
Выручка книжного магазина составилаВыручка книжного магазина составила в первом квартале 700,46тыс.руб. Известно, что в январе выручка была на 49,58 тыс.руб больше, чем в феврале, а в марте на 178,92 тыс.руб. меньше , чем в феврале . сколько денежных средств получил магазин от покупателей в марте?
Глава 1. основные принципы решения экономико-математических задач на проценты и доли
Правило первое*.
Фактор времени на любом экзамене играет весьма важную роль. Особенно велика его роль на вступительном экзамене по обществознанию: в среднем для ответа на один вопрос у абитуриента имеется 2-2,25 минуты (без учета времени на проверку полученных ответов и заполнение бланка ответов). Мало кто из поступающих досрочно заканчивает работу, большинству не хватает времени для решения всех заданий теста. Следовательно, необходимо как можно более экономно и рационально расходовать имеющееся время. Однако часто вместо экономии получается противоположный результат. Никогда не начинайте решать вариант вступительного экзамена с экономико-математических заданий, даже если Вы «с ходу» знаете, как именно нужно решать то или иное задание. Прочитайте и попытайтесь сначала ответить на остальные вопросы. Математика «затягивает», и часто абитуриенты не замечают, как отведенное на экзамен время закончилось.
Правило второе.
Не нужно спешить и лихорадочно решать задачи. Постарайтесь, как можно меньше считать в уме, записывайте все промежуточные вычисления на бумаге! Как правило, экзаменационные задания не решаются в одно действие, и, допустив арифметическую ошибку в процессе решения, Вы можете обнаружить в конце, что полученного результата нет среди вариантов ответов. А если Вы решали тест «в уме», то на поиск и исправление ошибки у Вас уйдет гораздо больше времени, чем на проверку пошаговых вычислений. И поверьте: не надо бояться того, что члены приемной или экзаменационной комиссии отнесутся к Вам иначе, если найдут на полях, к примеру, произведение трех на восемнадцать, тест проверяет беспристрастный компьютер! Согласитесь, гораздо обиднее будет, получив в уме, к примеру, 56, остаться потом «у разбитого корыта», недобрав несколько баллов (из 380 баллов) до границы так нужной Вам оценки.
Правило третье.
Заметную экономию времени и, соответственно, преимущество перед конкурентами на экзамене дает умение рационально решать задачи. Иногда задачу за счет использования удачного приема можно решить в три четыре раза быстрее. Поэтому прежде чем приступить к решению теста внимательно прочитайте условие и осмыслите, что именно Вам требуется найти.
Практически во всех заданиях проведение промежуточных вычислений является нерациональным. Оптимальным оказывается первоначальное нахождение итоговой формы для расчета искомой величины и лишь затем проведение арифметических расчетов: сокращения, деления, умножения и т.д.
Пример. В апреле работники цеха должны были изготовить по плану 124 тысячи этажерок. За первую декаду апреля цех выполнил 40% месячного плана производства на апрель, а за вторую декаду — 25% от оставшегося плана. Сколько этажерок необходимо изготовить работникам цеха в третьей декаде апреля, чтобы полностью выполнить план производства на апрель? Решение-Способ 1.
Рассчитаем, сколько этажерок было изготовлено за первую декаду апреля:
1240
40 х
124000 = 1240-40 40.
100
49600
Таким образом, на вторую и третью декады апреля цеху остается еще изготовить 74,4 тысячи этажерок (120 49,6 = 74,4).
Поскольку за вторую декаду выполнили 25% от оставшегося плана на апрель, то за вторую декаду было изготовлено 18600 этажерок:
744
74400—= 744-25 <=> * 25.
100
18600
Отсюда имеем, что для выполнения месячного плана работникам необходимо изготовить за третью декаду апреля 55800 этажерок (74,4 18,6 = 55,8). Способ 2.
Решим данную задачу так называемым методом от «остатка».
Поскольку за первую декаду было изготовлено 40% месячного плана, то за вторую и третью декады осталось изготовить 60% плана (100% 40%). Учитывая, что за вторую декаду изготовили 25% от оставшегося плана (то есть от 60% всего апрельского плана), имеем, что для выполнения месячного плана работникам необходимо изготовить за третью декаду 75% (100% 25%) от остатка, то есть 45% начального плана на апрель:
(1-0,40)-(1-0,25) = 0,6-0,75 = 0,45.
Отсюда мы легко получаем, сколько этажерок необходимо изготовить работникам цеха в третьей декаде апреля, чтобы полностью выполнить план:
1240
124000-0,45 = 1240-45 <=> 45.
55800
Как и следовало ожидать, мы получили тот же результат, что и в первом случае, однако снизили вероятность появления арифметической ошибки.
Ответ: для полного выполнения месячного плата в третьей декаде апреля работникам цеха необходимо изготовить 55800 этажерок.
Комментарий. При решении большинства задач на проценты и доли приходится приводить дроби к общему знаменателю, а также производить их сокращение. Напомним несколько простых приемов работы с дробями.
Необходимо помнить, что величина дроби не изменится, если числитель и знаменатель дроби умножить или разделить на одно и то же число:
х х-A xlА
у у А у/А
Для того чтобы сложить или вычесть дроби, необходимо привести их к общему знаменателю, а затем сложить или вычесть числители:
а+с а■ d + с■ b _ а■ d±с■ b b~l~~b~~d~lTb~ b~d ‘
Умножение дробей сводится к умножению числителя на числитель и знаменателя на знаменатель:
а с _а-с ~Ъ d~b-d’
Деление дробей сводится к умножению числителя первой дроби на знаменатель второй, а знаменателя первой на числитель второй дроби, или к умножению первой дроби на перевернутую вторую:
а с a d_ad b d be b-c
Правило четвертое.
При решении задач на проценты символ % используйте только при выборе правильного варианта ответа из предложенных. В ходе непосредственного решения задачи пользуйтесь только долями и коэффициентами.
Пример. Согласно данным социологического обследования, 60% преподавателей экономического факультета МГУ имеют ученую степень кандидата наук, а 28% — доктора наук. Определите, сколько кандидатов и докторов наук было опрошено в ходе социологического обследования, если в опросе приняло участие 110 преподавателей факультета.
Решение:
Пусть х (человек) — число кандидатов наук, а у (человек) — число докторов наук, опрошенных социологами. Выразив 28 процентов в долях от единицы, получим коэффициент 0,28, а 60 процентов — коэффициент 0,60.
Откуда имеем:
х = 110 • 0,6 = 66 (человек) и у = 110 • 0,28 = 30,8 (человек).
Поскольку количество человек всегда является целой величиной, получим, что 66 кандидатов и 31 доктор наук были опрошены в ходе социологического обследования.
Ответ: 66 кандидатов и 31 доктор наук были опрошены в ходе социологического обследования.
Правило пятое.
При решении задач на анализ динамики экономических показателей всегда устанавливайте взаимнооднозначное соответствие между процентами и коэффициентами. Выражение «величина А увеличилась (уменьшилась) на х процентов» нужно воспринимать в виде «величина А домножилась на коэффициент к» и наоборот.
В общем виде соответствие между количеством процентов х, на которое изменилось исходное значение экономического показателя, и коэффициентом, на который он домножается, можно представить в виде:
увеличился на х% О домножился на коэффициент к= 1+
100 х
уменьшился на х% О домножился на коэффициент А=1-у^ Например:
20
увеличилась на 20% О *=’ + jqq ^ Д°множилась на коэффициент 1,2
57
уменьшилась на 57% О *=^~Jq^ ^ домножилась на коэффициент 0,43
Аналогичным образом, зная значение коэффициента к, можно однозначно определить величину изменения экономического показателя в процентах х: домножился на коэффициент А О увеличился надс=100(£-1)% прих>0 домножился на коэффициент к О уменьшился на х = 100 (к -1) % при х<0
Иными словами, в этом случае нам нужно определить, насколько коэффициент к отличается от единицы, и это отличие мы превращаем в проценты. Например:
домножился на коэффициент 1,2 О увеличился на 20%= 100(1,2 -1)% домножился на коэффициент 0,78 О уменьшился на 22%= 100(0,78 -1)% Правило шестое.
При решении задач на проценты всегда обращайте внимание, что берется за величину (базу) сравнения. Нередко каждое упоминание о процентах относится к разным базам их исчисления или база сравнения изменяется численно.
Пример. Мэрия города Сочи собирается приобрести партию ананасов. Взвешивание, которое производилось перед погрузкой в Сан-Паулу (Бразилия), показало массу 100 тонн, при этом было определено, что процентное содержание жидкости в товаре составляет 99%. При разгрузке в порту города Сочи выяснилось, что доля жидкости уменьшилась до 96% за счет усушки при транспортировке. Каков вес закупаемой партии после разгрузки?
Решение:
Вначале рассчитаем, какой процент и вес так называемого сухого остатка (под которым понимают вещество, вес которого не изменяется при усушке / утруске) был в приобретаемой партии перед погрузкой. Поскольку при первом
взвешивании жидкость составляла 99% (по весу), то сухой остаток составлял 1 % от массы «свежих» ананасов и весил 1 тонну (0,01 • 100 т. = 1 т.).
При втором взвешивании (после разгрузки) вес сухого остатка, по определению, не изменился и составил 1 тонну, но его удельный вес (доля) в весе «усушенных» ананасов, по условию, увеличился до 4%.
Теперь можно найти вес всей партии (х т.) после разгрузки: 4% — 1 т.
=>х = 25т.
100% — х т.
Ответ: 25 тонн.
Комментарий. Неверное решение этой задачи, как правило, связано с тем, что поступающие забывают об изменении общей массы товара при усушке. В результате, несмотря на то, что и в первом, и во втором случае за базу берется общая масса партии, база сравнения изменяется (100 тонн в первом случае и 25 тонн во втором). Задачи, основанные на изменении процентного содержания жидкости, следует решать только через сухой вес.
Правило седьмое.
Помните, что выражение «величина А больше (меньше) величины В на х процентов» НЕ эквивалентно (НЕ синонимично) выражению «величина В меньше (больше) величины А на х процентов»:
1±—) = В*в(і±—) = А.
loo J I loo;
Пример. Заработная плата инженера на 20% ниже заработной платы прораба. На сколько процентов оплата труда прораба выше оплаты труда инженера? Решение:
Как правило, большинство абитуриентов, впервые столкнувшись с этим заданием, отвечают «на 20%». Покажем, что этот результат неверен.
Пусть ЗИ (рублей) — заработная плата инженера, а ЗП (рублей) — заработная плата прораба. Тогда, по условию, ЗИ= 0,8ЗП (за базу сравнения взята заработная плата прораба).
Нам требуется найти, на сколько процентов оплата труда прораба выше оплаты труда инженера. То есть теперь базой сравнения будет заработная плата инженера. Таким образом, нам требуется найти отношение: ЗП _ ЗП ЗП _ 5 _ ^ ЗИ ~~ 0,8-ЗД ~ 4 т ~ 4 » ‘ • 5
Перейдя от процентов к коэффициентам (см. правило пять), получим: оплата прораба выше оплаты труда инженера на 25% ((1,25 -1) • 100 %).
Ответ: оплата прораба выше оплаты труда инженера на 25% .
Комментарий 1. Незнание данного правила часто приводит к ошибке при решении текстовых задач. Пусть, к примеру, в магазине имеется три секции. Если известно, что в мае объем продаж третьей секции (53) был на 20% меньше суммарного объема продаж первой и второй секции (51+52), тогда верно составленное уравнение имеет вид: S3 = 0,8 ■ (5і, + S2). Тогда как многие абитуриенты
записывают его в следующем виде: 1,253 = (5, + S2).
Комментарий 2. Хотим обратить внимание читателя на то, что экзаменаторы прекрасно осведомлены о «слабых» сторонах поступающих. Поэтому, как правило, остальные четыре (или пять) вариантов ответа в тесте, являющиеся неверными, представляют собой «ловушки», составленные с учетом типичных ошибок абитуриентов.
Правило восьмое.
При последовательных изменениях какой-либо величины каждый раз проценты берутся от ее последнего значения (если в условии не оговорено другое), и на соответствующий коэффициент домножается последнее значение величины.
Пример. Прежде чем попасть на прилавок магазинчика в деревне Большие Утюги Свердловской области жевательная резинка проходит через трех поставщиков: оптовую компанию ООО «Бабл Гум» (Москва), региональную оптовую компанию ООО «Жувастик» (Екатеринбург), ларек ПБОЮЛ «В.К. Тарханов» на оптовом рынке «Бодрость» (Екатеринбург). На каждом этапе цена жевательной резинки увеличивается на определенное количество процентов по отношению к предыдущему этапу: на первом этапе — на 20%, на втором этапе — на 25%, на третьем этапе — на 10%. Наценка владельца магазинчика И.Г. Вайсмана составляет одну треть от цены жевательной резинки в ПБОЮЛ «В.К. Тарханов». На сколько процентов больше в результате придется заплатить жительнице деревни Большие Утюги Маше Орловой по сравнению с отпускной ценой компании-производителя в Москве?
Решение:
Пусть Ап (рублей) — отпускная цена жевательной резинки у компании-производителя в Москве, а А / (рублей) — стоимость жевательной резинки в магазинчике в деревне Большие Утюги. Следовательно, нам требуется найти отношение (А і Ап) I AnВыразив 20%), 25%), 10% в долях от единицы, получим, соответственно, коэффициенты 0,2, 0,25, 0,1. Последнее повышение уже в условие дано в виде доли (1/3).
Откуда имеем:
А, =4, -(1 + 0,2)-(1 + 0,25)-(1+ 0,1)^1+ ij о-4= 2,2(раза).
Зная коэффициент 2,2, мы легко может получить искомую величину процентов: (2,2-1)-100%= 120%.
Ответ: Маше Орловой придется заплатить на 120% больше по сравнению с отпускной ценой компании-производителя в Москве.
Комментарий:
Мы сознательно при решении этой задачи опустили процесс вычисления изменения цены жевательной резинки, чтобы читатель еще раз убедился в том, что использование промежуточных вычислений бывает нецелесообразным (см. правило 3). Последовательно умножение коэффициента 1,2 на коэффициент
ів
17
1,25 (1,2 ■ 1,25 = 1,5), затем коэффициента 1,5 на коэффициент 1,1 (1,5 • 1,1 = 1,65)
4
и, наконец, коэффициента 1,65 на коэффициент 4/3 (1,65-— = 2,2) отнимет
у абитуриента значительное время. В то время как вычисление выражения
5 6 11 4 г 5 6 11 4 /-Х—2—П-Х 11
не составляет особого труда: = —— — = —.
