Прямое урегулирование убытков в автостраховании. Проблемы клиента и страховщика (на примере ОАО ‘Россгострах’)
Прямое
урегулирование убытков в автостраховании. Проблемы клиента и страховщика (на
примере ОАО «Россгострах»)
Оглавление
Введение
1. Теоретические основы прямого
урегулирования убытков в автостраховании
1.1 Процедура
прямого возмещения убытков по ОСАГО
.2 Зарубежный
опыт ПВУ в автостраховании
.3
Законодательная база ПВУ по ОСАГО
2. Оценка деятельности ООО
«Россгострах» по прямому урегулированию убытков в автостраховании
2.1
Характеристика ООО «Россгострах»
.2 Анализ
реализации процесса ПВУ в ООО «Росгосстрах»
.3
Рекомендации по совершенствованию реализации механизма ПВУ
Заключение
Введение
Уже на протяжении более чем десяти лет (с 1 июля 2003 года) владельцы
автомобильных транспортных средств обязаны страховать свою гражданскую
ответственность на случай причинения вреда жизни, здоровью или имуществу других
лиц. Ежегодно автопарк растет (в 2013 году, по данным Российского Союза
Автостраховщиков (РСА), прирост составил 2,8 млн.единиц), соответственно росту
подлежало и количество заключенных договоров ОСАГО. Растет также число
страховых случаев: в 2013 году к страховщикам обратились 2,7 млн. потерпевших,
что на 5,5% больше, чем в 2012 году. Объем выплат по ОСАГО в 2013 году составил
78,1 млрд. руб. (в 2012 году — 62,2 млрд. руб.) [23].
Продажа полисов ОСАГО в 2014 году, по данным РСА, выросли на 11,2% до
150,3 млрд. руб. Выплаты увеличились на 13,6% по сравнению с 2013 годом и
составили 88,8 млрд. руб. [23]
Одновременно текущая ситуация не устраивает ни страховщиков, ни страхователей:
первые жалуются на растущие объемы выплат при практически не меняющейся ставке
страховых тарифов, вторые — на небольшие суммы компенсаций.
За последний год в сфере ОСАГО произошли достаточно серьезные перемены —
с 1 сентября 2014 года вступил в силу Федеральный закон «О внесении
изменений в страховании гражданской ответственности владельцев транспортных
средств» и отдельные законодательные акты Российской Федерации» [5].
Предусмотренные данные нормативным актом изменения затрагивают обширный перечень
вопросов, начиная от оформления договора ОСАГО, заканчивая процедурой
урегулирования страховых споров. Стоит заметить, что не все положения Закона
действуют с начала осени, некоторые вступили в силу со 2 августа 2014 году, а
для ряда иных предусмотрены еще несколько дат вплоть до 2019 года. Одним из
таких изменений является изменение в порядке прямого возмещения убытков.
До 2014 года в России действовала альтернативная классическая схема
урегулирования, которая продемонстрировала свою неэффективность по причине
широкого распространения селекции убытков, также недовольство страхователей
выражено в суммах выплат по страхованию. Изменение в порядке расчетов
«фиксов», в свою очередь, порождает постоянные колебания в финансовых
результатах страховых компаний.
Актуальность данного исследования обуславливается тем, что ввод
бельгийской системы расценивается как способ преодоления накопившихся в ОСАГО
проблем. Поэтому крайне важным является более подробное изучение этого подхода
с учетом текущей практики урегулирования убытков.
Целью данной выпускной квалификационной работы является анализ практики
реализации прямого урегулирования убытков в автостраховании и предложение
рекомендаций по совершенствованию данной процедуры.
Для достижения поставленной цели необходимо решить следующие задачи:
. рассмотреть теоретическую базу прямого урегулирования убытков в
автостраховании;
. проанализировать ключевые изменения в нормативной базе в сфере
прямого урегулирования убытков;
. рассмотреть эффективность реализации процедуры прямого
возмещения убытков в ООО «Росгосстрах»;
. предложить рекомендации по совершенствованию процедуры прямого
возмещения убытков.
Объектом исследования является возмещение убытков по обязательному
страхованию автогражданской ответственности. Предмет исследования — отношения,
возникающие при реализации процедуры прямого возмещения убытков по ОСАГО.
