, так и вне ее. Он необходим руководству фирмы для ориентации в
условиях акционерной собственности и, в определенной мере, при создании
обществ. Именно при помощи бизнес-плана руководство фирмы принимает решение,
какая часть прибыли остается в деле для накопления, а какая — распределяется в
форме дивидендов между акционерами. Бизнес-план используется при обосновании
мероприятий по совершенствованию и развитию организационно-производственной
структуры фирмы, в частности для обоснования уровня централизации и
ответственности.
Следует отметить, что бизнес-план активно
помогает координировать деятельность партнерских фирм, организовывать
совместное планирование развития групп фирм, связанных кооперированием и
изготовлением одного или взаимодополняющих продуктов. Либо изменение готового
продукта определяет необходимость развития производства у фирм-партнеров,
изготавливающих в порядке кооперирования узлы, детали, выполняющих части
технологического процесса. Либо обоснования изменения отдельного элемента
готового продукта, обеспечивающее повышение его ресурса, определяет
необходимость соответствующего изменения операций по производству финального
(конечного) продукта. В любом случае фирмы-участники одного процесса, как
правило, осуществляют общее финансирование.
Как следует из характеристики сущности
планирования, продукт этой деятельности — план — является, как правило, и
достаточно объективной оценкой собственной предпринимательской деятельности
фирмы, и необходимым инструментом принятия проектно-инвестиционных решений,
связанных с взаимодействием фирмы с внешней средой.
Соответствовать таким задачам может только
целевой, программный документ, представляющий собой систему расчетов,
технико-экономических обоснований, совокупность экономических показателей,
описание мер и действий, посвященных реализации основной цели
предпринимательской деятельности — получение максимальной прибыли от нее. Такой
системный документ, структурированный по определенным разделам, получил
название бизнес-плана.
Среди тех функций, которые выполняет этот
плановый документ, можно выделить следующие:
обоснование стратегии и тактики хозяйственного
поведения, что особенно необходимо вновь создаваемым предприятиям, а также
действующим предприятиям при разработке ими новых направлений деятельности;
планирование и прогнозирование результатов
деятельности в традиционном для отечественной экономики понимании (как
разработка возможно более полной программы деятельности) и определение целей
развития в части реализации индикативных методов планирования, планов развития
бизнеса;
привлечение инвесторов, что особенно важно для
дорогостоящих широкомасштабных, фундаментальных проектов;
расширение круга предприятий-партнеров,
совместно реализующих разработанный проект, либо расширение самого проекта.
Разрабатываемый как документ, имеющий целью
обоснование деятельности предприятия, различных нововведений в ней, и
составленный не по приказу сверху, бизнес-план не имеет строгой регламентации
ни по объему информации, в нем представленной, ни по самой структуре документа.
Тем не менее, вне зависимости от его фактической направленности, бизнес-план,
безусловно, должен включать в себя информацию следующего содержания: цели
бизнес-плана; характеристика сути предлагаемого проекта; описание предприятия;
описание продукции и услуг; оценка возможностей предприятия — производственных,
материальных, финансовых, трудовых; учет внешних факторов (оценка рынка сбыта,
уровня цен и др.); потребность в материально-технической и финансовой поддержке
извне; систему управления производственно-хозяйственной деятельностью и
контроля за ее функционированием.
Главная целевая направленность и отличительные
черты бизнес-плана могут быть различными в зависимости от тех внешних условий и
характеристик рынка, в которых находится данное предприятие (данная сфера
бизнеса).
Принципиально важным с точки зрения полноты
охвата проблем и последовательности их решения является вопрос о структуре
всего планового документа и внутренней структуре его разделов.
Структура бизнес-планов в целом, так же как и
внутренняя структура отдельных их разделов, в основном однотипна как для
отечественных, так и для зарубежных разработок в этой отрасли знаний. Зачастую
структура их различается лишь по расположению разделов и форме их
представления.
Наиболее распространенные на предприятиях формы
бизнес-планов, как правило, содержат в себе:
титульный лист;
резюме;
меморандум конфиденциальности;
описание предприятия и отрасли;
анализ ранка сбыта;
существо предлагаемого проекта, описание
продукции, работ, услуг;
стратегию маркетинга;
инвестиционный план;
производственный план;
организационный план;
финансовый план;
стратегию финансирования;
оценку, анализ рисков и страхование;
выводы;
предложения.
Как любой другой документ, бизнес-план
начинается с титульного листа, на котором отражены все исходные реквизиты
предлагаемого проекта название и адрес фирмы — инициатора проекта, фамилии,
имена его авторов, наименование и суть проекта, время и место его разработка.
Эти реквизиты важны прежде всего не для самого предприятия (предпринимателя),
собирающегося реализовать проект, а для других возможных участников его
реализации — кредитных организаций, банков, инвесторов, потенциальных
партнеров. Именно их для первоначального знакомства с проектом будут
интересовать, прежде всего, и название предприятия (может, уже со сложившейся
репутацией), и суть, и стоимость предполагаемого проекта.