4 5 10 3 4 5 10 З Х-/—2—5-Х 5
Правило девятое.
Вопрос «На сколько процентов величина А больше величины в?» равносилен вопросу «Во сколько раз величина А больше величины В?», а вопрос «Какой процент величина А составляет от величины 5?» — вопросу «Какую часть величина А составляет от величины В?».
Пример. Прибыль компании А на 30% меньше прибыли компании Б. Прибыль компании В на 10% меньше прибыли компании Д. Прибыль компании Д в три раза больше прибыли компании Б. Какой процент от прибыли компании В составляет прибыль компании А?
Решение:
Обозначим прибыли компании А, Б, В, Г, Д (ден. единиц) через А, Б, В, Г, Д, соответственно. Тогда из условия имеем: А=0,7Б, 5=0,9Д Д=ЗБ. Откуда получим: В = 0,9(ЗБ) = 2ДБ.
Поскольку требуется определить, какой процент от прибыли компании В составляет прибыль компании А, то за базу сравнения берется прибыль компании В. То есть нам требуется определить, во сколько раз А больше В:
А 0,7Б п„
— = — «0,26.
В 2,7Б
Таким образом, прибыль компании А составляет примерно 26% от прибыли компании В.
Ответ: прибыль компании А составляет примерно 26% от прибыли компании В.
Комментарий:
Существует еще один способ ответить на вопрос «на сколько процентов показатель А больше (меньше) показателя В». Он состоит в том, чтобы выяснить, на какой коэффициент домножается величина В в процессе превращения в величину А.
Правило десятое.
Если требуется разделить экономическую величину на несколько неравных частей (например, в пропорции т : и), то необходимо сначала определить, на сколько всего частей нужно разделить эту величину, затем рассчитать, сколько единиц делимой величины приходится на одну часть, и наконец найти, сколько единиц приходится на и и т частей, соответственно.
Пример. При учреждении фирмы Семен Каменский и Борис Каминский договорились делить все прибыли и убытки в отношении 3 :4. Как, учитывая их договоренность, предприниматели должны разделить 210 тысяч рублей, заработанные компанией в текущем году?
Решен ие:
Из условия задачи мы можем заключить, что прибыль фирмы требуется разделить всего на 7 частей (3+4). Поскольку фирма заработала всего 210 тысяч
рублей, то на каждую часть приходится = 30 тысяч рублей. Следовательно,
на 3 части будет приходиться 90 тысяч рублей, а на 4 части — 120 тысяч рублей.
Таким образом, Семен должен получить 90 тысяч рублей, а Борис — 120 тысяч рублей.
Ответ: Семен должен получить 90 тысяч рублей, Борис — 120 тысяч рублей. Комментарий:
У абитуриентов часто возникает сложность с трактовкой выражения «в отношении (пропорции) т : и». Иначе говоря, можно сказать так: на каждые три рубля, полученные Семеном, должно приходиться 4 рубля, полученные Борисом.
На основе решения этой задачи мы можем сформулировать нехитрый алгоритм, с помощью которого Вы сможете решать аналогичные задачи, не прибегая к использованию пропорций и решению уравнений.
Алгоритм деления на 2 части:
Пусть нам требуется разделить какую-то экономическую величину, равную а единиц, между двумя экономическими агентами в отношении т : и, и определить, сколько единиц рассматриваемой величины приходится на каждого экономического агента.
Решение:
Поскольку рассматриваемую величину нам требуется разделить всего
г а
на т + п частей, значит на одну часть будет приходиться единиц,
т + п
та „ п-а
на т частей единиц, а на и частей единиц.
т+п т+п
та
Ответ: на первого экономического агента приходится единиц, на втот + п
п а
рого единиц.
т + п
Алгоритм деления на п частей:
Пусть нам требуется разделить какую-то экономическую величину, равную а единиц, между п экономическими агентами в отношении х[:х1:…:хп. Определить, сколько единиц рассматриваемой величины приходится на каждого экономического агента. Аналогично, можно получить, что на первого эконох. ■ а
мического агента приходится ■ единиц, на второго —
X, + х2 +… + х„
х ■ а х ■ а
— единиц,…, на л-ного единиц.
х, + х2 +… + х„ х, + х2 +… + х„
Задания для самостоятельной работы
1.1. Найдите: (1) 4% от 75 рублей; (2) 25% от 340 евро; (3) 18-% от 330 франков;
(4) 15% от 84 долларов; (5) 32% от 12,5 марок.
Найдите сумму, лежащую на счете в банке, если её: (1) 8% равны 24 рублям; (2) 140% равны 182 рублям; (3) 45% равны 225 рублям; (4) 750% равны 450 рублям; (5) 7% равны 182 рублям.
Найдите выручку компании, если известно, что её: (1) 5% составляют 23% от 15,5 тысяч рублей; (2) 4% составляют 31% от 16,4 млн. рублей; (3) 16% составляют 8% от 84 тысячи рублей; (4) 6% составляют 3% от 1,5 млн. рублей;
(5) 18% составляют 45% от 225 тысяч рублей.
1.4. (1) Ваш капитал вырос в 5 раз. На сколько процентов вы стали богаче?
(2) Ваш капитал уменьшился в 5 раз. На сколько процентов вы стали беднее?
(3) Ваш капитал вырос на 50%. Во сколько раз вы стали богаче?
(4) Ваш капитал уменьшился на 50%. Во сколько раз вы стали беднее?
На сколько увеличилась выручка нефтяной компании, если цена тонны нефти увеличилась на 30%, а объем продаж вырос на 20%?
На сколько уменьшилась прибыль авиакомпании, если прибыль на единицу продукции сократилась на 50%, а объем продаж упал на 25%?
Как изменились затраты компании, если себестоимость единицы продукции снизилась на 20%, а объем продаж вырос на 50%?
Как изменилась выручка компании, если цена единицы продукции снизилась на 30%, а объем продаж вырос на 30%?
Как изменились издержки компании в расчете на единицу продукции, если общие издержки снизились на 20%, а выпуск вырос на 60%?
Как изменилась цена продукции, если выручка снизилась на 20%, а объем продаж упал на 36%?
Известно, что из 143 тысяч тонн нефти нефтезавод получает 78 тысяч тонн бензина марки А98. Сколько бензина будет получено нефтезаводом в ходе переработки партии в 11 тысяч тонн нефти?
На фирме работают 250 человек, из которых 120 не имеют высшего образования. Каков на фирме процент сотрудников, имеющих высшее образование?
Новый мебельный гарнитур с доставкой обошелся семье Ивановых в 39 тысяч рублей. Какой процентов от общих затрат на покупку гарнитура (включая доставку) составляют расходы по перевозке, если стоимость гарнитура равна 35,1 тысячи рублей.
Постройка загородного дома стоила 9,8 млн. рублей, из них 65% заплатили за материалы, а остальное — за работу. Сколько заплатили за работу?
Два завода должны были за месяц произвести 360 станков. Однако первый завод выполнил план на 110%, а второй завод перевыполнил план на 12%. В итоге было произведено 400 станков. Сколько станков сверхплана выпустил второй завод?
На сколько процентов следует понизить за один раз цену товара, чтобы новая цена была равна цене товара после двух последовательных понижений на 10%?
1.17. Фонды оплаты труда четырех отделов компании соотносятся друг
с другом как 2:3:5:6. Определите величину фондов оплаты труда каждого
отдела, если суммарный фонд оплаты труда компании равен 128 млн. рублей.
Разделите наследство в 1,5 млн. рублей между тремя братьями так, чтобы на каждые 16 рублей, полученных старшим братом, приходилось семь рублей, полученных средним, и один рубль, полученный младшим.
Автоцентр сделал заказ автозаводу на изготовление запасных частей для легковых автомобилей. В частности, была заказана партия комплексных деталей, включающая передние полуоси, диски колес и колесные гайки, общим количеством 52 тысячи единиц. Соотношение названных деталей составляет 2:4: 20? Сколько и какой процент деталей каждого вида было заказано?
В банке общая сумма кредитов, выданных населению, составляет 25% от суммы кредитов, выданных предприятиям. Какой процент от общего объема кредитования в этом банке приходится на долю предприятий?
Летом численность приезжающих в приморский поселок туристов составляет 150% от численности коренного населения поселка. Определите, каков удельный вес туристов в общей численности населения поселка летом.
На овощной базе имелся крыжовник, влажность которого составляла 99%. За время хранения его влажность уменьшилась и стала равна 98%. На сколько процентов уменьшилась масса хранившегося на базе крыжовника?
В августе овощная база закупила 10 тонн овощей по цене 25 рублей за килограмм, содержащие 99% воды по весу. В январе овощи были реализованы по цене 60 рублей за килограмм, при этом за время хранения часть воды испарилась, в результате чего в овощах осталось 98% воды. Определите прибыль овощной базы от продажи закупленной партии овощей.
Фирме, выпускающей соки, предлагают приобрести 100 тонн ананасов по цене 30 тысяч рублей за тонну. Взвешивание товара производилось месяц назад, и тогда же было определено процентное содержание жидкости, которое равнялось 98%о (по весу). По требованию покупателя на день покупки производится повторный замер содержания жидкости в фруктах, который показал, что жидкости осталось только 90% (по весу). Сколько денег должна заплатить фирма за ананасы, учитывая изменение веса партии?
Компания «Bonanza» приобрела 200 тонн бананов в Эквадоре по цене 5 тысяч рублей за тонну. Перед погрузкой в порту г. Гуаякиль было произведено контрольное взвешивание партии и тогда же было определено процентное содержание жидкости, которое равнялось 96% (по весу). После разгрузки в порту г. Санкт-Петербурга был произведен повторный замер содержания жидкости, который показал, что жидкости осталось только 90% (по весу), после чего доставленная партия была продана фирме «Тампико» по цене 20 тысяч рублей за тонну. Определите прибыль компании «Bonanza» от этой операции, если транспортные расходы составили 400 тысяч рублей, а других издержек компания не имеет.
В траве вода составляет 70% от общей массы, а в сене — 40%. Сколько нужно скосить травы, чтобы получить 5 т сена?
Яблоки при сушке теряют 85% своей массы. Сколько надо взять свежих яблок, чтобы приготовить 10,5 кг сушеных?
Цена на товар была повышена на 25%. На сколько процентов следует снизить новую цену, чтобы получить первоначальную цену?
Пока болел директор объем продаж фирмы снизился на 20%. На сколько процентов он должен теперь повыситься, чтобы достичь прежнего уровня?
Услуги частного брокера Иванова на 60% дешевле, чем услуги брокерской компании «Петров и партнеры». Если гражданин Сидоров предпочтет воспользоваться услугами компании «Петров и партнеры», на сколько процентов больше он заплатит (чем в случае обращения к брокеру Иванову)?
В начале года в гипермаркете телевизор «Прогресс» стоил 250 евро. В течение года его стоимость увеличилась на 10%, однако перед новогодними праздниками руководство гипермаркете снизило цены на всю электронику на 10%. Сколько заплатила семья Ивановых за новых телевизор, купленный на новогодней распродаже?
Из-за надвигающегося тропического шторма объем добычи нефти в Мексиканском заливе был снижен на 80%. На сколько процентов нужно его увеличить, чтобы достигнуть прежнего уровня добычи?
В начале 2004 года себестоимость производства одной пары валенок равнялась 50 рублей. В 2004-2005 годах на предприятии проводилась реструктуризация. В течение первого года реструктуризации себестоимость производства повысилась на некоторое число процентов, а в течение второго снизилась на такое же число процентов (по отношению к повышенной себестоимости). В результате в конце 2005 года себестоимость одной пары валенок стала равна 48 рублям. Определите процент повышения и снижения себестоимости производства пары валенок в 2004 и 2005 годах.
Сразу после окончания экономического факультет МГУ Ольга Горелкина устроилась работать в инвестиционную компанию. За первый год работы ее месячная зарплата выросла на 50%, за второй — еще на 70%. Из-за сокращения количества заказов на третьем году работы ее зарплата снизилась на 20%>. Но на следующий год доходы инвестиционной компании возросли, и за четвертый год зарплата Ольги выросла на 25%. На сколько процентов выросла зарплата Ольги за четыре года, прошедшие с момента окончания МГУ?
В 2002 году прибыли компаний «Сибирские самоцветы», «Уральские самоцветы» и «Якутские самоцветы», входящих в финансово-промышленную группу «Русские самоцветы», рассчитанные в млн. рублей, соотносились как
2 : 5 : 4. В 2003 году прибыль каждой компании из группы «Русские самоцветы» выросла на 5 млн. рублей. Какая из трех компаний по итогам 2003 года сообщила о наибольшем темпе роста прибыли?
1.36. В 2003 году затраты компаний «Сибирские самоцветы», «Уральские самоцветы» и «Якутские самоцветы», входящих в финансово-промышленную
группу «Русские самоцветы», рассчитанные в млн. рублей, соотносились как
3 : 6 : 5. В 2004 году затраты каждой компании из группы «Русские самоцветы» снизились на 7%. Какая из трех компаний группы «Русские самоцветы» по итогам 2004 года сообщила о наибольшей экономии денежных средств?
Про опытных аналитиков Ивана и Давида известно, что ошибка их экономических прогнозов не превышает, соответственно, 5% и 10% от выданного прогноза. В каких пределах следует ожидать цену на бензин марки А95 в следующем году, если прогноз Ивана составил 16 рублей, а прогноз Давида составил 18 рубля за литр. Предполагается, что опытные аналитики ошиблись не более чем обычно.
В поселке Солнечный на берегу Черного моря 9% коренного населения в зимний период заняты народным промыслом. Летом 36% коренного населения уезжает из города, однако общая численность населения поселка за счет приезжающих туристов составляет 80% от численности в зимний период. Определите, какая часть от общей численности населения в летний период занята народным промыслом, если среди коренного населения доля занятых народным промыслом осталась такой же, как и в зимний период.