Теоретическую основу работы составили фундаментальные труды российских и
зарубежных ученых по теории и проблемам организации ОСАГО, государственного
регулирования ОСАГО, разработки механизма ОСАГО, методологии расчета ущерба и
страхового возмещения; нормативные и законодательные акты, регламентирующие
порядок организации отношений между участниками ОСАГО.
Обеспечением доказательности положений и достоверности результатов
исследования явились аналитические материалы Министерства финансов Российской
Федерации, Федеральной службы страхового надзора, Федеральной службы
государственной статистики, Российского союза автостраховщиков, ГИБДД РФ,
Федеральной антимонопольной службы РФ и др.
Общими теоретическими и методологическими вопросами организации данного
вида страхования в своих работах занимались такие отечественные и зарубежные
ученые, как Архипов А.П., Братусь С.Н., Гомелля В.Б., Дедиков С.В., Дюжиков
Е.Ф., Зубец А.Н., Ивашкин Е.И., Казаков С.А., Качалова Е.Ш., Коломин Е.В.,
Лемер Ж., Манес А., Орланюк-Малицкая Л.А., Паттерсон Е., Плешков А.П.,
Рассолова Т.М., Рябикин В.И., Саватье Р., Тархов В.А., Турбина К.Е., Федорова
Т.А., Шахов В.А., Шевчук В.А., Шихов А.К. и др.
Структура работы состоит из введения, трех глав, заключения и списка
литературы.
Во введении рассмотрена актуальность выбранной темы, определены цель и
задачи, объект и предмет исследования, методологическая, методологическая и
эмпирическая базы работы, научная новизна и структура работы.
Первая глава посвящена анализу теоретической основы прямого
урегулирования убытков, в частности, рассмотрена процедура возмещения убытков
по обязательному страхованию автогражданской ответственности, изучен зарубежный
опыт и нормативная база.
Вторая глава содержит анализ эффективности реализации процедуры прямого
возмещения убытков в страховой компании ООО «Росгосстрах».
Третья глава работы содержит анализ основных проблем реализации прямого
возмещения убытков и перспективы развития данного института в России.
Заключение обобщает основные выводы работы.
1.
Теоретические основы прямого урегулирования убытков в автостраховании
1.1 Процедура
прямого возмещения убытков по ОСАГО
За последние 20 лет произошел значительный рост уровня автомобилизации
населения России, особенно это свойственно экономически развитым регионам
страны. Рост количества автомашин на дорогах обусловил и количество аварий,
что, в свою очередь, сделало необходимым создание определенного механизма защиты
здоровья и имущества потерпевших в дорожно-транспортных происшествиях (ДТП)
людей от действий третьих лиц. Такого рода механизмом послужило обязательное
страхование автогражданской ответственности (ОСАГО), введенное Федеральным
законом №40-ФЗ от 25 апреля 2002 года [4]. В соответствии с данным актом для
управления любым транспортным средством любой водитель обязан застраховать свою
ответственность перед другими участниками дорожного движения. При наступлении
ДТП причиненный ущерб или его часть будет возмещать не сам виновник, а
застраховавшая его ответственность страховая компания. Неотъемлемой частью
закона являются Правила страхования ОСАГО, которые регламентируют покрываемые
риски, а также лимиты, в рамках которых производится возмещение. Например, если
в ДТП участвовало две машины, то лимит на возмещение стоимости ремонта
транспортного средства (ТС) составляет 120 тысяч рублей.
Определим, какие именно убытки покрывает ОСАГО. В соответствии с
Федеральным законом №40-ФЗ [4] объектом обязательного страхования являются
имущественные интересы, связанные с риском гражданской ответственности
владельца транспортного средства по обязательствам, возникающим вследствие
причинения вреда жизни, здоровью или имуществу потерпевших при использовании
транспортного средства на территории Российской Федерации [4]. Таким образом,
приобретая полис ОСАГО, водитель страхует свою ответственность перед другими
участниками дорожного движения. В случае если по его вине наносится вред
имуществу, жизни или здоровью третьих лиц, то убыток оплачивает застраховавшая
его организация. Безусловно, существуют определенные лимиты возмещения, которые
регламентируются правилами страхования ОСАГО.