В отдельных случаях, по желанию разработчика
бизнес-плана, составляется либо так называемая вводная часть, либо резюме. Суть
этой части бизнес-плана состоит, вне зависимости от ее формы, в том, чтобы в
сжатом виде, убедительно и четко информировать заинтересованные лица об
основных положениях предлагаемого коммерческого проекта. При этом, конечно,
необходимо определить: цель составления бизнес-плана; сферу будущей
деятельности; за счет каких ресурсов она будет осуществляться; чем будущий
продукт (или услуга) будет выгодно отличаться от аналогичной продукции
конкурентов; каковы основные финансовые результаты с возможным расчетом размера
продаж, выручки от реализации, затрат на производство и реализацию, прибыли,
срока окупаемости затрат участников проекта. Не менее важны в резюме общие
сведения об управленческом персонале, его доле в капитале предприятия, оценка
факторов риска проекта, гарантии по возврату возможных кредитов и др.
Учитывая, что именно резюме по определению
должно сформировать возможную однозначную оценку проекта, его содержание и
строение должны быть простыми, без применения специальных терминов, характерных
для данной сферы деятельности.
1.1 Типы бизнес-планов
Вопросы организации производственного
планирования на предприятии в условиях как плановой, так и рыночной экономики
фактически одни и те же, изучались всегда, и прежде всего крупными
предприятиями. На таких предприятиях без планирования работы производственных
подразделений обойтись нельзя в принципе. Например, на лучших крупных
предприятиях за рубежом производственные запасы в основных производственных
цехах рассчитаны на 4-10 часов работы, т. е. вся цепочка цехов работает «с
колес». Наличие минимальных запасов на предприятии предполагает, что
производственное планирование должно быть исключительно четким.
В нашей стране, особенно в 1992-1995 гг., было
столько критики плановой системы управления производством, что предприятия,
даже крупные, фактически низвели производственное планирование до уровня сбора
оперативных данных о результатах работы производственных подразделений и
предприятия в целом. Фактически перестал разрабатываться
Такой документ текущего технико-экономического
планирования, как техпромфинплан (план технического, промышленного, финансового
развития предприятия). Часто российские предприниматели утверждают, что в своей
работе не используют такой инструмент управления производством, как
производственное планирование, не разрабатывают производственный бизнес-план
предприятия, но процветают. Особенно это характерно для предприятий сферы
обслуживания. Однако достигается это за счет обмана потребителей услуг, готовой
продукции, резкого снижения их качества, а также неуплаты налогов. Фирмы в
странах с развитой экономикой изучали опыт производственного планирования в
СССР и с учетом его разрабатывали рекомендации по содержанию производственного
планирования на своих предприятиях.
В условиях плановой экономики была низкая
ответственность за качество планирования. Министерства и ведомства за счет
своих резервов не доводили свои предприятия до банкротства.
Теперь предприятия получили полную
самостоятельность, а вместе с ней пришла и ответственность за планирование
своей деятельности. Директивы и руководящие указания дают уже не министерства и
ведомства, а рынок и конкуренция. От качества планирования зависит
конкурентоспособность и выживаемость предприятия.
Определение и обоснование конечной цели
производства и локальных целей, разработка программ их реализации составляют
сущность важнейших функций бизнес-планирования на предприятии.
Содержанием бизнес-плана предприятия является
анализ общего состояния дел на момент разработки плана и определение методов,
способов и средств для достижения того уровня показателей, которых предприятие
решило достигнуть. Деятельность без бизнес-плана — это ответная реакция на
совершающиеся события. Работа по плану — это возможность предвидеть, а при
необходимости — предупредить характер и содержание приближающихся событий.
Бизнес-план — это качественно новый уровень
хозяйственной деятельности предприятия, мощный инструмент, с помощью которого
можно контролировать и управлять производством. Бизнес-план — это документ,
представляющий собой результат комплексного исследования всех сторон
производственной и коммерческой деятельности предприятия.
Любое предприятие, фирма, предприниматель всегда
должны вести свою деятельность по заранее разработанной программе, т. е. на
основе бизнес-плана.
В практике планирования выделяют несколько типов
бизнес-планов, в зависимости от круга задач, которые должно решать предприятие.
Можно выделить следующие типы бизнес-планов:
) производственный (внутренний) бизнес-план,
который необходим для планирования и прогнозирования деятельности предприятия;
для определения целей развития в предстоящем плановом периоде для решения
проблем, с которыми предприятие сталкивается при реализации своих целей, и
определения путей их преодоления с наименьшими затратами. Производственный
бизнес-план позволяет убедиться, что все тщательно спланировано и целесообразно
с точки зрения финансового, материального обеспечения, а также и трудовых
отношений с учетом прошлой деятельности, с учетом конъюнктуры рынка;
) инвестиционный бизнес-план, который является
инструментом для привлечения инвесторов. Он предусматривает строительство
(освоение инвестиций), изменение технологии, все то, что связано с такой
экономической категорией, как инвестиции (капитальные вложения). В
инвестиционном плане должны быть максимально учтены главные интересы кредиторов
— обеспечение возвратности кредита и своевременная уплата процентов за
пользование им. Многие банки, инвестиционные структуры разработали
соответствующие стандарты, формы инвестиционных бизнес-планов;
) бизнес-план финансового оздоровления, который
составляется предприятием, находящимся в состоянии неплатежеспособности, и
предполагает финансовое оздоровление предприятия обычно в период наблюдения или
внешнего управления предприятия обычно в период наблюдения или внешнего управления
его имуществом. Этот бизнес-план проходит достаточно длительный и сложный
период согласования с кредиторами, с собственниками неплатежеспособного
предприятия. Порядок согласования, структура бизнес-плана и методика его
составления разработаны и утверждены Федеральным управлением по делам о
несостоятельности (банкротстве) предприятий;
) бизнес-план для получения кредитов с целью
пополнения оборотных средств предприятия или для реализации широкомасштабных
проектов развития действующего производства.