В рамках денежной реформы Центральный банк страны решил провести замену старых денежных купюр на новые с улучшенной системой защиты. По оценкам специалистов ЦБ, в начале года в обращении находилось 2 млн. купюр различного достоинства. В первом квартале была осуществлена замена 40% имеющихся в обращении купюр на новые, во втором — 300 тысяч купюр, а в третьем— 10% от остающихся в обращении старых купюр. Сколько купюр требуется заменить Центральному банку в четвертом квартале, если он намерен полностью завершить обмен к концу года?
В течение декабря ОАО «ТМП» перевело с расчетного счета в банке «Огни Первопрестольной» (Москва, Россия) на счет в банке «Libertados Mercosur» (Санто-Доминго, Доминиканская республика), 50% от имевшихся на счету денежных средств, затем еще 10 млн. долларов, затем еще 5%> от оставшихся на счету денег. При этом сумма денег на расчетном счету предприятия в банке «Libertados Mercosur» увеличилась на 31%. Сколько денег было на расчетном счету ОАО «ТМП» в банке «Огни Первопрестольной» в начале декабря, если на расчетном счету предприятия в банке «Libertados Mercosur» изначально было 200 млн. долларов.
Банк «Светлый» продал банку «Золотой» пакет акции ОАО «Красный пролетарий», чтобы уравнять их доли в капитале этого акционерного общества. Если бы, наоборот, банк «Золотой» продал банку «Светлый» такой же пакет акций, то доля банка «Светлый» в акционерном капитале ОАО «Красный пролетарий» оказалась бы в пять раз больше, чем у банка «Золотой». Определите, во сколько раз пакет акций, которым обладал банк «Светлый» до сделки, больше, чем пакет, которым обладал банк «Золотой» до сделки.
С расчетного счета в банке А предприятие в апреле перевело некоторую сумму на свой расчетный счет в банк Б, после чего на расчетном счету в банке А было в три раза больше денег, чем в банке Б. В мае предприятие перевело аналогичную сумму из банка А в банк Б, после чего на расчетном счете в банке Б денег стало всего в два раза меньше, чем в банке А. Во сколько раз сумма денег на расчетном счете предприятия в банке А была больше суммы денег на расчетном счете в банке Б изначально?
Если запланированный биржей объем торгов на август увеличить втрое, то суммарный объем торгов в июле и августе возрастет вдвое. Во сколько раз надо увеличить план на июль, оставив неизменным (т.е. на первоначальном уровне) план на август, чтобы суммарный объем торгов возрос втрое?
Фирма совершала сделки по покупке и продаже автомобилей одной марки, покупая один автомобиль по 7000 у.е. и продавая по 9000 у.е. Всего поэтам сделкам за день прошли 32 автомобиля. Какую часть от общего числа сделок составили сделки по продаже автомобилей, если по итогам дня у фирмы образовался нулевой баланс?
Брокерская фирма выставила на торги пакет акций, состоящий из акций двух компаний: нефтяной компании (по 100 долларов за акцию) и газовой компании (по 65 долларов 60 центов за акцию). Всего было выставлено 200 акций. Все акции газовой компании были проданы, а часть акций нефтяной компании осталась непроданной. Общая сумма выручки оказалась равной 13120 долларов. Определите процент акций газовой компании в выставленном на продажу пакете и найдите сумму выручки, полученной за акции газовой компании.
Мебельная фабрика закупает картон двух сортов: первого и второго. Объем поставок за последний месяц составил: первого сорта — на 1,2 млн. рублей, второго — на 1,5 млн. рублей. Определите, на сколько процентов картон второго сорта дешевле картона первого сорта, если картона второго сорта было закуплено на 10 т. больше и он был на 20 руб. /кг дешевле первого.
В целях стимулирования продаж магазин установил 10% скидку на каждую пятую продаваемую газонокосилку и 25% на каждую тринадцатую продаваемую газонокосилку. В случае если на одну газонокосилку выпадают обе скидки, то применяется большая из них. Всего в ходе рекламной акции было продано 1000 газонокосилок. Определите выручку магазина от продажи партии газонокосилок, если цена одной газонокосилки составляет 1000 рублей.
Партия валюты была доставлена в банк двумя инкассаторскими машинами, в каждой из которых было 60 мешков валюты, при этом в 21 мешке были доллары, а в остальных — евро. Сколько мешков с долларами было в каждой машине,’ если известно, что в первой машине на один мешок с долларами приходилось в три раза больше мешков с евро, чем во второй.
Отец предполагал распределить некоторую сумму денег между своими тремя сыновьями (старшим, средним и младшим) в отношении 7:6:5. Затем он изменил свое решение и эту же сумму разделил в отношении 6 : 5 : 4. Известно, что в результате второго деления старший сын получил на 12 тысяч рублей больше, чем получил бы по первому делению. Какую сумму получил в результате каждый брат в качестве наследства?
В начале предвыборной гонки предпочтения избирателей распределялись по трем кандидатам на должность мэра, как 1 : 2 : 1, а в конце как 5 : 5 : 6, из-за отказа от голосования 40% избирателей. Сколько процентов сторонников каждого кандидата отказалось от голосования, если пришедшие на выборы избиратели своего первоначального мнения не меняли (кроме того недействительных бюллетеней и голосов, поданных «против всех», не было)?
1.1. Сколько денег лежит на расчетном счете предприятия в банке, если 7%
от этой суммы равно 15% от 140 тысяч рублей (в тысячах рублей):
80
280
65
300
220
1.2. Семен Каминский планировал израсходовать на поездку в Германию 1400
евро. Сколько денег осталось в распоряжении господина Каминского, если
сумма, которую он потратил в Германии, составляет 150% от оставшихся после поездки денежных средств (выберите наиболее точный вариант).
840 евро
930 евро
700 евро
560 евро
620 евро
1.3. Богатый дядюшка оставил четверым своим племянникам 272 млн. долларов, причем они были разделены на четыре части так, что вторая составляет
15%) первой, третья — 60% второй, тогда как четвертая — 50% от величины
второй и третьей вместе взятых. Чему равна меньшая часть наследства?
24 млн. евро
18 млн. евро
36 млн. евро
15 млн. евро
28 млн. евро
1.4. Предположим, что правительство Мальты установило следующие таможенные
пошлины на импорт бананов: 25% от стоимости партии, но не менее $50 за тонну. Фирма «Вапапа inc..» заключила контракт на поставку 100 тонн бананов для
гостиниц Ла-Валетты (столица Мальты). Если цена бананов составляет
$300 долларов за тонну, то в этом случае фирме придется заплатить:
$75 за каждый кг
$5000 за весь контракт
$7500 за весь контракт
$50 за каждую тонну
$125 за каждую тонну
Здесь и далее ряд тестовых заданий взят из вариантов вступительных экзаменов «Общеобразовательный тест» (за 1994-1998 гг.) и «Обществознание» (за 2000-2005 гг.) экономического факультета МГУ им. М.В. Ломоносова (Общеобразовательный тест: Пособие для поступающих. М.: Экономический факультет МГУ, 1997; Общеобразовательный тест-97 / Под ред. А.В. Кочергина. М.: Экономический факультет, 1998; Тест по обществознанию. Варианты экзамена с 2000 по 2005 год. Учебное пособие / Под ред. А.Г. Худокормова. М.: Экономический факультет МГУ им. М.В. Ломоносова, ТЕИС, 2005).
1.5. В 2005 году фирма «Eldorado», зарегистрированная в свободной экономической зоне, получила прибыль в размере $40 ООО. Согласно законодательству, с
полученных 4% прибыли нужно уплатить налог в размере 5%. Какую часть от
всей полученной прибыли нужно выплатить фирме в качестве налога?
1%
0,8%
2%
1,25,%
0,2%
1.6. В университетском буфете шоколадка стоит на 40% дороже мороженого, а мороженое, в свою очередь, на 15% дешевле бутылки минеральной воды. Как
в университетском буфете соотносятся цены на минеральную воду и шоколад?
бутылка минеральной воды примерно на 49% дешевле шоколадки
шоколадка примерно на 19% дороже бутылки минеральной воды
шоколадка примерно на 45% дороже бутылки минеральной воды
шоколадка примерно на 40% дороже бутылки минеральной воды
бутылка минеральной воды примерно на 29% дешевле шоколадки
1.7. В компании работает 4 копировальных аппарата, которые вместе за 20 минут работы снимают 480 копий. Руководство компании, в связи с увеличением спроса на услуги фирмы, увеличило количество эксплуатируемых
аппаратов на 75%. Тогда после введения в строй новых аппаратов за 15 минут работы компания сможет делать:
630 копий
210 копий
315 копий
1050 копий
840 копий
1.8. В склад завезли 25 тонн картофеля. Из-за нарушения условий хранения 5 тонн
сгнили. На сколько процентов нужно увеличить цену одного кг картофеля, чтобы получить прежнюю выручку? Укажите наиболее точный результат.
на 15%
на 25%
на 20%
на 5%
зависит от стоимости картофеля
1.9. Про каждого из аналитиков Р и С известно, что ошибка их прогноза цены
на нефть не превышает соответственно 5% и 10% от выданного прогноза. В
каких пределах следует ожидать цену на нефть, если прогноз Р составил 22
доллара, а прогноз С составил 24 доллара за баррель. Предполагается, что
аналитики ошиблись не более, чем обычно.
от 21,9 до 25,4 долларов за баррель
от 21,6 до 23,1 долларов за баррель
от 21,6 до 27,3 долларов за баррель
от 20,9 до 26,4 долларов за баррель
от 24,7 до 26,4 долларов за баррель
1.10. В банке сумма кредитов, выданных населению, составляет 40% от суммы
депозитов, привлеченных от населения, а сумма кредитов, выданных предприятиям, — 25% от суммы кредитов, выданных населению. Какую часть от
привлеченных депозитов банк выдает в качестве кредитов?
45%
50%
60%
65%
85%
1.11. Из прибыли в 5 млн. рублей фирма отчисляет 28% в строительный фонд,
причем 7% из них для строительства базы отдыха. Сколько денег из прибыли
выделяет фирма для строительства базы отдыха?
10800 рублей
108000 рублей
98000 рублей
980000 рублей
180000 рублей
1.12. В Донецкой области в августе 2005 году стоимость литра бензина подскочила на 300%). Возмущенные водители перекрыли дороги и потребовали вернуть
цены к прежнему уровню. На сколько правительство должно уменьшить цены?
300%
200%
150%
75%
50%
1.13. В ноябре 2005 года (после заявления Президента о необходимости ужесточения контроля за выдачей водительских прав цены на нелегальном рынке
водительских прав) выросли на 150%, а в декабре того же года после (после
перехода к новому порядку выдачи водительских прав с 1.01.2006 г.) цены
выросли еще на 50%. Насколько выросла цена прав на подпольном рынке
прав за ноябрь — декабрь 2005 года?
200%
275%
375%
650%
750%
1.14. Цену товара первоначально снизили на 20%, затем новую цену снизили
еще на 30%, наконец, в третий раз товар уценили на 50%. Определите, на
сколько процентов всего подешевел товар в результате трех уценок:
100%
97%
92,5%
75%
72%
1.15. В сушеных грушах 10% воды, а в свежих — 82%. На сколько процентов
уменьшается масса груш при сушке?
72%
76%
80%
84%
88%
1.16. В винограде 90% воды, а в изюме — 15%. На сколько процентов масса
винограда больше массы полученного из него изюма?
750%
500%
240%
75%
50%
1.17. Фирма закупила у лесников партию грибов весом 250 килограмм. Сколько
выручит фирма от продажи этой же партии, но в сушеном виде, если свежие
грибы содержат 90% воды, а сухие — 12%, а стоимость одного килограмма
сухих грибов составляет 125 рублей (выберите наиболее точный вариант):
1330 рублей
3340 рублей
3550 рублей
3760 рублей
6870 рублей
1.18. За 1991 год цена автомобиля «ВАЗ-2110» выросла на 50%, а за 1992 год —
еще на 700%. В результате за два года цена автомобиля «ВАЗ-2110» выросла на:
1100%>
1200%
3500%
750%
2450%
1.19. За первый год цена книги выросла на 800%, а за второй — на 600%. В результате за два года цена книги увеличилась на:
4700%
6300%
4800%
1400%
6200%
1.20. За вторую половину XX века в результате научно-технического прогресса
цены на компьютеры снизились в 32 раза. Это эквивалентно уменьшению
(укажите наиболее точный вариант):
на 103%
на 3100%
на 3%
на 97%
на 68%
J.21. В комиссионном магазине вещь уценили сначала на 20%, а затем еще на 15%. На сколько процентов была уценена вещь за два раза?
28%
30%
32%
35%
38%
1.22. На первой линии вырабатывается 350 пачек макарон за 15 минут, а на второй — 480 пачек за 18 минут. Какой процент составляет объем продукции
первой линии, произведенной за 7 часов 36 минут непрерывной работы, от
объема продукции, произведенной на второй линии за то же время? Укажите
наиболее точный ответ.
87,5%
102,1%
133%
76,4%
114,2%
1.23. Первый продавец реализует 4 квартиры за 5 часов, а второй — 5 квартир
за 6 часов. Какой процент составляет объем продаж первого продавца
за 8 часов 30 мин. от объема продаж второго продавца за то же время? Выберите наиболее точный вариант:
89,3%
96%
104,2%
107,5%
112%
1.24. Объемы валового внутреннего продукта стран А, В и С, рассчитанные в
долларах США, в 1998 г. относились как 1 :3 : 2. В 1999 г. объем валового
внутреннего продукта в каждой из стран вырос на 5 млрд. долл. В какой
из стран были наибольшие темпы экономического роста?
в стране С
в стране А
темпы экономического роста во всех странах одинаковые
для ответа на вопрос недостаточно данных
в стране В
1.25. В 2004 году объемы производства корпорации Меххо inc. в Азербайджане,
Германии, России, США и Франции, рассчитанные в млн долларов США, соотносились как 18 : 150 : 115 : 240 : 140. В 2005 году объем выпуска компании в
каждой из этих стран вырос на 2,5 млн. долларов США. В какой из этих стран
корпорацией Меххо были достигнуты наименьшие темпы роста производства?