Страховая сумма, в пределах которой страховщик при наступлении каждого
страхового случая (независимо от их числа в течение срока действия договора
обязательного страхования) обязуется возместить потерпевшим причиненный вред,
составляет (ст. 7) [4]:
1) в части возмещения вреда, причиненного жизни
или здоровью каждого потерпевшего, не более 160 тысяч рублей;
) в части возмещения вреда, причиненного
имуществу каждого потерпевшего, 400 тысяч рублей.
С 1 апреля 2015 года вступают в силу изменения в
ОСАГО, касающиеся выплат за вред, причиненный жизни и здоровью, в частности,
увеличится лимит с 160 тысяч до 500 тысяч рублей.
У потерпевшего есть несколько способов получения
страхового возмещения. Первый способ предполагает, что потерпевший обращается с
заявлением в страховую компанию виновника. Она производит уточнение
обстоятельств ДТП, осмотр потерпевшего транспортного средства и осуществляет
расчет размера страхового возмещения. Такая схема в текущей практике, хотя и
является основной, но зачастую оказывается для потерпевшего неудобной и
невыгодной. Главной проблемой такого подхода является то, что потерпевший
вынужден общаться с совершенно чужой для него компанией. А для страховой
компании виновника нет совершенно никаких стимулов для предоставления
потерпевшему, как качественного сервиса, так и выплаты адекватного размера. На
практике известны такие парадоксальные ситуации, когда потерпевший даже просто
не мог найти офис малоизвестной страховой компании для подачи заявления.
Для решения подобных проблем в 2009 году была введена альтернатива
классической схеме урегулирования — прямое возмещение ущерба (ПВУ). Прямое
возмещение убытков представляет собой новый институт обязательного страхования,
который подразумевает возмещение вреда имуществу потерпевшего страховщиком,
осуществляемое в соответствии с Федеральным Законом «Об обязательном
страховании автогражданской ответственности» [4], заключившим с
потерпевшим владельцем транспортного средства договор обязательного
страхования.
По своей природе институт прямого возмещения убытков является публичным
институтом, созданным для защиты имущественных интересов определенной группы
потерпевших. Его осуществление представляло собой право (а не обязанность)
потерпевшего и обязанность для страховщиков.
При возникновении страхового случая потерпевший обращается за деньгами в
свою страховую компанию напрямую. Потом уже без участия потерпевшего между
страховыми компаниями происходит взаиморасчет. Такая система создает
необходимые условия для более качественного урегулирования, так как для
страховой компании потерпевший в первую очередь является клиентом, к которому
необходимо относиться максимально лояльно. Если клиент останется всем доволен,
то и в следующем году он «проголосует» рублем за свою текущую
компанию, а может даже приобретет другие страховые продукты. Естественно при
таком подходе компании потерпевшего необходимо соблюдать некоторый баланс. С
одной стороны, так как выплата осуществляется своему клиенту и будет возмещена
в дальнейшем, то может возникнуть желание выплачивать большие суммы. С другой
стороны страховая компания виновника, имея информацию об убытке, может оспорить
слишком щедрое возмещение, что грозит компании потерпевшего определенными
санкциями. Ожидаемый эффект от введения системы ПВУ заключался в увеличении
уровня выплат и повышении качества обслуживание клиентов. Однако на практике
подобная система столкнулась с рядом существенных проблем, решения которых на
текущий момент весьма активно обсуждалась в страховом сообществе. Одним из
таких решений является ввод бельгийской системы ПВУ.
Таким образом, начиная с 1 марта 2009 года до 2 августа 2014 года, у потерпевшего
в ДТП существовало два способа получения возмещения убытка. Первый заключается
в подаче заявления о страховом возмещении в страховую компанию виновника.
Страховая компания должна принять документы и в установленный срок произвести
страховую выплату. Расчет суммы возмещения производится на основании
специальной методики.
Общая схема ОСАГО предоставлена на рисунке 1.1.