Успехи производственно-хозяйственной
деятельности предприятия во многом определяются качеством производственного
бизнес-планирования, которое включает определения перспективных целей, способов
их достижения и ресурсного обеспечения. Каждое предприятие должно решить три
задачи: «что», «как» и «для кого». Производственное бизнес-планирование — это
процесс разработки и последующего контроля за ходом реализации плана создания,
развития и функционирования предприятия.
Производственное бизнес-планирование выступает как
заранее разработанная система мероприятий, предусматривающая цели, содержание,
сбалансированное взаимодействие ресурсов и объема работ, а также методы,
последовательность и сроки выполнения работ по производству и реализации той
или иной продукции или оказанию услуг. Производственное бизнес-планирование
дает также основу для принятия решения. Знание того, чего предприятие желает
достичь, помогает уточнить наиболее подходящие пути действий. Производственное
бизнес-планирование основывается на комплексном анализе результатов
деятельности предприятия за предыдущие временные периоды и направлено на
эффективное использование материальных, трудовых, финансовых и других ресурсов
предприятия.
Некоторые предприятия, особенно вновь
образованные фирмы, могут достичь определенного успеха, не затрачивая большого
труда на формальное планирование. Они считают внутрихозяйственное планирование
ненужным, ибо и так получают большую прибыль, имеют высокий уровень
рентабельности в результате сложившейся для них благоприятной ситуации. Однако
это временный успех, часто не зависящий от результатов их
производственно-хозяйственной деятельности, может быстро пройти.
Производственное бизнес-планирование способно создать ряд важных, долговременно
действующих благоприятных факторов для предприятия, прежде всего оно помогает
снизить риск при принятии решения.
Чтобы эффективно конкурировать в рыночной
экономике, предприятие должно постоянно заниматься сбором и анализом огромного
количества информации об отрасли, конкуренции и учитывать все это при
разработке производственного бизнес-плана, повышая тем самым реальность
достижения поставленных целей.
В производственном бизнес-планировании большое
значение имеют как исходный уровень, имеющаяся база, сложившиеся тенденции
развития, так и активный поиск альтернативных решений, выбор лучшего из них и
определение на этой основе общих тенденций развития, формирования механизма их
реализации.
Можно сделать вывод, что производственное
бизнес-планирование учитывает как внутренние, так и внешние факторы,
обеспечивающие благоприятные условия для нормального функционирования и
развития предприятия.
.2 Этапы разработки производственного
бизнес-плана
Конкретный набор разделов бизнес плана
определяется прежде всего масштабами производства на предприятии и числом сфер
его деятельности. Однако независимо от этих критериев ПБП должен включать в
себя: цели составления, характеристику предприятия, учет внутренних и внешних
рыночных факторов, потребности в трудовых материально-технических и финансовых
ресурсах.
Особенность производственного бизнес-плана в
том, что это продукт внутренней планово-управленческой деятельности руководства
предприятия, специальный инструмент менеджмента, используемый в рыночной
экономике на предприятиях любой формы собственности, любой сферы деятельности,
любых масштабов производства. Отличаться бизнес-планы могут принципами
детализации их отдельных разделов.
При разработке производственного бизнес-плана
надо учитывать, что это всегда интеграционный процесс, предусматривающий
внесение изменений на основе новой информации и применение различных вариантов
производственно-хозяйственной деятельности. В то же время отсутствуют
определенная твердая логика структуры бизнес-плана и общепринятые принципы
разработки его конкретных разделов, самостоятельных планов.
Условно разработку производственного
бизнес-плана можно разбить на два этапа: первый — разработка проекта ПБП,
второй — уточнение ПБП и его утверждение. Следует отметить, что завершение
второго этапа не является окончанием работ над этим документом
технико-экономического планирования. В течение всего планового периода в ПБП
вносятся дополнения, уточнения, изменения в связи с прекращением или изменением
направления действия как внутренних, так и внешних факторов окружающей
экономической сферы. Таким образом идет постоянная корректировка разделов,
показателей бизнес-плана.
Первый этап разработки производственного
бизнес-плана, в идеальном варианте, начинается на предприятии в октябре-ноябре
с подведения итогов работы за 9 месяцев текущего года и определения возможных
итогов рвботы за год, что является базой для последующего управленческого
анализа. В ходе анализа итогов работы дается характеристика рынка и сферы
деятельности предприятия, определяются возможность добиться успеха на этом
рынке, затраты в связи с выходом на новый рынок и возможные риски.
Анализируются прежде всего 4 позиции: рынок, тенденции, политико-правовые
позиции, конкуренты.
Принципиально важно то, что будущий успех ПБП
возможен только на основе анализа соответствующей экономической ситуации на
рынке данных товаров. Должны быть доказательства того, что спрос на товар или
услугу определенного вида либо еще не удовлетворен конкурентами, либо
удовлетворен, но с худшим качеством, и так далее. Иными словами, необходимо
определить, существует ли на рынке данного товара та ниша, которую собирается
занять предприятие, иными словами, существует ли возможность внедрения на рынок
с учетом уже действующих на нем предприятий (фирм).