в Азербайджане
в Германии
в России
в США
во Франции
1.26. Бюджет программы «Улучшение демографической ситуации в России» на
текущий год составляет 798 млн. рублей. В первом полугодии было израсходовано 5/8 выделенных денежных средств, в третьем квартале 5/9 от оставшегося объема, а в октябре — 1/7 остатка. Определите величину денежных
средств, оставшуюся на ноябрь-декабрь текущего года?
102 млн. рублей
114 млн. рублей
98 млн. рублей
121 млн. рублей
108 млн. рублей
1.27. Из запланированных на год 828 млн. руб. инвестиций в I квартале было
израсходовано 4/7 от общего объема, во II квартале было истрачено 5/9 оставшегося, а в Ш-ем израсходовали 1/8 того, что осталось на второе полугодие. Какая сумма (в млн. руб.) осталась на четвертый квартал?
141
132
138
144
135
1.28. В первой партии предприятие поставило заказчику 25% от общего количества
заказанных изделий, во второй — 45% от оставшейся части заказа, в третьей —
20% от оставшегося после первых двух поставок долга, а в четвертой —5280
изделий, полностью выполнив договор. Определите общий объем заказа:
16000 изделий
25200 изделий
32000 изделий
43600 изделий
52800 изделий
1.29. В первой партии предприятие поставило заказчику 35% от общего количества
заказанных изделий, во второй — 25% от оставшейся части заказа, в третьей —
20% от оставшегося после первых двух поставок долга, а в четвертой — 4680
изделий, полностью выполнив договор. Определите общий объем заказа:
23400 изделий
20600 изделий
18000 изделий
14800 изделий
12000 изделий
1.30. В 1993 году объем добычи угля на шахте А составлял 60% от объема добычи угля на шахте Б. В 1994 году объем добычи на шахте А вырос на 16%, а
суммарная добыча угля на двух шахтах уменьшилась на 9%. На сколько процентов уменьшилась добыча угля на шахте Б1
26%
28%
30%
32%
24%
1.31. Вкладчик снял с текущих счетов в банках А и Б одинаковые суммы, после
чего величина вклада в банке А стала в три раза больше, чем величина вклада
в банке Б. После того, как в следующем месяце он снял с обоих счетов такую
же сумму сумма денег, лежащая во банке Б, стала меньше суммы, лежащей
на счету в банке А, в четыре раза. На сколько была изначально больше величина вклада в банке А по сравнению с величиной вклада в банке Б:
на 250%
на 150%
на 50%
на 200%
на 100%
1.32. В июле 2005 года в Московской области установилась необычайно теплая
погода. В связи с увеличением спроса на кондиционеры фирма, специализирующаяся на их продаже, повысила цены на них на 20%. В июле, после снижения температуры фирма для стимулирования продаж решила снизить цены
на кондиционеры на 15%. Как в итоге изменилась цена кондиционера
по отношению к первоначальной?
увеличилась на 5%
снизилась на 3%
осталась неизменной
понизилась на 4%
повысилась на 2%
1.33. Транспортный караван компании «Intermarket» проследовал из Камбоджи
в Мьянму, проехав транзитом через территорию Таиланда. В Камбодже была
уплачена 12% экспортная пошлина, в Таиланде компания заплатила 8% транзитную пошлину, а в Мьянме — 15% импортную пошлину. Какова была первоначальная стоимость груза, если после уплаты указанных пошлин она
составила $405 тысяч, а пошлины рассчитывались в процентах от первоначальной стоимости груза (укажите наиболее точный вариант):
$250 тысяч
$270 тысяч
$290 тысяч
$300 тысяч
$320 тысяч
1.34. На новых станках при меньших на 28% затратах электроэнергии можно
изготовить на 50% больше деталей, чем на старых станках. На сколько процентов уменьшился расход электроэнергии на одну деталь в станках новой
конструкции?
78
64
72
52
48
1.35. После реконструкции цеха количество рабочих в нем сократилось на 10%,
производительность их труда возросла на 75%, а потребление цехом электроэнергии увеличилось на 26%. На сколько процентов уменьшились затраты
электроэнергии в расчете на единицу продукции?
30%
25%
15%
20%
39%
(1) (2) (3) (4) (5)
1.36. В начале совещания в комнате было Р человек. В течение первого часа из
комнаты вышло Q человек, и за тот же час в комнату вошло R человек. Какое
выражение дает процент числа участников совещания, не присутствующих
в комнате хотя бы некоторое время в течение первого часа, к числу принимавших участие в совещании в течение всего часа? (Никто из вышедших обратно
не вернулся.)
100(6 + /?) P-Q + R 100(/> + g)
P-Q+R 100-Р
P-Q
юо(6+/г)
P-Q юо-(е+л)
P-R + Q
1.37. В начале года на фирме было N сотрудников. В течение года М человек было
уволено или перешло на другие работы по собственному желанию, а К человек
были зачислены в штат. Какое выражение дает процент числа сотрудников
фирмы в конце года по отношению к числу сотрудников фирмы, работавших на
данной фирме лишь часть времени в течение этого года? (Никто из покинувших
фирму обратно не восстанавливался.)
m(N-M + K)
(1) і 1
N-K IOOJN-M + К)
N-M
шм-м + к)
M + K
WO-(M-N)
(4) V /
K + M
(5) 1^
M + K
1.38. Два мастера производят одинаковые изделия. Первый делает 9 изделий за 5 часов, второй делает 7 изделия за 3 часа. Каждый из них расходует 16 кВт./ ч электроэнергии в час, оплачивая ее из расчета 1 руб. 48 коп. за 1 кВт. / ч. Какой процент составляют затраты на электроэнергию в расчете на одно изделие, произведенное первым мастером, от аналогичного показателя для второго мастера, если они работали 5 дней по 8 часов 24 минут в день? Выберите наиболее точный ответ.
77%
80%
97%
117%
130%
140%
0) (2) (3) (4) (5) (6)
139. Два землекопа вспахали поле. Производительность первого землекопа на р% больше, чем второго, но он работал в к раз меньше. Какую часть поля вспахал второй землекоп? 100-А
100 + р
Ш-р Щк + )-р
100* Щк + ) + Р 100+ р 100* + р Шк-рк
100
Шк-рк Щк + )-рк
1.40. В фирме имеется три подразделения А, Б и В. В 2004 г. их фонды оплаты труда относились как 8 : 13 : 11, а в 2005 г. как 6:11:13. Какие из перечисленных ниже утверждений обязательно верны, если известно, что суммарный объем фонда оплаты труда фирма в 2005 г. не изменился по сравнению с 2004 г.? Выберите правильный и полный вариант. 1. Фонд оплаты в А уменьшился на 20%; 2. Абсолютное уменьшение фонда оплаты в А меньше абсолютного уменьшения фонда оплаты в Б; 3. Доля Б в общем фонде оплаты труда фирмы в 2005 г. упала по сравнению с 2004 г.
1,2
2, 3
1,3
3
все утверждения верны
1
Разное
Как найти выручку компании, если её 5% составляют 23% от 15,5 тысяч рублей?Объясните пожалуйста по действиям.
P.S. Заранее спасибо
Попроси больше объяснений
Следить
Отметить нарушение
Автор: Гость
Ответ(ы) на вопрос:
Гость:
находишь23 проц от 15.5 15.5*23:100=3.65. а раз 3.65 это 5%, то 100% будет 3.65*100:5= 73.00
Пожаловаться
Не нашли ответ?
Ответить на вопрос
Похожие вопросы
Разное
Итоги столыпинской аграрной реформы?
Ответить
Разное
Задача с геометрии. 11 класс. Очень надо!!!!Диагональ боковой грани правильной триугольной призмы равна L и создаёт с диагональю смежной боковой гр…
Ответить
Разное
Сравните синонимы и антонимы.Определите сходство между ними.Свой ответ аргументируйте.Вот такое задание.Ничего не понимаю что здесь делать надо…Н…
Ответить
Разное
Где можно найти тренинги на развитие памяти?
Ответить
Разное
Как вы думаете как применяется Задачи линейного програмированя в экономике?
Ответить
|
||||||||||
|
||||||||||
Найди верный ответ на вопрос ✅ «Годовая выручка фирмы «Диваныч» составляет 120 000 руб., а ежемесячная прибыль — 7000 руб. Какова сумма ежемесячных затрат фирмы «Диваныч»? …» по предмету 📙 Обществознание, а если ответа нет или никто не дал верного ответа, то воспользуйся поиском и попробуй найти ответ среди похожих вопросов.
Искать другие ответы
Главная » ⭐️ Обществознание » Годовая выручка фирмы «Диваныч» составляет 120 000 руб., а ежемесячная прибыль — 7000 руб. Какова сумма ежемесячных затрат фирмы «Диваныч»?
Как считать НДС 20%? Как правило, этот вопрос возникает не у бухгалтеров, а у других сотрудников компании — например, специалистов по продажам или руководителей. Постараемся ответить на него так, чтобы у бухгалтера не возникало проблем с разъяснением того, как считается НДС.
Как определить сумму НДС (вычисление)
При реализации товаров, работ, услуг, передаче имущественных прав НДС предъявляется покупателю дополнительно к цене реализации (п. 1 ст. 168 НК РФ).
На практике при расчете НДС возможны 2 вопроса:
- Если есть сумма без НДС — как считать НДС от суммы?
- Если есть сумма с учетом НДС — как посчитать НДС в том числе.
Поясним, как правильно посчитать НДС в каждом из случаев.
Как посчитать НДС от суммы
Как вычислить НДС от суммы? Это несложно: нужно просто математически рассчитать процент. Расчет производится по формуле:
НДС = НБ × Нст / 100,
Где: НБ — налоговая база (то есть сумма без НДС), Нст — ставка НДС: 20 процентов (до 01.01.2019 — 18) или 10 процентов.
Примеры расчета НДС для продавца привели эксперты КонсультантПлюс. Получите бесплатно пробный доступ к системе и переходите к расчетам.
Как посчитать НДС в том числе
Посчитать НДС в том числе — это значит выделить налог, который заложен в итоговую сумму. Здесь для вычисления используют формулы:
НДС = С / 120 × 20 — если нужно посчитать НДС 20% (с 01.01.2019),
НДС = С / 118 × 18 — если нужно посчитать НДС 18% (до 01.01.2019),
НДС = С / 110 × 10 — если ставка налога 10%,
Где: С — сумма, включающая НДС.
См. также «Что входит в перечень товаров, облагаемых НДС по ставке 10%?»
ВНИМАНИЕ! Данный расчет не означает применение расчетных ставок 20/120 (18/118) или 10/110 — это просто способ выделить налог из итоговой суммы.
Подробно о расчетных ставках читайте в этой статье.
Как посчитать сумму с НДС
Посчитать сумму с НДС можно, не вычисляя предварительно сам налог. Для этого используйте формулы:
С = НБ × 1,20 — если считать НДС по ставке 20% (с 01.01.2019),
С = НБ × 1,18 — если считать НДС по ставке 18% (до 01.01.2019),
С = НБ × 1,10 — по ставке 10%,
где НБ — налоговая база, то есть сумма без налога.

Пример расчета НДС
Используя приведенные выше формулы, разберем, как правильно считать НДС (сверх суммы и в том числе), на примерах.
Пример 1
ООО «Икс» реализует партию бетонных блоков в количестве 100 тыс. шт. по цене 55 руб. за штуку. Ставка НДС — 20% (п. 3 ст. 164 НК РФ), налог в цену не включен. Как посчитать НДС 20% и итоговую стоимость партии с учетом налога?
- Сначала определим стоимость партии без НДС (налоговую базу):
55 руб. × 100 000 шт. = 5 500 000 руб.
- Посчитаем НДС от суммы:
5 500 000 × 20/100 = 1 100 000 руб.
- Вычислим сумму с НДС:
5 500 000 + 1 100 000 = 6 600 000 руб.
- Или определить итоговую сумму можно сразу, без предварительного расчета налога:
5 500 000 × 1,20 = 6 600 000 руб.
Соответственно, в расчетных документах и счетах-фактурах нужно указать:
- стоимость без НДС — 5 500 000 руб.,
- НДС 20% — 1 100 000 руб.,
- итого с НДС — 6 600 000 руб.
Пример 2
По прайс-листу ООО «Икс» цена бордюрного камня с учетом НДС составляет 240 руб. за 1 шт. Покупатель заказал партию из 10 тыс. штук. Посчитаем НДС 20%.
- Сначала определим итоговую стоимость партии:
240 руб. × 10 000 шт. = 2 400 000 руб.
- Посчитаем НДС в том числе:
2 400 000 / 120 × 20 = 400 000 руб.
- Остается сумма без НДС:
2 400 000 – 400 000 = 2 000 000 руб.
Ее также можно найти без предварительного выделения налога:
2 400 000 / 1,20 = 2 000 000 руб.
Проверить правильность расчета можно, начислив НДС на полученную стоимость без налога:
2 000 000 × 20/100 = 400 000 руб.
Соответственно, в расчетных документах и счетах-фактурах нужно указать:
- стоимость без НДС — 2 000 000 руб.,
- НДС 20% — 400 000 руб.,
- итого с НДС — 2 400 000 руб.
О том, как отразить в декларации по НДС и в бухучете рассчитанную сумму НДС, смотрите в Готовом решении от КонсультантПлюс. Пробный доступ к К+ получите бесплатно.
Итоги
Как видим, посчитать НДС сверху или НДС в том числе не сложно. Главное помнить формулы расчета и использовать верную ставку налога.
См. также статью «Формула расчета НДС по ставке 20% от суммы».
Распространенные вопросы
Как рассчитать НДС к уплате?
НДС к уплате рассчитывается по формуле:
НДС к уплате = НДС начисленный — НДС к вычету + восстановленный НДС
В сумму НДС, принимаемого к вычету, входит:

Подробнее о порядке учета и вычета НДС при строительстве основных средств читайте здесь.
Что такое восстановленный НДС?
Случаи восстановления НДС регламентированы п.3 ст. 170 НК РФ:
О порядке восстановления НДС читайте в этой статье.
Как определить безопасную сумму вычета по НДС?
Чтобы не вызвать вопросов у камеральщиков, рекомендуем рассчитывать безопасную долю вычетов при составлении декларации. Для этого нужно сумму входного НДС разделить на величину начисленного НДС и умножить на 100%.