Рисунок 1.1 — Общая схема ОСАГО
Второй вариант получения страхового возмещения предусматривает прямое
урегулирование. Данная опция была доступна не для всех случаев, а только в тех,
когда в ДТП участвовало ровно два транспортных средств, а также отсутствовал
вред жизни и здоровью. При применении такой схемы потерпевший обращается за
выплатой в свою страховую компанию. При этом применяются те же формулы и
методики определения размера ущерба, что и при обычной схеме.
Одновременно стоит отметить два принципиальных отличия. Первое —
выплаченный убыток будет возмещаться страховщиком виновника, а, следовательно,
утрачивается стимул сознательного занижения убытков. Второе — потерпевший
является клиентом страховой компании, что создает условия для более
внимательного к нему отношения.
Схема прямого урегулирования убытков по ОСАГО можно пронаблюдать на рисунке
1.2 и 1.3.
Рисунок 1.2 — Схема прямого урегулирования по ОСАГО
Рисунок 1.3 — Схема взаиморасчетов по системе ПВУ
год стал революционным для отношений между водителем и страховщиком. С 1
августа вступило в действие безальтернативное прямое возмещение убытков, то
есть пострадавший в ДТП автовладелец может обратиться за выплатой только в свою
страховую компанию.
Таким образом, первоначальная реализация данного института предусматривала
право потерпевшего на обращение в свою страховую компанию, на сегодняшний день
— это представляет собой обязанность (при наличии всех предусмотренных законом
условий).
На основании данного новшества В.И. Княгиев (директор ОСАЛ
«Ингосстрах») советует автомобилистам более тщательно подходить к
выбору страховщика при покупке ОСАГО, ориентироваться на крупные и стабильные
компании, которые занимают устойчивые позиции на рынке и могут гарантировать
своевременное получение выплат в рамках закона без привлечения судебных
инстанций [14].
Предполагается, что селекция убытков по ПБУ (когда страховщик
потерпевшего урегулировал только мелкие убытки, а за крупными выплатами
отправлял в компанию виновника ДТП) перестанет существовать, а средняя сумма
выплат вырастет. Данное обстоятельство представляется важным и для
страховщиков, которые всегда добросовестно выполняли свои обязательства перед
страхователями по ПВУ и несли убытки по причине политики селекции других
участников рынка.
Критериями, при соблюдении которых применяется прямое возмещение убытков,
являются следующие:
. ДТП произошло в результате взаимодействия (столкновения) только
двух транспортных средств (включая транспортные средства с прицепами к ним);
. ответственность обоих участников ДТП застрахована по ОСАГО, то
есть они имеют действующие на момент ДТП полисы ОСАГО на автомобили,
участвующие в ДТП;
. вред причинен только указанным транспортным средствам.
В случае если при возникновении ДТП не удовлетворяется хотя бы одно из
перечисленных выше требований, прямое урегулирование убытков по ОСАГО по такому
ДТП не действует. В данной ситуации потерпевший будет обращаться за выплатой
возмещения в страховую компанию виновника ДТП или требовать компенсации
непосредственно у виновника ДТП (если у виновника нет действующего полиса
ОСАГО).
Реализация механизма прямого урегулирования убытков осуществляется по
следующему алгоритму:
. Потерпевший в ДТП, в котором участвовало два транспортных
средств и имуществу которого причинен вред, обращается в страховую компанию, застраховавшую
гражданскую ответственность потерпевшего как владельца транспортного средства
согласно Федеральному закона «Об ОСАГО». Для этого потерпевший
направляет страховщику извещение о ДТП вместе с необходимыми документами,
оформленными уполномоченными на то сотрудниками полиции, или европротокол.
. Страховщик потерпевшего проводит оценку обстоятельств ДТП,
рассматривает представленные документы.
. Страховщик организует осмотр поврежденного имущества
потерпевшего и/или независимую экспертизу в порядке и сроки, установленные
статьей 12 Федерального закона «Об ОСАГО». При этом в случае, если
потерпевший и его страховщик не расходятся в своих выводах относительно размера
причиненного ущерба, который определен страховщиком в результате осмотра, то
независимая экспертиза может не производиться.