На этапе разработки проекта ПБП определяются те
основные технические, организационные изменения на производстве, которые должны
произойти в плановом периоде. В первую очередь разрабатывается план
технического развития и совершенствования организации производства на
предприятии (на малых и средних предприятиях он называется «планом
оргтехмероприятий).
С учетом разработанного плана оргтехмероприятий
уточняются нормы и нормативы, которые будут действовать в предстоящем плановом
периоде.
Важным содержанием работы первого этапа
разработки ПБП является определение потенциальных поставщиков
материально-сырьевых и топливно-энергетических ресурсов и определение
потенциальных потребителей готовой продукции, работ и услуг предприятия, а если
планируется расширение или техническое перевооружение производства, то
определяются потенциальные инвесторы. На основании вышеперечисленных исходных
данных разрабатывается проект производственного бизнес-плана предприятия.
Второй этап разработки ПБП (в идеальном
варианте) начинается в декабре текущего года, когда уже заключены договоры на
поставку материальных топливно-энергетических ресурсов, готовой продукции, на
выполнение работ, оказание услуг во время работы выставок, ярмарок, а также в
результате постоянных прямых связей с предприятием одной технологической
цепочки. Однако часто это недостижимо к указанному сроку. На втором этапе
уточняются разделы и показатели проекта ПБП, принимаются окончательные
оптимальные варианты производственно-хозяйственной деятельности и бизнес-план
утверждается руководством предприятия (фирмы).
Производственный бизнес-план предприятия не
представляется ни в какую финансово-налоговую службу соответствующей территории
для контроля. ПБП представляет собой важнейшую коммерческую тайну. Руководство
предприятия должно определить порядок, систему защиты тех сведений, которые
содержаться в этом документе. На основе утвержденного можно разработать
рекламный ПБП, который не содержал бы коммерческой тайны, технологических
секретов, коммерческих сделок предприятия, с целью представления его
потенциальному инвестору. Если потенциальный инвестор проявит интерес к планам
предприятия, рекламный ПБП можно дополнить необходимой ему
производственно-хозяйственной информацией, при этом все же соблюдая принцип
коммерческой тайны.
Производственный бизнес-план в наиболее
развернутом виде может включать следующие разделы:
· План маркетинга и объем продаж;
· План технического развития и
совершенствования организации производства;
· Технико-экономические нормы и
нормативы;
· План материально-технического
обеспечения производства;
· Труд и трудовые доходы работников;
· План капитальных вложений
(инвестиций);
· Финансовый план: расчет
себестоимости, расчет прибыли;
· Риски предприятия;
· План социального развития
коллектива;
· Юридический план;
· План внешнеэкономической
деятельности;
эффективность оборотный стратегический оценка
2. Практическая часть
.1 Расчеты основных показателей предприятия за
2011-2013 года
|
№ |
Показатели |
Ед. |
Года |
Отклонения |
темп |
|||||||||||||
|
2011 |
2012 |
2013 |
2012 |
2013 |
2012 |
2013 |
||||||||||||
|
2011 |
2012 |
|||||||||||||||||
|
• |
Объем |
тыс. |
18540 |
19980 |
19440 |
1440 |
-540 |
107,76 |
97,29 |
|||||||||
|
• |
Среднесписочная |
чел. |
132 |
134 |
130 |
2 |
-4 |
101,51 |
97,01 |
|||||||||
|
• |
Среднегодовая |
тыс. |
140,45 |
149,10 |
149,53 |
8,7 |
0,43 |
106.15 |
||||||||||
|
• |
Фонд |
тыс. |
11405 |
13025 |
12480 |
1620 |
-545 |
114.20 |
95.81 |
|||||||||
|
• |
Среднегодовая |
тыс. |
86,40 |
97,20 |
96 |
10,8 |
-1,2 |
112.5 |
98.76 |
|||||||||
|
• |
Среднегодовая |
тыс. |
4635 |
4810 |
4980 |
175 |
170 |
103.77 |
103.53 |
|||||||||
|
• |
Фондоотдача |
руб. |
4 |
4,15 |
3,90 |
0,15 |
-0,25 |
103.75 |
93.97 |
|||||||||
|
• |
Фондоемкость |
руб. |
0,25 |
0,24 |
0,25 |
-0,01 |
0,01 |
96 |
104.16 |
|||||||||
|
• |
Среднегодовая |
тыс. |
10340 |
9820 |
10110 |
-520 |
290 |
94.97 |
102.95 |
|||||||||
|
• |
Себестоимость |
тыс. |
17920 |
18590 |
18102 |
670 |
-488 |
103.73 |
97.37 |
Прибыль |
тыс. |
620 |
1390 |
1338 |
770 |
-52 |
224.19 |
96.25 |
|
• |
Уровень |
% |
3,34 |
6,95 |
6,88 |
3,61 |
-0,07 |
208.08 |
98.99 |
Расчеты:
1. Среднегодовая выработка за
2011 г =18540:
132=140,45 руб.
. Среднегодовая выработка за
2012 г. =19980:134=
149,10 руб.
. Среднегодовая выработка за
2013 г. =1940:130=
149,53 руб.