Если доля вычетов превысит 89%, фирмой могут заинтересоваться фискалы и нагрянуть с выездной проверкой.
Подробнее о безопасной доле вычета по НДС, наши эксперты рассказывали здесь.
Финансовая независимость предприятия
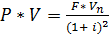
Задача 1. Определить текущую стоимость 5 тысяч
рублей, которые вам обещали выплатить через 2 года, если ставка банковского
процента составляет 10% годовых
Решение
По условию данной задачи нам известны следующие
данные: текущая стоимость составляет 5 тысяч рублей, которые нам обещали
выплатить через 2 года, ставка банковского процента составляет 10% годовых,
следовательно, получим следующий вид уравнения:
,
где F * Vr — это
стоимость будущих денег; n — это количество периодов;
i — это
ставка дисконтирования. = 5 000 рублей, i = 10%
годовых = 0,1.
Следовательно, вставим известные нам
данные в формулу и получим следующий вид уравнения:
;
= 4 132,23 рубля,
= 4 132,23 рубля.
Следовательно, текущая стоимость,
которую нам обещали выплатить через 2 года, составит 4 132,23 рубля.
Ответ: текущая стоимость, которую
нам обещали выплатить через 2 года, составит 4 132,23 рубля.
Задача 2. За какую сумму вы
согласитесь продать участок земли, который приносит вам 10 тысяч рублей
ежегодно, если известно, что Сбербанк принимает бессрочные вклады под 4%
годовых?
Решение
Сумма продажи участка земли, который
приносит ежегодный доход, является капитализированной стоимостью актива.
Определим по следующему виду
уравнения:
,
при n → ∞
(то есть бессрочном вкладе), где i — это ставка дисконтирования,
Ra — это сумма
ежегодного дохода.
Следовательно, подставим известные
нам значения и получим следующий вид уравнения: ,
=
= 250 000 рублей;
= 250 000 рублей.
Следовательно, за сумму 250 000
рублей я соглашусь продать участок земли, который приносит мне 10 тысяч рублей
ежегодно.
Ответ: за сумму 250 000 рублей я
соглашусь продать участок земли, который приносит мне 10 тысяч рублей ежегодно.
Задача 3. Как оценить сегодня
доходы, которые вы будете получать ежегодно в течение 5 лет в сумме 1 000
рублей, если учетная ставка составляет 10% годовых?
Решение
Для того чтобы оценить сегодняшнюю
стоимость будущих доходов, необходимо привести их к текущему времени.
Следовательно, получим следующий вид
уравнения:
=
;
=
+
+
+
+
= 620,92 + 683,01 + 751,31 + 826,45
+ 909,09 = 3 790,78 рублей;
= 3 790,78 рублей.
Следовательно, доходы, на сегодня
которые я буду получать ежегодно в течение 5 лет в сумме 1 000 рублей, составят
3 790,78 рублей.
Ответ: доходы, на сегодня которые я
буду получать ежегодно в течение 5 лет в сумме 1 000 рублей, составят 3 790,78
рублей.
Задача 4. Сколько денег вы будете
иметь на своем счете через 4 года, если сегодня положите в банк 100 рублей под
5% годовых?
Решение
Для определения суммы вклада через 4
года решим данную задачу на начисление сложного процента.
Следовательно, получим следующий вид
уравнения:
;
= 100 * (1,05)4 = 121,55
рублей,
= 121,55 рублей.
Следовательно, я буду иметь денег на
своем счете через 4 года 121,55 рублей.
Ответ: я буду иметь денег на своем
счете через 4 года 121,55 рублей.
Задача 5. Составить бухгалтерский
баланс предприятия. Известны следующие данные о деятельности компании:
размер собственного капитала 4 500
долларов;
денежные средства составляют 20,755%
от активов;
дебиторы погашают задолженности
примерно через 103,5 дней;
товарно-материальные запасы
оцениваются в 1 035 долларов;
отношение долга к собственному
капиталу 1;
чистая прибыль составила 301,53
долларов;
выручка — 9 000 долларов;
основные средства закуплены на 3
748,5 долларов
Решение
) Через формулу оборачиваемости
найдем дебиторскую задолженность данного предприятия и получим следующий вид
уравнения:
(в днях),
где T — это
количество дней в периоде.
Следовательно, получим следующий вид
уравнения:
= 2 587,5 долларов,
) Рассчитаем величину заемного и
собственного капитала данного предприятия и получим следующий вид уравнения: .
Следовательно, Заемный капитал = 4
500 долларов.
) Рассчитаем величину чистой прибыли
и величину нераспределенной прибыли данного предприятия и получим следующий вид
уравнения:
Чистая прибыль = нераспределенная
прибыль (так как в условии данной задачи не упомянуты дивиденды).
Следовательно, получим следующий вид
уравнения:
Чистая прибыль = нераспределенная
прибыль = 301,53 долларов.
) Рассчитаем сумму пассива баланса данного
предприятия и получим следующий вид уравнения:
;
= 4 500 + 4 500 + 301,53 = 9 301,53
долларов, = 9 301,53 долларов.
Исходя из того что пассив = активу,
то = 9 301,53 долларов.
) Если денежные средства составляют
20,755% от активов, то найдем величину денежных средств и получим следующий вид
уравнения:
ДС = 9 361,53 * 0,20 755 = 1 930,53 долларов;
ДС = 1 930,53 долларов.
) Составим бухгалтерский баланс
данного предприятия в виде следующей таблицы:
Таблица 1
|
Актив |
Пассив |
|
1) |
1) |
|
2) |
2) |
|
3) |
3) |
|
4) |
|
|
Итог: |
Итог: |
Следовательно, валюта баланса составляет 9
301,53 долларов. Составили бухгалтерский баланс данного предприятия.
Ответ: валюта баланса составляет 9 301,53
долларов. Составили бухгалтерский баланс данного предприятия.
Задача 6. Составить отчет о прибылях и убытках
компании, если известна следующая информация:
фирма реализовала в отчетном периоде 375 тысяч
единиц продукции по цене 15 долларов за единицу;
затраты на выплату заработной платы и покупку
материалов составили 2 340 тысяч долларов;
коммерческие и административные расходы
составили 160 тысяч долларов;
прочие расходы 60 тысяч долларов;
ставка налога на прибыль 20% от прибыли;
амортизационный фонд за отчетный период составил
200 тысяч долларов;
проценты за кредит в текущем периоде составили
170 тысяч долларов.
Кроме того, известно, что компания выпустила 3
000 привилегированных акций номиналом 450 долларов и ставкой дивидендов 30%.
Решение
) Найдем объем выручки от реализации данной
компании и получим следующий вид уравнения: Выручка от реализации = Объем
реализации * Цену реализации; Выручка от реализации = Объем реализации * Цену
реализации = 375 * 15 = 5 625 тысяч долларов, Выручка от реализации = 5 625
тысяч долларов.
) Определим себестоимость данной компании и
получим следующий вид уравнения: Себестоимость = Затраты на зарплату + Покупка
материалов + Амортизация; Себестоимость = 2 340 + 200 = 2 540 тысяч долларов,
Себестоимость = 2 540 тысяч долларов.
) Найдем валовую прибыль данной компании и
получим следующий вид уравнения:
Валовая прибыль = Выручка — Себестоимость;
Валовая прибыль = 5 625 — 2 540 = 3 125 тысяч
долларов,
Валовая прибыль = 3 125 тысяч долларов.
) Найдем прибыль от продаж данной компании и
получим следующий вид уравнения: Прибыль от продаж = Валовая прибыль —
Административные и коммерческие расходы — Платежи по кредиту;
Прибыль от продаж = 3 125 — 160 — 170 = 2 795
тысяч долларов, Прибыль от продаж = 2 795 тысяч долларов.
) Найдем прибыль данной компании до
налогообложения и получим следующий вид уравнения: Прибыль до налогообложения =
Прибыль от продаж — прочие расходы; Прибыль до налогообложения = 2 795 — 60 = 2
735 тысяч долларов, Прибыль до налогообложения = 2 735 тысяч долларов.
) Вычислим налог на прибыль данной компании и
получим следующий вид уравнения: Налог на прибыль = прибыль до налогообложения
* ставка налога на прибыль; Налог на прибыль = 2 735 * 0,2 = 547 тысяч
долларов, Налог на прибыль = 547 тысяч долларов.
) Найдем чистую прибыль данной компании и
получим следующий вид уравнения: Чистая прибыль = прибыль до налогообложения —
налог на прибыль; Чистая прибыль = 2 735 — 547 = 2 188 тысяч долларов, Чистая
прибыль = 2 188 тысяч долларов.
) Далее рассчитаем ∑ дивидендов данной
компании и получим следующий вид уравнения:
∑ дивидендов = количество акций * номинал
акций * ставка выплаты дивидендов;
∑ дивидендов = 3 000 * 450 * 0,3 = 405
тысяч долларов, ∑ дивидендов = 405 тысяч долларов.
) Найдем нераспределенную прибыль данной
компании и получим следующий вид уравнения: Нераспределенная прибыль = Чистая
прибыль — ∑ дивидендов; Нераспределенная прибыль = 2 188 — 405 = 1 783
тысяч долларов, Нераспределенная прибыль = 1 783 тысяч долларов.
) Составим отчет о прибылях и убытках данной
компании и получим следующий вид таблицы:
Таблица 2
|
Показатели |
Отчетный |
|
Выручка |
5 |
|
Себестоимость |
2 |
|
Валовая |
3 |
|
Административные |
160 |
|
Прибыль |
2 |
|
Прочие |
60 |
|
Прибыль |
2 |
|
Налог |
547 |
|
Чистая |
2 |
|
Дивиденды |
405 |
|
Нераспределенная |
1 |
Следовательно, мы составили отчет о прибылях и
убытках данной компании и занесли ее в таблицу.
Ответ: мы составили отчет о прибылях и убытках
данной компании и занесли ее в таблицу.
Задача 7. Предположим, что Ваши оценки возможной
годовой доходности инвестирования в обыкновенные акции компании имеют следующие
значения:
Таблица 3
|
Вероятность |
0,1 |
0,2 |
0,4 |
0,2 |
0,1 |
|
Возможная |
— |
5% |
20% |
35% |
50% |
Какова ожидаемая доходность и ее
среднеквадратическое отклонение акции?
Решение
Ожидаемую доходность (то есть ) по каждому активу рассчитывают по
следующему виду уравнения:
,
где ri — это один
из возможных исходов, Pi — это
вероятность наступления исхода, n — это общее количество исходов.
Следовательно, получим следующий вид
уравнения:
;
= 0,1 * (- 10) + 0,2 * 5 + 0,4 * 20
+ 0,2 * 35 + 0,1 * 50 = — 1 + 1 + 8 + 7 + 5 = 20%, = 20%.
Найдем среднеквадратическое
отклонение акций и получим следующий вид уравнения:
;
=
=
= 16,43;
= 16,43.
Следовательно, ожидаемая доходность
равна = 20% и ее среднеквадратическое
отклонение акции равна = 16,43.
Ответ: ожидаемая доходность равна = 20% и ее среднеквадратическое
отклонение акции равна = 16,43.
Задача 8. Проведите анализ риска актива.
Какой актив имеет наибольшую привлекательность для инвестора?
Таблица 4
|
Состояние |
Вероятность |
Прогнозируемая |
|
|
A |
B |
||
|
Глубокий |
0,1 |
— |
— |
|
Умеренный |
0,2 |
0 |
— |
|
Среднее |
0,4 |
10 |
0 |
|
Умеренное |
0,2 |
30 |
40 |
|
Быстрый |
0,1 |
50 |
60 |
Решение
) Рассчитаем доходности акций по отдельности и
получим следующий вид уравнения:
;
= 0,1 * (- 20) + 0,2 * 0 + 0,4 * 10
+ 0,2 *
* 30 + 0,1 * 50 = — 2 + 0 + 4 + 6 +
5 = 13%, = 13%.
= 0,1 * (- 30) + 0,2 * (- 10) + 0,4
* 0 + 0,2 * 40 + 0,1 * 60 = — 3 — 2 + 0 + 8 + 6 = 9%, = 9%.
) Вычислим среднеквадратическое
отклонение для каждой акции и получим следующий вид уравнения:
.
=
= = 18,47;
= 18,47.
+ =
= = 26,63;
= 26,63.
Следовательно, риск акций B выше, чем
риск акций A.
) Рассчитаем коэффициент вариации
активов A и B по
следующему виду уравнения:
;
;
= 1,42;
;
;
= 2,96.
Следовательно, для данного инвестора
предпочтительнее тот актив, для которого коэффициент вариации минимален, то
есть актив A.
Ответ: для данного инвестора
предпочтительнее тот актив, для которого коэффициент вариации минимален, то
есть актив A.
Задача 9. Рассчитать показатели
риска портфеля активов
Таблица 5
|
Состояние |
Вероятность |
Доход |
Доход |
|
Рецессия |
0,2 |
— |
— |
|
Умеренное |
0,6 |
20 |
5 |
|
Бум |
0,2 |
30 |
10 |
|
Удельный |
0,3 |
0,7 |
Решение
) Рассчитаем доходности акций по отдельности и
получим следующий вид уравнения:
,
где = 0,2 * (- 3) + 0,6 * 20 + 0,2 * 30
= — 0,6 + 12 + 6 = 17,4%; = 17,4%;
= 0,2 * (- 5) + 0,6 * 5 + 0,2 * 10
= — 1 + 3 + 2 = 4%; = 4%.
) Вычислим среднеквадратическое
отклонение для каждой акции и получим следующий вид уравнения:
;
=
= = 10,91;
= 10,91.
=
= =
= 4,9;
= 4,9.
) Рассчитаем ожидаемую доходность
портфеля ценных бумаг и получим следующий вид уравнения:
,
где — это доля активов в портфеле;
— это ожидаемая доходность
отдельного актива.
Следовательно, получим следующий вид
уравнения:
= 0,3 * 17,4 + 0,7 * 4 = 8,02;
= 8,02.
) Определим ковариацию доходности
активов и получим следующий вид уравнения:
;
= 0,2 * (- 3 — 17,4) *
* (- 5 — 4) + 0,6 * (20 — 17,4) * (5
— 4) + 0,2 * (30 — 17,4) * (10 — 4) = 36,72 + 1,56 + 15,12 = 53,4; = 53,4.