. При наличии всех необходимых условий страховая компания
потерпевшего квалифицирует произошедшее событие как страховой случай, извещает
об этом потерпевшего и осуществляет страховую выплату в порядке и сроки,
которые предусмотрены законом, т.е. максимально в течение 30 дней с момента
представления необходимых документов.
Отличительной особенностью страховой выплаты при прямом урегулировании
убытков является то, что выплата осуществляется от имени страховщика, который застраховал
гражданскую ответственность причинителя вреда.
При отсутствии оснований для квалификации произошедшего события как
страхового случая страховщик должен подготовить мотивированный отказ
потерпевшему и известить его об этом. Решение должно быть также принято в
течение 30 дней с момента предоставления всех необходимых документов.
При наличии оснований к регрессу непосредственно к причинителю вреда
страховщик потерпевшего может его адресовать непосредственно к причинителю
вреда в порядке, установленном статьей 14 Федерального закона «Об ОСАГО».
5. Взаимозачеты между страховыми компаниями потерпевшего и
причинителя вреда будут осуществляться в соответствии с соглашением о прямом
возмещении убытков, заключаемым между членами профессионального объединения
страховщиков по обязательному страхованию.
Соглашение о прямом возмещении убытков — это многостороннее соглашение,
участниками которого являются члены профессионального объединения страховщиков
— РСА. Исходя из публичной сущности института прямого урегулирования убытков,
участие в соглашении о прямом возмещении убытков представляется обязательным
для всех страховых компаний, которые осуществляют обязательной страхование.
Соглашение о прямом возмещении убытков заключается по модели договора
присоединения. Предмет соглашения представляют собой порядок и условия расчетов
между страховщиком, осуществившим прямое возмещение убытков, и страховщиком,
застраховавшим гражданскую ответственность лица, причинившего вред.
Граждане, пострадавшие в ДТП (которым причинен вред жизни или здоровью),
виновник которого не застрахован по ОСАГО, имеют право обратиться за
компенсационной выплатой в Российский Союз Автостраховщиков (РСА).
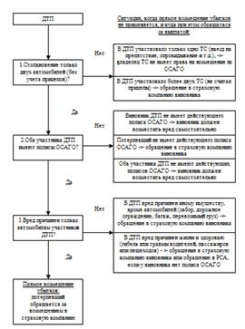
Проверить, относится ли конкретное ДТП к прямому возмещению убытков и
куда нужно обращаться за выплатой (возмещением) в конкретной ситуации, можно с
помощью следующей схемы (см. рисунок 1.4).
Применение безальтернативного прямого возмещения убытков к страховым
случаям, произошедшим до 2 августа 2014 года, осуществляется следующим образом.
Безальтернативное прямое урегулирование убытков распространяется на договоры
ОСАГО, срок действия которых не истек на дату вступления в силу изменений в
статью 14.1 Федерального закона «Об обязательном страховании
автогражданской ответственности» 2 августа 214 года.
Прямое возмещение убытков является обязательным для потерпевшего только в
случае, если оба договора ОСАГО (потерпевшего и причинителя вреда) действовали
на 2 августа 2014 года. В этом случае страховщик виновника ДТП обязан отказать
потерпевшему в приеме заявления с требованием о страховой выплате на том
основании, что событие подлежит урегулированию в порядке прямого возмещения
убытков.
В случае если срок действия хотя бы одного из договоров ОСАГО
(потерпевшего или причинителя вреда) истек на 2 августа 2014 года, то
потерпевший вправе предъявить требование страховщику причинителя вреда, а
страховщик причинителя вреда не вправе отказать в приеме такого заявления,
несмотря на то, что условия ДТП соответствуют требованиям статьи 14.1
Федерального закона №40-ФЗ.
Таким образом, прямое возмещение убытков по ОСАГО не представляет собой
ограничение права обратиться с заявлением в страховую компанию виновника, если
будет в дальнейшем установлено, что для обращения по прямому возмущению не
соблюдены.