. Среднегодовая заработная
плата за 2011г. =11405:132=86,40
руб.
. Среднегодовая заработная
плата за 2012г. =13025:134=97,20
руб.
. Среднегодовая заработная
плата за 2013г. =12480:130=96
руб.
7. Фондоотдача за 2011г (Фот)=V/
Соф=18540:4635=4 руб.
8. Фондоотдача за 2012г. (Фот)=V/
Соф =19980:4810=4,15 руб.
. Фондоотдача за 2013г. (Фот)=V/
Соф =19440:4980=3,90 руб.
. Фондоемкость за 2011г. (Фет)= Соф/V=4635:18540=0,25
руб.
. Фондоемкость за 2012г. (Фет)= Соф/V=4810:19980=0,24
руб.
. Фондоемкость за 2013г. (Фет)= Соф/V=4980:19440=0,25
руб.
13. Прибыль от реализации за
2011г. =18540-17920=620
руб.
. Прибыль от реализации за
2012г. =19980-18590=1390
руб.
. Прибыль от реализации за
2013г. =19440-18102=1338
руб.
. Уровень рентабельности
продаж за 2011г. =620:18540*100=3,34
руб.
. Уровень рентабельности
продаж за 2012г. =1390:19980*100=6,95
руб.
. Уровень рентабельности
продаж за 2013г. =1338:19440*100=6,88
руб.
Отклонения:
1. Объем реализованной продукции (выручка) за
2012г. 2012г-2011г= 19980-18540=1440 руб.
2. Объем реализованной продукции (выручка)
за 2013г.2013г-2012г= 19440-19980=-540 руб.
. Среднесписочная численность работников
за 2012г. 2012г-2011г=134-132=2 руб.
. Среднесписочная численность работников
за 2013г. 2013г-2012г=130-134=-4 руб.
. Среднегодовая выработка за 2012г.
2012г-2011г=149,10-140,40=8,7 руб.
. Среднегодовая выработка за 2013г.
2013г-2012г=149,53-149,10=0,43 руб.
. Фонд заработной платы за2012г.
2012г-2011г=13025-11405=1620 руб.
. Фонд заработной платы за 2013г.
2013г-2012г=12480-13025=-545 руб.
. Среднегодовая заработная плата за
2012г. 2012г-2011г=97,20-86,40=10,8 руб.
. Среднегодовая заработная плата за
2013г. 2013г-2012г=96-97,20 =-1,2 руб.
. Среднегодовая стоимость основных фондов
за 2012г. 2012г-2011г=4810-4635=175 руб.
. Среднегодовая стоимость основных фондов
за 2013г. 2013г-2012г=4980-4810=170 руб.
. Фондоотдача за 2012г.
2012г-2011г=4,15-4=0,15 руб.
. Фондоотдача за 2013г.
2013г-2011г=3,90-4,15=-0,25 руб.
. Фондоемкость за 2012г.
2012г-2011г=0,24-0,25=-0,01 руб.
. Фондоемкость за 2013г.
2013г-2012г=0,25-0,24=0,01 руб.
. Среднегодовая стоимость оборотных
средств за 2012г. 2012г-2011г=9820-10340=-520 руб.
. Среднегодовая стоимость оборотных
средств за 2013г. 2013г-2012г=10110-9820=290 руб.
19. Себестоимость продукции за 2012г.
2012г-2011г=18590-17920=670 руб.
20. Себестоимость продукции за 2013г.
2013г-2012г=18102-18590=-488 руб.
21. Прибыль от реализации за 2012г.
2012г-2011г=1390-620=770 руб.
22. Прибыль от реализации за 2013г.
2013г-2012г=1338-1390=-52 руб.
. Уровень рентабельности продаж за 2012г.
2012г-2011г=6,95-3,34=3,61 руб.
. Уровень рентабельности продаж за 2013г.
2013г-2012г=6,88-6,95=-0,07 руб.
Темп роста:
1. Объем реализованной продукции (выручка)
за 2012г. 19980:18540*100=107.76 руб.
2. Объем реализованной продукции (выручка)
за 2013г. 19440:19980*100=97.29 руб.
. Среднесписочная численность работников
за 2012г. 134:132*100=101.51 руб.
. Среднесписочная численность работников
за 2013г. 130:134*100=97.01 руб.
. Среднегодовая выработка за 2012г.
149.10:140.45*100=106.15 руб.
. Среднегодовая выработка за 2013г.
149.53:149.10*100=100.28 руб.
. Фонд заработной платы за2013г.
12480:13025*100=95.81 руб.
. Среднегодовая заработная плата за
2012г. 97.20:86.40*100=112.5 руб.
. Среднегодовая заработная плата за
2013г. 96:97.20*100=98.76 руб.
. Среднегодовая стоимость основных фондов
за 2012г. 4810:4635*100=103.77 руб.
. Среднегодовая стоимость основных фондов
за 2013г. 4980:4810*100=103.53 руб.
. Фондоотдача за 2012г. 4.15:4*100=103.75
руб.
. Фондоотдача за
2012г.3.90:4.15*100=93.97 руб.
. Фондоемкость за 2012г. 0.24:0.25*100=96
руб.
. Фондоемкость за 2012г.
0.25:0.24*100=104.16 руб.
. Среднегодовая стоимость оборотных
средств за 2012г. 9820:10340*100=94.97 руб.