) Рассчитаем коэффициент корреляции
и получим следующий вид уравнения:
=
= 0,999;
= 0,999.
) Для определения риска портфеля
найдем стандартное отклонение портфеля и получим следующий вид уравнения:
;
=
= 6,7;
= 6,7.
) Найдем коэффициент вариации
портфеля и получим следующий вид уравнения:
;
=
= 0,835;
= 0,835.
Следовательно, предпочтение отдается
портфелю активов с самым низким коэффициентом вариации.
Ответ: рассчитали показатели риска
портфеля активов; предпочтение отдается портфелю активов с самым низким
коэффициентом вариации.
Задача 10. Премия за рыночный риск
составляет 11%; Удельный вес актива A в портфеле
составляет 35%; Удельный вес актива B в портфеле
составляет 65%; Коэффициент бета для актива A составляет
0,9; Коэффициент бета для актива B составляет 1,5; Найти премию за
риск портфеля.
Решение
Занесем известные данные из условия
данной задачи в следующий вид таблицы:
Таблица 6
|
Активы |
Удельный |
Коэффициент |
|
A |
35% |
0,9 |
|
B |
65% |
1,5 |
Премия за рыночный риск — 11%. Найти премию за
риск портфеля — ?
) Найдем коэффициент бета портфеля и получим
следующий вид уравнения:
;
= 0,35 * 0,9 + 0,65 * 1,5 = 1,29;
= 1,29.
) Найдем премию за риск портфеля и
получим следующий вид уравнения:
= 1,29 * 11% = 14,19%;
= 14,19%;
где — это бета коэффициент портфеля;
— это рыночная премия за риск.
Следовательно, премия за риск
портфеля равна = 14,19%.
Ответ: премия за риск портфеля равна
= 14,19%.
Задача 11. Найти коэффициент бета
портфеля активов. Портфель включает следующие активы: А — 35%; В — 6%; С — 13%;
D — 25%; E — 21%. Коэффициент бета составляет А — 1,2; В — 1; С — 1,4; D — 0,9;
E — 1,3.
Решение
Найдем коэффициент бета портфеля
активов и получим следующий вид уравнения:
;
= 0,35 * 1,2 + 0,06 * 1 + 0,13 *
1,4 + 0,25 * 0,9 + 0,21 * 1,3 = 1,16; = 1,16.
Следовательно, коэффициент бета
портфеля активов равен = 1,16.
Ответ: коэффициент бета портфеля
активов равен = 1,16.
Задача 12. Рассматривается
целесообразность инвестирования в акции компании А, имеющей бета-коэффициент
равный 1,1, или компании В, имеющей коэффициент бета равный 1,8. Если
безрисковая ставка составляет 8%, а средняя доходность на рынке ценных бумаг
14%. Инвестирование проводиться в том случае, если доходность составляет не
менее 15%.
Решение
По условию данной задачи нам
известны следующие данные:
= 1,1;
= 1,8;
= 8% — это безрисковая ставка;
= 14% — это средняя доходность.
Для компании А определим доходность и
получим следующий вид уравнения:
;
= 8 + 1,1 * (14 —

=14,6%
= 14,6%.
Для компании B определим
доходность и получим следующий вид уравнения:
;
= 8 + 1,8 * (14 —

= 18,8%.
Следовательно, инвестирования в
акции компании B более целесообразны, поскольку = 18,8% больше чем
= 14,6%.
Ответ: инвестирования в акции
компании B более
целесообразны, поскольку = 18,8% больше чем
= 14,6%.
Задача 13. Текущая цена акций
компании 77 долларов, уровень дивидендов в плановом году возрастет на 7%, в
прошлом году сумма дивидендов на акцию составила 4,5 долларов. Определить
стоимость капитала, привлеченного с помощью простых акций.
Решение
Дивиденды данной компании в прошлом
году составили следующие данные: = 4,5 долларов.
Стоимость капитала данной компании
привлеченного с помощью акции определяется по следующему виду уравнения:
,
где — это текущая стоимость акции,
— это прогноз значения дивиденда на
ближайший период, g — это прогнозируемый темп прироста
дивидендов.
Следовательно, получим следующий вид
уравнения:
;
= 4,5 * (1 + 0,07) = 4,815
долларов; = 4,815 долларов.
;
=
+ 0,77 = 0,1 325 = 13,25%;
= 13,25%.
Следовательно, стоимость капитала
данной компании, привлеченного с помощью простых акций составило 13,25%.
Ответ: стоимость капитала данной
компании, привлеченного с помощью простых акций составило 13,25%.
Задача 14. Имеются следующие данные
о деятельности компании:
размер собственного капитала — 2 400
ДЕ;
денежные средства составляют 4%
активов;
дебиторы погашают задолженности
примерно через 69 дней;
товарно-материальные запасы
оцениваются в 690 ДЕ;
отношение долга к собственному
капиталу — 2/3;
коэффициент текущей ликвидности
равен 2;
чистая прибыль составила 200 ДЕ;
выручка — 6 000 ДЕ;
основные средства закуплены на 2 500
ДЕ.
Составить Баланс компании и
определить ресурсоотдачу, рентабельность активов и рентабельность собственного
капитала.
Решение
Имея данные из условия данной
задачи, составим баланс данной компании, и определим ресурсоотдачу данной
компании, рентабельность активов данной компании и рентабельность собственного
капитала данной компании.
Ответ: составили баланс данной
компании, и определили ресурсоотдачу данной компании, рентабельность активов
данной компании и рентабельность собственного капитала данной компании.
Задача 15. Доходность собственного
капитала компании 12%, а доля заемных средств в пассивах составляет 40%.
Оцените доходность активов.
Решение
Доходность активов данной компании
может быть найдена из следующего вида уравнения Дюпона:
.
.
Следовательно, выразим
мультипликатор из заемных средств и получим следующий вид уравнения:

= 0,4.
= 0,6;
= 1,667.
Следовательно, доходность активов
данной компании равна 20%.
Ответ: доходность активов данной
компании равна 20%.
Задача 16. Компания «Молотокъ»
начинает производить новый продукт. Ее активы, в будущем году достигнут 1 500
000 тысяч рублей, выручка от продаж — 2 400 000 тысяч рублей, рентабельность
продаж — 8%.
Какой предполагается прибыль от
реализации продукции и рентабельность активов?
Решение
По условию данной задачи известны
следующие данные:
Активы данной компании «Молотокъ» —
1 500 000 тысяч рублей;
Выручка от продаж данной компании
«Молотокъ» — 2 400 000 тысяч рублей;
Рентабельность продаж данной
компании «Молотокъ» — 8%.
Найти прибыль и рентабельность
активов данной компании «Молотокъ» — ?
) Найдем коэффициент рентабельности
активов данной компании «Молотокъ» и получим следующий вид уравнения:
;
.
) Найдем коэффициент рентабельности
продаж данной компании «Молотокъ» и получим следующий вид уравнения:
;
.
Отсюда найдем прибыль данной
компании «Молотокъ» и получим следующий вид уравнения: = 0,08 * 2 400 000 = 192 000 тысячи
рублей, = 192 000 тысячи рублей.
= 0,128 = 12,8%;
= 0,128 = 12,8%.
Следовательно, прибыль от реализации
продукции, данной компании «Молотокъ» составляет 192 000 тысячи рублей и
рентабельность активов данной компании «Молотокъ» составляет = 12,8%.
Ответ: прибыль от реализации
продукции, данной компании «Молотокъ» составляет 192 000 тысячи рублей и
рентабельность активов данной компании «Молотокъ» составляет = 12,8%.
Задача 16. Фирма ежегодно
выплачивает процентов по заемному капиталу в размере 20 тысяч рублей. Выручка
от реализации равна 2 миллиона рублей, ставка налога на прибыль — 35%,
рентабельность продаж (реализации) равна 6%. Оцените коэффициент покрытия
процентов по фирме.
Решение
Оценим коэффициент покрытия
процентов по данной фирме и получим следующий вид уравнения: ; где
— это балансовая прибыль (до уплаты
налогов), % — это проценты к выплате по кредитам.
Следовательно,
;
,
где Н — это налог на прибыль.
Найдем рентабельность продаж и
получим следующий вид уравнения:
;
— это величина операционной прибыли
и (прибыли от продаж); — это выручка от продаж
(реализации) продукции; = 2 000 000 рублей из условия
данной задачи.
Следовательно, ;
= 2 000 000 * 0,06 =
= 120 000 рублей, = 120 000 рублей.
.
Поскольку по условию данной задачи
операционных платежей нет, то
;
;
= 120 000 рублей.
Следовательно, .
;
= 184,6 тысяч рублей;
= 184,6 тысяч рублей.
Подставим в исходное уравнение и
получим следующий вид уравнения: = 10,23;
= 10,23.
Следовательно, коэффициент покрытия
процентов по данной фирме составит = 10,23.
Ответ: коэффициент покрытия
процентов по данной фирме составит = 10,23.
Задача 17. Выручка от продаж компании
«Сюрприз» должна составить 950 000 тысяч рублей, оборачиваемость активов — 2,5
раза, рентабельность продаж — 8%. Какой предполагается прибыль и рентабельность
активов?
Решение
По условию данной задачи известны
следующие данные:
Выручка от продаж данной компании
«Сюрприз» — 950 000 рублей;
Оборачиваемость активов данной
компании «Сюрприз» — 2,5 раза;
Рентабельность продаж данной
компании «Сюрприз» — 8%.
Найти прибыль и рентабельность
активов данной компании «Сюрприз» — ?
) Найдем коэффициент оборачиваемости
активов данной компании «Сюрприз» и получим следующий вид уравнения:
;
= 380 000 рублей;
= 380 000 рублей.
) Найдем рентабельность продаж
данной компании «Сюрприз» и получим следующий вид уравнения:
;
= 0,08 * 950 000 = 76 000 рублей,
= 76 000 рублей.
;
= 0,2 = 20%,
= 0,2 = 20%.
Следовательно, прибыль данной
компании «Сюрприз» составит = 76 000 рублей и рентабельность
активов данной компании «Сюрприз» составит = 20%.
Ответ: прибыль данной компании
«Сюрприз» составит = 76 000 рублей и рентабельность
активов данной компании «Сюрприз» составит = 20%.
Задача 18. Прибыль компании
«Норд-Вест» составляет 4,5 миллиона долларов, 1,8 миллионов ее акций размещено
по закрытой подписке. Компания выставляет 250 тысяч акций на продажу. Публичное
размещение должно добавить 2 миллиона долларов к доходу корпорации. Какой будет
коэффициент прибыли на акцию (EPS) до и после публичного предложения?
Решение
До публичного предложения
коэффициент прибыли данной компании «Норд-Вест» составлял следующее: на , (Noa).
До размещения дополнительных акций
данной компанией «Норд-Вест» составлял следующее:
;
=
= 2,5;
= 2,5.
После размещения дополнительных
акций данной компанией «Норд Вест» составлял следующее: ;
=
= 3,12;
= 3,12.
Следовательно, коэффициент прибыли
на акцию (EPS) данной компании «Норд-Вест» до публичного предложения составит = 2,5; и коэффициент прибыли на
акцию (EPS) данной компании «Норд-Вест» после публичного предложения составит = 3,12.
Ответ: коэффициент прибыли на акцию
(EPS) данной компании «Норд-Вест» до публичного предложения составит = 2,5; и коэффициент прибыли на
акцию (EPS) данной компании «Норд-Вест» после публичного предложения составит = 3,12.
Задача 19. Имеется баланс
предприятия ОАО «Радость» на конец отчетного периода.
Таблица 6 — Агрегированный
бухгалтерский баланс ОАО «Радость», миллионов рублей.
|
АКТИВ |
Отчетный |
ПАССИВ |
Отчетный |
|
I. |
414 |
III. |
417 |
|
II. |
45 |
IV. |
0 |
|
Денежные |
5 |
V. |
41 |
|
Всего |
459 |
Всего |
459 |
Таблица 7 — Отчет о прибылях убытках предприятия
ОАО «Радость», миллионов рублей.
|
№ |
Наименование |
Отчетный |
|
1. |
Выручка |
153 |
|
2. |
Себестоимость |
114 |
|
3. |
Операционная |
39 |
|
4. |
Налог |
16 |
|
5. |
Чистая |
22 |
А. Рассчитайте коэффициенты ликвидности.
Б. Рассчитайте коэффициенты управления активами
(деловой активности).
В. Рассчитайте коэффициенты финансовой
устойчивости.
Г. Рассчитайте коэффициенты рентабельности.
Решение
) Найдем коэффициент абсолютной ликвидности
данного предприятия ОАО «Радость» и получим следующий вид уравнения:
,
где ДС — это денежные средства; КФВ
— это краткосрочные финансовые вложения; КО — это краткосрочные обязательства.
Следовательно, получим следующий вид
уравнения:
,
= 0,12 = 12%,
= 0,12 = 12%.
Найдем коэффициент текущей
ликвидности данного предприятия ОАО «Радость» и получим следующий вид
уравнения:
= 1,08;
= 1,08.
Найдем коэффициент срочной
ликвидности данного предприятия ОАО «Радость» и получим следующий вид
уравнения:
,
где ДЗ — это дебиторская
задолженность.
Так как по условию данной задачи не
указана дебиторская задолженность, то получим следующий вид уравнения: = 12%,
= 12%.
) Найдем коэффициент оборачиваемости
активов данного предприятия ОАО «Радость» и получим следующий вид уравнения:
, то есть
= 0,33;
= 0,33; то есть продолжительность
одного оборота активов составляет: = 1 106 дней.
;
= 0,37;
= 0,37.
= 3,39;
= 3,39.
) Найдем коэффициент финансовой
независимости данного предприятия ОАО «Радость» и получим следующий вид
уравнения:
;
= 0,91;
= 0,91; то есть финансирование на
91% осуществляется из собственных средств данного предприятия ОАО «Радость».
;
;
;
= 0,09;
= 0,09.
= 0,1;
= 0,1.
= 9,99;
= 9,99 — показывает возможность
покрытия собственным капиталом заемных средств.
) Найдем коэффициент общей
рентабельности данного предприятия ОАО «Радость» и получим следующий вид уравнения:
;
;
;
;
= 25,5%;
= 25,5%.