Рисунок 1.4 — Упрощенная схема проверки применимости ПВУ со 2 августа
2014 года [22]
Страховая компания оставляет за собой право отказать в выплате по прямому
возмещению в следующих случаях, если:
) у страховщика причинителя вреда отозвана лицензия на
осуществление страхования на дату поступления к страховщику потерпевшего
заявление о прямом возмещении;
) страховщик причинителя вреда не является участником Соглашения
на дату поступления к страховщику потерпевшего заявления;
) в результате ДТП по заявленному событию участнику происшествия
(водителю, пассажиру, пешеходу) причинен вред жизни или здоровью (в случае
наличия данных сведений хотя бы в одном из представленных потерпевшим
документов);
) в ДТП, в результате которого потерпевшему был причинен вред,
участвовало одно или более двух транспортных средств, кроме случаев, когда в
ДТП участвовало транспортное средство без прицепа и транспортное средство с
прицепом (автопоезд), при этом вред причинен транспортному средству без прицепа
и только одному транспортному средству из автопоезда. В данном случае
транспортное средство с принадлежащим физическому лицу прицепом к легковому
автомобилю считается одним транспортным средством (транспортным средством без
прицепа);
) договор ОСАГО потерпевшего не действовал на момент ДТП (договор
не был заключен, договор не вступил в силу, закончился срок действия договора,
договор был досрочно прекращен, договор признан недействительным и т.п.);
) потерпевший обратился с Заявлением о прямом возмещении убытков в
страховую организацию, выполняющую функции представителя страховщика
потерпевшего по рассмотрению требований потерпевших о страховых выплатах;
) до подачи потерпевшим страховщику потерпевшего заявления о
прямом возмещении убытков по тому же событию к страховщику причинителя вреда
уже поступило заявление с требованием о страховой выплате.
Под требования применения прямого возмещения убытков попадает большинство
ДТП, происходящих на территории Российской Федерации.
Таким образом, теперь большинство потерпевших будут всегда обращаться за
страховой выплатой по ОСАГО в ту страховую компании, которую они сами выбрали,
заключая договор ОСАГО.
.2 Зарубежный
опыт ПВУ в автостраховании
Различного рода проблемы, которые подстерегают участников рынка
автострахования в России, не являются новшеством для международной практики,
перед каждой из развитых стран стояли такие задачи на пути развития
национальных рынков автострахования. В этой связи, является актуальным
рассмотрения практики зарубежных государств по данному вопросу.
Страховая ответственность владельцев автотранспортных средств
представляет собой наиболее известный вид страхования гражданской
ответственности, начавший свое бурное развитие в 2000-е годы, когда начала
возрастать интенсивность автомобильного движения и увеличился риск дорожно-транспортных
происшествий.
На сегодняшний день в большинстве развитых стран автострахование
проводится в обязательной форме, которая в большинстве европейских государства
(например, Финляндии, Норвегии, Дании, Великобритании, Германии и т.д.) была
введена еще до Второй мировой войны. Данное обстоятельство обусловлено
стремлением органов власти предоставить потерпевшим в ДТП гарантию возмещения
причиненного им вреда. С другой стороны, обязательная форма проведения
страховых операций, приводя практически к полному охват автострахованием
имеющегося в конкретной стране парка автотранспорта (зачастую незастрахованными
оказываются от 1 до 6% средств транспорта), обуславливает одно из ведущих мест
данного вида страхования в объеме собираемых страховых премий.
С ростом мошенничества на рынке автострахования во всех развитых
государства были усилены требования к страховым организациям, которые
осуществляют обязательное страхование гражданской ответственности
автовладельцев, к отчетности об их деятельности, ужесточены нормы, направленные
на противодействие совершению правонарушений и преступлений участниками ОСАГО.
К примеру, в Германии полномочия про противодействию страховому
мошенничеству возложены на Департамент по борьбе с преступностью и отмыванием
денег, базовым направлением деятельности которого являются взаимодействия с
полицией по уголовным делам, возбужденным на основании заявлений страховых
организаций с подозрением на мошенничество, страховые расследования
многоэпизодных происшествий с криминальной окраской, совершаемых
организованными преступными группами, проведение технических экспертиз и иных
криминалистических исследований транспортных средств. По каждой из сфер
создаются рабочие группы с участием представителей из полиции и страховых
организаций.