. Среднегодовая стоимость оборотных
средств за 2013г. 10110:9820*100=102.95 тыс. руб.
. Себестоимость продукции за 2012г.
1590:17920*100=103.73 тыс. руб.
20. Себестоимость продукции за 2013г.
18102:18590*100=97.37 тыс. руб.
21. Прибыль от реализации за 2012г.
1390:620*100=224.19 тыс. руб.
22. Прибыль от реализации 2013г.
1338:1390*100=96.25 тыс. руб.
. Уровень рентабельности продаж за 2012г.
6.95:3.34*100=208.08 %
. Уровень рентабельности продаж 2013г.
6.88:6.95*100=98.99 %
Рис 1 Динамика численности работников, чел.
Вывод:
Численность работников в 2012 году по сравнению
2011 годом увеличилась на 2 человека или на 1,51%.
Численность работников в 2013 году по сравнению
2012 годом численность снизилась на 4 или на 3% и составила 130 человек.
Рис.2 Среднегодовая стоимость основных фондов
Вывод:
Среднегодовая стоимость основных фондов в 2012
году по сравнению с 2011 годом увеличилась на 175 тыс. руб. или на 3.77%.
Среднегодовая стоимость основных фондов в 2013
году по сравнению с 2012 годом среднегодовая стоимость основных фондов
увеличилась на 170 тыс. руб. или на 3.53%.
Рис 3 Фондоотдача и фондоемкость
Вывод:
Фондоотдача в 2012 году по сравнению с 2011
годом увеличилась на 0.15 руб. или на 3.75%.
Фондоотдача в 2013 году по сравнению 2012 годом
снизилась на 0.25 руб. или на 6.03%.
Фондоемкость в 2012 году по сравнению с 2011
годом снизилась на 0.1 руб. или на 4%.
Фондоемкость в 2013 году по сравнению с 2012
годом увеличилась на 0.1 руб. или на 4%.
Рис 4 Среднегодовая выработка
Вывод:
Среднегодовая выработка в 2012 году по сравнению
2011 годом увеличилась на 8,65 тыс. руб. или на 6.15%.
Среднегодовая выработка в 2013 году по сравнению
с 2012 годом увеличилась 0.52 тыс. руб. или на 0.3%.
Рис 5 Среднегодовая заработная плата
Среднегодовая заработная плата в 2012 году по
сравнению с 2011 годом увеличилась 10.8 тыс. руб. или на 12.5%.
Среднегодовая заработная плата в 2013 году по
сравнению с 2012 годом снизилась на 1.2 тыс. руб. или на 1.2%.
Рис. 6 Динамика выручки, затраты прибыли
Вывод:
Выручка в 2012 году по сравнению с 2011 годом
увеличилась 1440 тыс. руб. или на 7.8%.
Выручка в 2013 году по сравнению с 2012 годом снизилась
540 тыс. руб. или 97.3%.
Затраты в 2012 году по сравнению с 2011 годом
увеличились 670 тыс. руб. или на 103.73%.
Затраты в 2013 году по сравнению с 2012 годом
снизилась 488 тыс. руб. или на 97.4%.
Прибыль в 2012 году по сравнению с 2011 годом
увеличилась на 770 тыс. руб. или на 124.2%.
Прибыль в 2013 году по сравнению с 2012 годом
снизилась на 52 тыс. руб. или 96. 25%.
Рис. 7 Уровень рентабельности продаж, %
Вывод:
Уровень рентабельности продаж в 2012 году по
сравнению с 2011 годом увеличилась 108.08%.
Уровень рентабельности продаж в 2013 году по
сравнению с 2012 годом снизилась или на 98.99%.
Таблица 2. Структура основных фондов
|
Показатели |
Стоимость |
Структура |
||
|
Здания |
1643.4 |
33 |
||
|
Сооружения |
398.4 |
8 |
||
|
Машины |
2041.8 |
41 |
448.2 |
9 |
|
Производственный |
199.2 |
4 |
||
|
Прочие |
249 |
5 |
||
|
Стоимость |
4980 |
100% |
Вывод:
Наибольший удельный вес в структуре основных
фондов занимает машины оборудования — 41%, здания занимает — 33%, наименьший
удельный вес занимает производственный инвентарь — 4%.
Рассчитаем остаточную стоимость производственного
инвентаря на 1 января 2015 года, если срок полезного использования составляет 3
года. При расчете амортизации применяется ускоренный метод начисления 199.2
тыс. руб.
На=200/СПИ
На=200/3=66.7%
А= Сп * На
А=199.2*66.7=132.9 руб.
Со = Сп — А
Со=199.2-132.9=66.3 руб.
Задача
Показатели эффективности оборотных средств.
Найти сумму оборотных средств, которая
необходима предприятию при условии, что объем реализованной продукции останется
прежним, а продолжительность одного оборота основных средств сократиться на 10
дней.
Находим коэффициент оборачиваемости
Коб =Vраб./ОС
Коб.2011=18540/10340=1.8
Коб.2012=19980/9820=2.03
Коб.2013= 19440/10110=1.9
Продолжительность одного оборота
Тоб =Д/Коб
Тоб.2011=360/1.8=200
Тоб.2012=360/2.03=177.3
Тоб.2013=360/1.9=189.4
При сокращение продолжительных оборотных средств
на 10 дней продолжительность оборота основных средств составляет
189.4-10=179.4. Тогда, Коб=360/179.4=2.01. Стоимость оборотных средств
составит: ОС=Vоб./Коб=19440/2.01=9671.64.