= 0,0 485 = 4,85%;
= 0,0 485 = 4,85%.
= 0,1 455 = 14,55%;
= 0,1 455 = 14,55%.
= 0,0 534 = 5,34%;
= 0,0 534 = 5,34%.
Следовательно, А. Коэффициент
абсолютной ликвидности данного предприятия ОАО «Радость» равен = 12%. Коэффициент текущей
ликвидности данного предприятия ОАО «Радость» равен = 1,08.
Б. Коэффициент управления активами
(деловой активности) данного предприятия ОАО «Радость» равен = 0,33. Коэффициент оборачиваемости
долгосрочных (внеоборотных) активов данного предприятия ОАО «Радость» равен = 0,37. Коэффициент оборачиваемости
текущих активов данного предприятия ОАО «Радость» равен = 3,39.
В. Коэффициент финансовой
независимости данного предприятия ОАО «Радость» равен = 0,91. Коэффициент финансовой
напряженности данного предприятия ОАО «Радость» равен = 0,09. Коэффициент задолженности
данного предприятия ОАО «Радость» равен = 0,1. Коэффициент финансирования
данного предприятия ОАО «Радость» равен = 9,99.
Г. Коэффициент общей рентабельности
данного предприятия ОАО «Радость» равен = 25,5%. Коэффициент рентабельности
активов данного предприятия ОАО «Радость» равен = 0,0 485 = 4,85%. Рентабельность
продаж данного предприятия ОАО «Радость» равен = 0,1 455 = 14,55%. Рентабельность
собственного капитала данного предприятия ОАО «Радость» равен = 0,0 534 = 5,34%.
Ответ: А. Коэффициенты абсолютной
ликвидности данного предприятия ОАО «Радость» равен = 12%. Коэффициент текущей
ликвидности данного предприятия ОАО «Радость» равен = 1,08.
Б. Коэффициент управления активами
(деловой активности) данного предприятия ОАО «Радость» равен = 0,33. Коэффициент оборачиваемости
долгосрочных (внеоборотных) активов данного предприятия ОАО «Радость» равен = 0,37. Коэффициент оборачиваемости
текущих активов данного предприятия ОАО «Радость» равен = 3,39.
В. Коэффициент финансовой
независимости данного предприятия ОАО «Радость» равен = 0,91. Коэффициент финансовой
напряженности данного предприятия ОАО «Радость» равен = 0,09. Коэффициент задолженности
данного предприятия ОАО «Радость» равен = 0,1. Коэффициент финансирования
данного предприятия ОАО «Радость» равен = 9,99.
Г. Коэффициент общей рентабельности
данного предприятия ОАО «Радость» равен = 25,5%. Коэффициент рентабельности
активов данного предприятия ОАО «Радость» равен = 0,0 485 = 4,85%. Рентабельность
продаж данного предприятия ОАО «Радость» равен = 0,1 455 = 14,55%. Рентабельность
собственного капитала данного предприятия ОАО «Радость» равен = 0,0 534 = 5,34%.
Задача 20. Валюта баланса
предприятия равна 6 000 тысяч рублей, в том числе заемные средства составляют
60%. Найти коэффициент автономии и финансового рычага
Решение
По условию данной задачи известны
следующие данные:
Валюта баланса данного предприятия —
6 000 тысяч рублей;
Заемные средства данного предприятия
— 60%.
Найти коэффициент автономии и
финансового рычага — ?
Поскольку в данном условии задачи не
указано иного, считаем что:
.
Отсюда получим следующий вид
уравнения:
= 3 600 тысяч рублей,
= 3 600 тысяч рублей.
= 2 400 тысяч рублей,
= 2 400 тысяч рублей;

;
= 0,4 = 40%,
= 0,4 = 40%.
= 1,5;
= 1,5;
то есть на 1 рубль собственных средств
данным предприятием было привлечено 1,5 рубля из заемных источников.
Следовательно, коэффициент автономии
данного предприятия равен = 40% и коэффициент финансового
рычага данного предприятия равен = 1,5.
Ответ: коэффициент автономии данного
предприятия равен = 40% и коэффициент финансового
рычага данного предприятия равен = 1,5.
Задача 21. Рассчитать коэффициенты
автономии и финансовой устойчивости предприятия и дать оценку его финансовой
устойчивости, если собственные средства предприятия выросли с 25 000 тысяч
рублей до 32 000 тысяч рублей, а валюта баланса выросла с 48 000 тысяч рублей
до 80 000 тысяч рублей
Решение
По условию данной задачи нам
известны следующие данные:
= 25 000 тысяч рублей;
= 32 000 тысяч рублей;
= 48 000 тысяч рублей;
= 80 000 тысяч рублей.
Необходимо рассчитать коэффициенты
автономии и финансовой устойчивости данного предприятия и дать оценку его
финансовой устойчивости — ?
— показывает удельный вес
собственных средств в общей сумме источников финансирования.
Найдем коэффициент автономии
(финансовой независимости) данного предприятия в начале периода и получим
следующий вид уравнения:
= 0,5 208;
= 0,5 208.
Найдем коэффициент автономии
(финансовой независимости) данного предприятия в конце периода и получим
следующий вид уравнения:
= 0,4;
= 0,4.
Поскольку в условии данной задачи
нет дополнительных указаний, будем считать, что
;
= 13 000 тысяч рублей;
= 13 000 тысяч рублей.
= 48 000 тысяч рублей,
= 48 000 тысяч рублей.
Определим коэффициент финансовой
напряженности данного предприятия и получим следующий вид уравнения:
.
Найдем коэффициент финансовой
напряженности данного предприятия в начале периода и получим следующий вид
уравнения:
= 0,271;
= 0,271.
Найдем коэффициент финансовой
напряженности данного предприятия в конце периода и получим следующий вид
уравнения:
= 0,6;
= 0,6.
.
Найдем коэффициент финансирования
данного предприятия в начале периода и получим следующий вид уравнения: = 1,923;
= 1,923.
Найдем коэффициент финансирования
данного предприятия в конце периода и получим следующий вид уравнения: = 0,667;
= 0,667.
.
Найдем коэффициент задолженности
данного предприятия в начале периода и получим следующий вид уравнения: = 0,52;
= 0,52.
Найдем коэффициент задолженности
данного предприятия в конце периода и получим следующий вид уравнения: = 1,5;
= 1,5.
Следовательно, к концу отчетного
периода, несмотря на увеличения собственных средств данного предприятия,
значительно увеличилась его зависимость от средств, привлеченных извне, и
уменьшилась возможность покрытия собственным капиталом заемных средств. Как
следствие можно считать уменьшение финансовой устойчивости данного предприятия.
Ответ: коэффициент в начале периода
равен = 0,5 208; коэффициент в конце
периода равен = 0,4; коэффициент финансовой
напряженности данной компании в начале периода равен = 0,271; коэффициент финансовой
напряженности данной компании в конце периода равен = 0,6; коэффициент финансирования
данной компании в начале периода равен = 1,923; коэффициент финансирования
данной компании в конце периода равен = 0,667; коэффициент задолженности
данной компании в начале периода равен = 0,52; коэффициент задолженности
данной компании в конце периода равен = 1,5.
Вывод: к концу отчетного периода,
несмотря на увеличения собственных средств данного предприятия, значительно
увеличилась его зависимость от средств, привлеченных извне, и уменьшилась
возможность покрытия собственным капиталом заемных средств. Как следствие можно
считать уменьшение финансовой устойчивости данного предприятия.
Задача 22. Коэффициент
оборачиваемости активов компании «Вектор» снизился за отчетный период с 7,2 до
6,0. Найти изменение срока оборота в днях (период — 360 дней). Сделать вывод
Решение
Найдем коэффициент оборачиваемости
активов данной компании «Вектор» и получим следующий вид уравнения:
— показывает скорость оборота
активов данной компании «Вектор».
= 7,2 — это продолжительность
одного оборота; = 50 дней.
= 6,0 — это продолжительность
одного оборота; = 60 дней.
Срок оборота активов увеличился на
10 дней. Это может свидетельствовать о сокращении объема продаж товаров и / или
услуг в 1,2 раза, например вследствие появления конкурента и / или снижения
цены на товары (услуги).
Также это может свидетельствовать об
увеличении активов данной компании «Вектор», например приобретении имущества не
связанного с прямым производством товаров (услуг).
Следовательно, изменение срока
оборота в днях (период — 360 дней) срок оборота активов увеличился на 10 дней.
Это может свидетельствовать о сокращении объема продаж товаров и / или услуг в
1,2 раза, например вследствие появления конкурента и / или снижения цены на
товары (услуги).
Также это может свидетельствовать об
увеличении активов данной компании «Вектор», например приобретении имущества не
связанного с прямым производством товаров (услуг).
Ответ: срок оборота активов
увеличился на 10 дней. Это может свидетельствовать о сокращении объема продаж
товаров и / или услуг в 1,2 раза, например вследствие появления конкурента и /
или снижения цены на товары (услуги).
Также это может свидетельствовать об
увеличении активов данной компании «Вектор», например приобретении имущества не
связанного с прямым производством товаров (услуг).
Задача 23. Объем работ составляет 1
200 тысяч рублей, себестоимость — 800 тысяч рублей, остаток дебиторской задолженности
60 тысяч рублей, остаток кредиторской задолженности — 100 тысяч рублей. Найти
периоды погашения дебиторской и кредиторской задолженности, сравнить и сделать
выводы. Срок — квартал (90 дней).
Решение
) Найдем коэффициент оборачиваемости
дебиторской задолженности и получим следующий вид уравнения:

;
.
) Найдем выручку и получим следующий
вид уравнения:
;
= 1 200 — 800 = 400 тысяч рублей,
= 400 тысяч рублей;
= 6,667;
= 6,667.
) Найдем период погашения
дебиторской задолженности и получим следующий вид уравнения: = 13,5 дней;
= 13,5 дней.
) Найдем период погашения
кредиторской задолженности и получим следующий вид уравнения:
,
где СПР — это себестоимость работ;
КЗ — это кредиторская задолженность. ;
= 11,25 дней;
= 11,25 дней.
Вывод: период погашения дебиторской
задолженности превышает период погашения кредиторской задолженности. Такая
ситуация может рассматриваться положительно, но только в том случае если
невелика доля просроченных платежей.
В противном случае может
образоваться дефицит платежных средств, что приведет к росту кредиторской
задолженности и в конечном итоге к неплатежеспособности данного предприятия.
Следовательно, период погашения
дебиторской задолженности равен = 13,5 дней; период погашения
кредиторской задолженности равен = 11,25 дней.
Ответ: период погашения дебиторской
задолженности равен = 13,5 дней; период погашения
кредиторской задолженности равен = 11,25 дней.
Вывод: период погашения дебиторской
задолженности превышает период погашения кредиторской задолженности. Такая
ситуация может рассматриваться положительно, но только в том случае если
невелика доля просроченных платежей.
В противном случае может
образоваться дефицит платежных средств, что приведет к росту кредиторской
задолженности и в конечном итоге к неплатежеспособности данного предприятия.
Задача 24. Оцените рыночную
активность фирмы «Агротех», если известно, что чистая прибыль составляет 200
миллионов рублей, прибыль от продаж — 400 миллионов рублей, в обращении
находится 1 миллион акций, рыночная цена за акцию — 300 рублей, к выплате
дивидендов планируется 50% прибыли, выручка от продаж — 2 миллиарда рублей,
собственный капитал компании по балансу — 500 миллионов рублей, величина
активов 1,5 миллиардов рублей.
Решение
) Найдем коэффициент прибыли на 1
акцию и получим следующий вид уравнения:
= 200 рублей / акции,
= 200 рублей / акции,
где ЧП — это чистая прибыль; — это количество акций.
) Найдем коэффициент «дивиденд на
акцию» и получим следующий вид уравнения:
;
= 200 миллионов рублей;
= 200 рублей,
= 200 рублей.
) Найдем коэффициент ценность акции
и получим следующий вид уравнения:
= 1,5;
= 1,5;
где — это цена акции;
— это прибыль на 1 акцию (EPS).
Следовательно, чем выше показатель,
тем выше оценка перспективы развития данной компании и ожидаемый рост доходов и
дивидендов.
) Найдем коэффициент полной
доходности акции и получим следующий вид уравнения:
= 0,667;
= 0,667 — показывает потенциальную
доходность акции. Отражает уровень доходности, который необходимо обеспечить
данной компании для привлечения инвесторов.
) Найдем коэффициент дивидендной
доходности акции и получим следующий вид уравнения:
= 0,667;
= 0,667 — данный показатель важен
для инвесторов, которые заинтересованы в получении регулярных доходов от данной
компании.
) Найдем коэффициент котировки акции
и получим следующий вид уравнения:
;
где B — это
балансовая стоимость акции;
= 1 500 рублей,
= 1 500 рублей, где
ЧА — это чистые активы. = 0,2;
= 0,2; 0,2 < 1.
Следовательно, если данное значение
меньше 1, то есть 0,2 < 1 это свидетельствует о неэффективном управлении
инвестициями.
) Найдем коэффициент выплат
дивидендов и получим следующий вид уравнения:
= 1,
= 1 — показывает, что в отчетном
периоде данная компания получила достаточно прибыли для выплат по дивидендам.
Следовательно, рыночная активность
фирмы «Агротех» свидетельствует о неэффективном управлении инвестициями;
= 1 — показывает, что в отчетном
периоде данная компания получила достаточно прибыли для выплат по дивидендам.
Ответ: рыночная активность фирмы
«Агротех» свидетельствует о неэффективном управлении инвестициями;
= 1 — показывает, что в отчетном
периоде данная компания получила достаточно прибыли для выплат по дивидендам.
Задача 25. На основе приведенных
ниже данных рассчитать эффект финансового рычага и сделать вывод.