Таким образом, высвобождение оборотных средств составит 9671.64-10110=-438.4
тыс. руб.
Заключение
В рыночной экономике бизнес-план является
рабочим инструментом, используемым во всех сферах предпринимательства.
Бизнес-план описывает процесс функционирования фирмы, показывает, каким образом
ее руководители собираются достичь свои цели и задачи, в первую очередь
повышения прибыльности работы. Хорошо разработанный бизнес-план помогает фирме
расти, завоевывать новые позиции на рынке, где она функционирует, получать инвестиции
и кредитные ресурсы, составлять перспективные планы своего развития, концепции
производства новых товаров и услуг и выбирать рациональные способы их
реализации.
Бизнес-план является постоянным документом; он
систематически обновляется, в него вносятся изменения, связанные как с
переменами, происходящие внутри фирмы, так и с изменениями на рынке, где
действует фирма, и в экономике в целом. Бизнес-план увязывает внутрифирменный и
макроэкономический анализ, проводимый специализированными научными организациями.
Его, как правило, составляет каждая фирма, хотя возможности подготовки таких
документов может быть различны: мелкая фирма для разработки бизнес-плана может
привлекать специалистов других организаций.
Бизнес-план является одним из основных документов,
определяющих стратегию функционирования фирмы. Вместе с тем он базируется на
общей концепции развития фирмы, более подробно разрабатывает экономический и
финансовый аспект стратегии, дает технико-экономическое обоснование конкретных
мероприятий. Реализация стратегии основывается на широких инвестиционных
программах, составленных как целая система взаимосвязанных технических,
организационных и экономических изменений на определенный период. Бизнес-план
охватывает одну из частей инвестиционной программы, срок реализации которой,
как правило, ограничен несколькими годами, позволяющей дать достаточно четкую
экономическую оценку намеченным мероприятиями.
Особенностью бизнес-плана как стратегического
документа является его сбалансированность по постановке задач с учетом реальных
финансовых возможностей фирмы. Чтобы бизнес-план был принят, он должен быть
обеспечен необходимыми финансовыми ресурсами. Это в значительной мере
определяет характер проектов, которые изучаются при разработке бизнес-плана.
Эти проекты должны быть не только инновационными, т. е. отличаться
научно-технической новизной, но и достаточно полно проработанными, показывать,
какие затраты необходимы на их реализацию и что это экономически даст (какой
доход принесет). Степень инновационности и рискованности проекта определяет
способы привлечения капитала. В то же время включение самого проекта в
бизнес-план становится возможным лишь в том случае, если определены источники
его финансирования.
Список литературы
1) Бизнес-план.
Методические материалы. — 3 -е изд., доп./Под. ред. Н. А. Колесниковой, А. Д.
Миронова. — М.: Финансы и статистика, 2002.
2) Шепеленко
Г. И. Экономика, организация и планирование производства на предприятии:
Учебное пособие для студентов экономических факультетов и вузов. 5-е изд., доп.
и переработ. — М.: ИКЦ «МарТ»; Ростов-на-Дону: Издательский центр «МарТ», 2004.
) Пелих
А. С., Баранников М. М. Экономика машиностроения/ Под ред. Проф. А. С. Пелиха,
Серия «Высшее образование». — Ростов н/Д: «Феникс», 2004.
) Дубровский
В. Ж., Чайкин Б. И. Экономика и управление предприятием (фирмой). Екатеринбург,
2003.
) Зайцев
Н. Л. Экономика организации. — М.: «Экзамен», 2000.
) Экономика
предприятия: Учебник, Под ред. Проф. Н. А. Сафронова. — М.: «Юристъ», 1998.
) Бизнес-план.
Методические материалы/ Под ред. Проф. Р. Г. Маниловского. — М.: Финансы и
статистика, 2000.
) Бизнес-план.
Рабочая книга. — СПб.: ЭИС, 1999.
) Липсиц
И. В. Бизнес-план — основа успеха: Практическое пособие. — М.: Машиностроение,
2002.
) Пелих
А. С. Бизнес-план, 7-е изд. М., 2003.
) Экономика
отрасли: Учебное пособие/ Под ред. А. С. Пелиха. — Ростов н/ Д: «Феникс», 2003.
Бизнес-план-
документ составляемый предпринимательской
фирмой, для оценки деятельности
концептуальной деятельности.
На
начальном этапе деятельности руководству
предпринимательской фирмы приходится
иметь дело со специфическим комплексным
проектом — запуском данной фирмы. Поэтому
первоначально бизнес-планы служат, и
стратегически, и оперативно, для
достижения целей, которые встают перед
фирмой в момент ее создания, и имеют
следующее содержание:
—
бизнес-план содержит информацию об
иерархии целей фирмы, приоритетах
производственной, коммерческой и
финансовой деятельности, вероятных
рисках и способах их страхования,
платежеспособности рынка товаров и
услуг фирмы;
—
бизнес-план содержит информацию о
конкурентах фирмы, их активности на
рынке, их сильных и слабых сторонах, а
также сравнительную с ними характеристику
сильных и слабых сторон фирмы;- бизнес-план
содержит информацию о формах мобилизации
ресурсов для достижения избранных целей
и борьбы с конкурентами за внимание
клиентов фирмы;
—
в бизнес-плане содержатся данные о
вероятных партнерах фирмы в процессе
будущей деятельности (поставщики сырья,
торговые и сбытовые предприятия, партнеры
по соглашениям о разделе рынков);
Типы
бизнес-планов
производственный
(внутренний) бизнес-план, который
необходим для планирования и прогнозирования
деятельности предприятия; для определения
целей развития в предстоящем плановом
периоде для решения проблем.