Таблица 8
|
Показатель |
Вариант |
|||
|
А |
Б |
В |
Г |
|
|
Сумма |
100 |
130 |
160 |
190 |
|
собственный, |
100 |
100 |
100 |
100 |
|
заемный, |
0 |
30 |
60 |
90 |
|
Рентабельность |
21 |
21 |
21 |
21 |
|
Процент |
18 |
18 |
18 |
18 |
|
Премия |
0 |
0 |
1 |
1,5 |
|
Ставка |
||||
|
Прибыль |
21,00 |
27,30 |
33,60 |
39,90 |
|
Проценты |
||||
|
Прибыль |
||||
|
Ставка |
20 |
20 |
20 |
20 |
|
Сумма |
||||
|
Сумма |
||||
|
Финансовый |
||||
|
Коэффициент |
Решение
) Найдем ставку процента за кредит с учетом
риска и получим следующий вид уравнения:
.
А: 18 + 0 = 18; Б: 18 + 0 = 18; В:
18 + 1 = 19; Г: 18 + 1,5 = 19,5.
) Найдем проценты к уплате и получим
следующий вид уравнения:

А: 0 * 18 = 0; Б: 30 * 0,18 = 5,4;
В: 60 * 0,19 = 11,4; Г: 90 * 0,195 = 17,55.
) Найдем прибыль до налогообложения
и получим следующий вид уравнения:

А: 21 — 0 = 21; Б: 27,3 — 5,4 =
21,9; В: 33,6 — 11,4 = 22,2; Г: 39,9 — 17,55 =
= 22,35.
) Найдем сумму налога на прибыль и
получим следующий вид уравнения:

А: 21 * 0,2 = 4,2; Б: 21,9 * 0,2 =
4,38; В: 22,2 * 0,2 = 4,44; Г: 22,35 * 0,2 = 4,47.
) Найдем сумму чистой прибыли и
получим следующий вид уравнения:
.
А: 21 — 4,2 = 16,8; Б: 21,9 — 4,38 =
17,52; В: 22,2 — 4,44 = 17,76; Г: 22,35 — 4,47 = 17,88.
) Найдем финансовый рычаг и получим
следующий вид уравнения:
,
где n — это
ставка налога на прибыль; ЭР — это рентабельность активов.
,
где СП — это ставка по кредиту;
ЗК — это заемный капитал; СК — это
собственный капитал.
А: = 0;
Б: = 0,8 * 0,03 * 0,3 = 0,0 072;
В: = 0,8 * 0,02 * 0,6 = 0,0 096;
Г: = 0,8 * 0,015 * 0,9 = 0,0 108.
) Найдем коэффициент рентабельности
собственного капитала и получим следующий вид уравнения:

А: = 16,8%; Б:
= 17,52%; В:
= 17,76%; Г:
= 17,88%.
Следовательно, внесем полученные
нами данные в следующий вид таблицы и получим:
Таблица 9
|
Показатель |
Вариант |
|||
|
А |
В |
Г |
||
|
Сумма |
100 |
130 |
160 |
190 |
|
собственный, |
100 |
100 |
100 |
100 |
|
заемный, |
0 |
30 |
60 |
90 |
|
Рентабельность |
21 |
21 |
21 |
21 |
|
Процент |
18 |
18 |
18 |
18 |
|
Премия |
0 |
0 |
1 |
1,5 |
|
Ставка |
18 |
18 |
19 |
19,5 |
|
Прибыль |
21,00 |
27,30 |
33,60 |
39,90 |
|
Проценты |
0 |
5,4 |
11,4 |
17,55 |
|
Прибыль |
21 |
21,9 |
22,2 |
22,35 |
|
Ставка |
20 |
20 |
20 |
20 |
|
Сумма |
4,2 |
4,38 |
4,44 |
4,47 |
|
Сумма |
16,8 |
17,52 |
17,76 |
17,88 |
|
Финансовый |
0 |
0,72 |
0,96 |
1,08 |
|
Коэффициент |
16,8 |
17,52 |
17,76 |
17,88 |
Следовательно, данный расчет показывает, что чем
выше значение финансового рычага, тем выше рентабельность собственного
капитала. Отсюда наиболее оптимальной структурой капитала является вариант Г.
Ответ: данный расчет показывает, что чем выше
значение финансового рычага, тем выше рентабельность собственного капитала.
Отсюда наиболее оптимальной структурой капитала является вариант Г.
Задача 26. Посчитать основные показатели
эффективности инвестиционного проекта и выбрать наиболее предпочтительный
проект для инвестирования, если известно, что проект А стоимостью 15 тысяч
долларов должен принести 12 тысяч долларов прибыли в первый год реализации и 9
тысяч долларов во второй год; а проект В стоимостью 20 тысяч долларов — 12
тысяч долларов и 16,2 тысяч долларов соответственно. Оба проекта рассчитаны на
2 года реализации; ставка дисконта равна 20% годовых.
Решение
По условию данной задачи нам известны следующие
данные и занесем их в следующую таблицу:
Таблица 10
|
Проект |
Стоимость |
Прибыль |
Прибыль |
|
А |
15 |
12 |
9 |
|
В |
20 |
12 |
16,2 |
Ставка дисконта 20% годовых.
Рассчитаем срок окупаемости инвестиций по
следующему виду уравнения:
,
где i — это
ставка дисконтирования;
— это денежный поток на первом
шаге; — это начальные инвестиции
(стоимость проекта). ;
= 16,25;
= 16,25; 15 ≤ 16,25; верно, следовательно,
данный проект окупается в течение второго года.
Если предположить, что денежные
средства в течение года поступают равномерно, то определим точный период
окупаемости для проекта A и получим следующий вид уравнения: = 1,86 года;
= 1,86 года.
Аналогично рассчитаем для проекта B и получим
следующий вид уравнения: = 21,11 года;
= 21,11 года; верно, следовательно
данный проект окупается в течение второго года.
= 1,93 года;
= 1,93 года.
Найдем коэффициент эффективности
инвестиций и получим следующий вид уравнения: ; в данной задаче остаточной
стоимости проекта не указано, поэтому считаем следующее: L * V = 0, где
AI — это
среднегодовая прибыль; I — это инвестиции.

= 8%;

= 5,55%.
Найдем чистую приведенную стоимость
данного проекта и получим следующий вид уравнения:
.
Для проекта A получим
следующий вид уравнения:
= 1,25;
= 1,25.
Для проекта B получим
следующий вид уравнения:
= 1,11;
= 1,11.
Следовательно, исходя из
рассчитанных показателей можно сделать вывод, что проект A более
предпочтительный для инвестирования, так как его срок окупаемости меньше, а
эффективность инвестиций выше и итоговая прибыль по данному проекту получится
выше, чем у проекта B.
Ответ: проект A более
предпочтительный для инвестирования, так как его срок окупаемости меньше, а
эффективность инвестиций выше и итоговая прибыль по проекту получится выше, чем
у проекта B.
прибыль акция актив инвестиционный
Задача 27. Фирма «Laziolat» планирует осуществить
инвестиционные вложения. Ей представляется возможность выбора между двумя
проектами. Объем инвестиционных вложений по обоим проектам составляет 10
миллионов рублей. Горизонт инвестирования — 5 лет. В таблице ниже представлена
обобщающая характеристика денежных потоков, ожидаемых к получению в течение
всего срока реализации проектов (величина денежного потока представлена на
конец периода). Ставка дисконтирования составляет 18%.
Используя представленную выше информацию,
сделайте выбор между проектом A и B.
Таблица 11
|
Период |
1 |
2 |
3 |
4 |
5 |
|
Денежный |
2 |
3 |
3 |
4 |
4 |
|
Денежный |
4 |
3 |
3 |
2 |
2 |
Решение
Определим срок окупаемости
инвестиций по данным проектам A и B и получим следующий вид уравнения: A: =
= 10 440. = 4,9 года;
= 4,9 года.
B: = 9,899.
Следовательно, исходя из проведенных
расчетов, приходим к выводу, что данный проект B данной
фирмы «Laziolat» не окупается. Следовательно, инвестировать в данной фирме
«Laziolat» следует проект A.
Ответ: исходя из проведенных
расчетов, приходим к выводу, что данный проект B данной
фирмы «Laziolat» не окупается. Следовательно, инвестировать в данной фирме
«Laziolat» следует проект A.
Задача 28. Предприятие «Technopolis»
инвестировало в новое производство 30 тысяч денежных единиц. Чистые денежные
потоки по годам реализации проекта составят 10 тысяч рублей; 11,7 тысяч рублей;
12,8 тысяч рублей; 12,9 тысяч рублей в год. На основании представленных данных
рассчитайте:
Дисконтированный период окупаемости;
Чистый дисконтированный доход
проекта.
Сделайте вывод об эффективности /
неэффективности реализации проекта при условии, что ставка дисконтирования
составляет 20%.
Решение
Занесем известные нам данные данной
задачи в следующий вид таблицы:
Таблица 12
|
Год |
1 |
2 |
3 |
4 |
|
Чистые |
10 |
11,7 |
12,8 |
12,9 |
= 30 тысяч D.E. Ставка
дисконтирования — 20%.
Определим дисконтированный период
окупаемости и получим следующий вид уравнения:
Чистый дисконтированный доход: = 30,09; 30,09 > 30.
Из данных расчетов видно, что данный
проект данного предприятия «Technopolis» окупится на пятом году. Определим
более точно, исходя из равномерности поступления дохода, и получим следующий вид
уравнения:
= 4,986 года;
= 4,986 года.
Следовательно, из полученных
результатов можно сделать вывод об эффективной реализации данного предприятия
«Technopolis» проекта инвестирования производства.
Ответ: из полученных результатов
можно сделать вывод об эффективной реализации данного предприятия «Technopolis»
проекта инвестирования производства.
Задача 29. Продавец планирует
продажу плакатов для туристов по 3,5 долларов за штуку. Он может приобрести
плакаты у оптовика по 2,1 доллара и возвратить непроданные плакаты за полную
стоимость. Аренда палатки обойдется в 700 долларов за неделю. Ответьте на
следующие вопросы:
а) Определите точку безубыточности;
б) Как изменится точка
безубыточности, если арендная плата повысится до 1 050 долларов?
в) Как изменится точка
безубыточности, если удастся увеличить цену реализации с 3,5 долларов до 3,85
долларов?
Решение
А) Точка безубыточности определяется
как отношение постоянных издержек к разнице между ценой и переменными
издержками на единицу продукции.
Следовательно, получим следующий вид
уравнения:
,
где FC — это
аренда палатки; P — это цена продажи плаката; VC — это цена
закупки плаката. = 500 штук,
= 500 штук.
Для безубыточности продавец должен
продавать не менее 500 плакатов в неделю.
Б) Если FC = 1 050
долларов, то = 750 штук,
= 750 штук, то есть продажи
необходимо будет увеличить на 250 штук в неделю.
В) Если цена равна 3,85; то P = 3,85
долларов, = 400,
= 400, то есть точка безубыточности
снизится на 100 плакатов в неделю.
Следовательно, а) точка
безубыточности равна = 500 штук, то есть для
безубыточности продавец должен продавать не менее 500 плакатов в неделю; б)
точка безубыточности изменится, если арендная плата повысится до 1 050 долларов
на = 750 штук, то есть продажи
необходимо будет увеличить на 250 штук в неделю; в) точка безубыточности
изменится, если удастся увеличить цену реализации с 3,5 долларов до 3,85
долларов будет равна = 400, то есть точка безубыточности
снизится на 100 плакатов в неделю.
Ответ: а) точка безубыточности равна
= 500 штук, то есть для
безубыточности продавец должен продавать не менее 500 плакатов в неделю; б)
точка безубыточности изменится, если арендная плата повысится до 1 050 долларов
на = 750 штук, то есть продажи
необходимо будет увеличить на 250 штук в неделю; в) точка безубыточности
изменится если удастся увеличить цену реализации с 3,5 долларов до 3,85
долларов будет равна = 400, то есть точка безубыточности
снизится на 100 плакатов в неделю.
Задача 30. Заполните таблицу.
Таблица 13
|
Объем |
Переменные |
Постоянные |
Суммарные |
Прибыль |
|
800 |
900 |
400 |
||
|
4 |
500 |
200 |
||
|
3 |
1 |
2 |
||
|
1 |
200 |
1 |
Решение
Получим следующий вид уравнения:
.
.
Для первой строки получим следующий
вид уравнения:
,
;
= 1 300,
= 1 300.
Для второй строки получим следующий
вид уравнения:
= 3 800,
= 3 800;
= 3 300,
= 3 300.
Для третьей строки получим следующий
вид уравнения:
= 500,
= 800,
= 800.
Для четвертой строки получим
следующий вид уравнения:
= 0,
= 0;
= 800,
= 800.
Заполним следующий вид таблицы
полученными данными:
Заполненная Таблица
Таблица 14
|
Объем |
Переменные |
Постоянные |
Суммарные |
Прибыль |
|
130 |
800 |
100 |
900 |
400 |
|
4 |
3 |
500 |
3 |
200 |
|
3 |
1 |
800 |
2 |
500 |
|
1 |
800 |
200 |
1 |
0 |
Следовательно, заполнили таблицу.
Ответ: заполнили таблицу.
Задача 31. Фирма «Прогресс» выпускает
металлические каркасы. Производственные издержки составляют 120 000 руб./шт.,
цена — 200 000 руб./шт., переменные издержки на сбыт 14 000 руб./шт.,
постоянные издержки 8 000 руб./шт. В настоящее время фирма выпускает 10 000
каркасов. Определить:
а) Себестоимость основного производства;
б) Фактическую прибыль.
Решение
А) Найдем себестоимость производства данной
фирмы «Прогресс» и получим следующий вид уравнения:
;
СП = 120 000 * 10 000 = 1 200
миллионов рублей, СП = 1 200 миллионов рублей.
Б) Найдем фактическую прибыль данной
фирмы «Прогресс» и получим следующий вид уравнения: Фактическая прибыль равна
разнице между доходом от продажи каркасов и суммарными издержками.
(200000-120000-14000-8000)*10000=58000*
10 000 = 580 мил. рублей,
= 580 миллионов рублей.
Следовательно, а) себестоимость
основного производства данной фирмы «Прогресс» равна СП = 1 200 миллионов
рублей; б) фактическая прибыль данной фирмы «Прогресс» равна 580 миллионов
рублей.
Ответ: а) себестоимость основного
производства данной фирмы «Прогресс» равна СП = 1 200 миллионов рублей; б)
фактическая прибыль данной фирмы «Прогресс» равна 580 миллионов рублей.