Инвестиционный
бизнес план, который является инструментом
для привлечения инвесторов. В инвестиционном
плане должны быть максимально учтены
главные интересы кредиторов- обеспечение
возвратности кредита и своевременная
уплата % за пользование им. Многие банки,
инвестиционные структуры разработали
соответствующие стандарты, форм
инвестиционных бизнес планов.
Бизнес-план
для получения кредитов с целью пополнения
оборотных средств предприятия или для
реализации широкомасштабных проектов
развития действующего производства.
Бизнес-
план финансового оздоровления который
составляется предприятием, находящимся
в состоянии неплатежеспособности. Этот
бизнес-план проходит достаточно долгий
и сложный период согласования с
кредиторами, с собственниками
неплатежного предприятия.
57 Структура бизнес-плана.
Структура
бизнес-плана зависит от характера
бизнеса, целей плана, требований
потенциального инвестора. Бизнес-план
должен содержать следующие разделы:
исполнительное резюме; общее описание
предприятия; продукция и услуги;
маркетинг; производственный план;
управление и организация; финансовый
план; оценка рисков.
Исполнительное
резюме- содержит краткое описание
компании. В “Общем описании предприятия”
необходимо охарактеризовать предприятие
и его положение на рынке, перечисление
владельцев предприятия, основные виды
деятельности, отличия данной компании
от конкурентов. Раздел “продукция
и услуги” содержит описание товаров
и услуг, предлагаемых предприятием,
возможность использования, готовность
товаров или услуг выйти на рынок. В
разделе “маркетинг” разъясняется как
бизнес намеревается добиться успеха
на рынке. Раздел ”производственный
план” содержит описание технологического
процесса. Необходимо отразить общий
подход предприятия к организации
производства, перечень источников сырья
и материалов, технологического
оборудования.
В разделе «Управление и организация»
нужно коротко представить основных
участников предприятия привести
организационную схему предприятия,
показывающую внутренние связи, обязанности
и разделение ответственности в рамках
организации. Цель
«Финансового плана» заключается
в том, чтобы сформулировать и представить
детальную систему проектировок,
отражающих ожидаемые финансовые
результаты деятельности компании.
В
разделе «Оценка рисков» требуется
ориентировочно оценить, какие риски
наиболее вероятны для проекта и во что
они в случае их реализации могут обойтись
58
План производства. Организационно
правовой план.
В условиях рыночных отношений каждое
предприятие самостоятельно планирует
свою деятельность и определяет перспективы
развития, исходя из спроса на продукцию
и из необходимости обеспечения
экономического и социального развития
трудового коллектива, повышения личных
доходов персонала и их семей, роста
эффективности производства. В план
производства необходимо включить также
сведения о виде требуемых производственных
мощностей, необходимых производственных
помещениях, потребности в основных
производственных фондах и рабочей силе
(как постоянной, так и временной)
Организационный
план включает описание: 1.
Организационно-правовой формы; 2.
Потребности в кадрах: — организационная
схемы предприятия; — обоснование
потребности в кадрах: — штатного расписания
и должностных инструкций. 3. потребности
в административных и производственных
помещениях. Факторы, влияющие на
определение потребности в административных
и производственных помещениях: — Специфика
производства; — Персонал предприятия;
— Финансовые возможности предприятия
(аренда или покупка помещений) и т.д.
59
Показатели по производству продукции:
натуральные и стоимостные.
обобщающие
показатели производственной деятельности,
служащие для всесторонней оценки
экономических процессов и явлений. Хотя
стоимостные показатели имеют преимущество
в характеристике сложных экономических
процессов и явлений, наряду с ними
используются и некоторые натуральные
показатели, выраженные в тоннах, тысячах
человек, часах и т.д. В ряде случаев,
отражая физический объём, они дают более
объективную картину явления, исключая
влияние колебаний цен. На основе
сопоставления стоимостных и натуральных
показателей получаются такие важные
относительные величины, как доход на
душу населения, производительность
труда и др.
Натуральные
показатели в физических единицах
измерения характеризуют объём производства
или использования отдельных видов
продукции. Каждый продукт учитывается
в тех единицах измерения, которые присущи
ему в соответствии с его физическими
свойствами или
назначением:
электроэнергия
— в киловатт-часах; уголь, нефть, железная
руда — в тоннах; газ -в кубических метрах;
автомобили — в штуках, обувь — в парах и
т.д. Такой учёт предусматривает наличие
единой номенклатуры (перечня) изделий
и соответствующих им единиц измерения.
Соседние файлы в предмете [НЕСОРТИРОВАННОЕ]
- #
- #
- #
- #
- #
- #
- #
- #
- #
- #
- #