Во Франции более 100 страховых организаций заключили соглашение о прямом
урегулировании убытков (о возмещении вреда страховым компаниям). Данная
процедура работает во Франции с 1968 года, в то время как на отладку системы
понадобилось около 10 лет. В России первоначально за базу взята именно
французская модель с единицы расчетным центром страховщиком и средней по всем
компаниям величиной ущерба, регулярно пересматривающаяся.
На сегодняшний день применение прямого урегулирования убытков во Франции
осуществляется на следующих условиях:
1. даже в случаях, когда вред причинен жизни и здоровью пострадавшего;
2. участие двух транспортных средств (включая случаи без
столкновения);
. также в случаях, когда есть третьи лица (животные, пешеходы и
т.д.);
. ДТП с участием падающего или уже упавшего с транспортного
средства предмета;
. максимальный размер ущерба устанавливается ежегодно так, чтобы в
соглашение попадали 4 страховых случая из 5.
В Германии же система прямого возмещения не прижилась. Особенности
судебной системы в данном государстве дают гражданам возможность посредством
суда взыскать с виновника ДТП и его страховой компании серьезную компенсацию за
причинение морального вреда, возмещение судебных издержек и т.д.
Европейский протокол во Франции предоставляет водителям возможность при
отсутствии пострадавших в ДТП оформить необходимые документы о факте ДТП без
привлечения сотрудников полиции. Это ускоряет сроки урегулирования страховых
случаев по ОСАГО, сократить сроки урегулирования страховых случаев по ОСАГО,
упростить процедуру получения возмещения для потерпевшего в ДТП.
Так, как было уже отмечено, опыт Франции послужил базой для организации
прямого возмещения убытков в России в 2008 году. В соответствии с п. 48.1 и
48.3 Правил обязательного страхования гражданской ответственности [6], которые
должны были вступить в силу, начиная 1 июня 2008 года, потерпевшему
предоставлялось право предъявить требованием о возмещении вреда, причиненного
его имуществу, непосредственно страховщику, который застраховал гражданскую
ответственность потерпевшего (прямое возмещение убытков), ДТП произошло с
участием двух транспортных средств, гражданская ответственность которых
застрахована, а сумма ущерба не превышает 25 тысяч рублей. Однако на практике
внесении данных норм в указанные сроки представилось невозможным.
За рубежом при проведении страхования в обязательной форме страховщики в
большей части такого рода случае производят страховую выплату, а затем получают
право на суброгацию к «причинителю ущерба».
Во многих зарубежных государствах (например, в Бельгии, Испании, Франции,
Италии, Португалии) при ДТП, которое послужило результатом столкновения, при
условии, что средства транспорта установлены, а авария повлекла за собой только
ущерб имуществу, величина которого не превышает лимитов ответственности
страховщика, применяется упрощенная процедура урегулирования убытков на основе
Концепции IDA (Концепция о прямом возмещении застрахованным). Сущность данной
процедуры заключается в том, что участники ДТП составляют протокол о нем, а
страховая выплата осуществляется на его основе непосредственно страховой
организацией, в которой застрахован потерпевший, с последующим выставлением ею
регрессионного риска в страховую компанию, застраховавшую ответственность
причинителя вреда. Однако иногда возникают случаи, когда между страховыми
компаниями, имеющими достаточно большое и примерно одинаковое количество
застрахованных транспортных средств, заключается также соглашение, именуемое
knock-forknock. Согласно ему страховщики не предъявляют друг другу регрессивные
иски при ДТП с участием своих страхователей.
В Бельгии основной сложностью перехода на прямое возмещения явились
высокие затраты на обработку документации, однако с появлением компьютеров и
баз данных данные расходы удалось снизить до минимума. Единой базы по всем ДТП
ни во Франции, ни в Бельгии нет, однако в Бельгии в общую базу заносятся данные
по авариям, компенсация которых осуществляется посредством прямого возмещения.
Франция и Бельгия имеют единые стандарты технической экспертизы
транспортных средств, попавших в ДТП. Так, во Франции вся информация и список
оценщиков приведены на сайте министерства транспорта, а в Бельгии для подсчета
ущерба применяется база данных Informex, в которой указываются цены всех
автомобилей и запчастей, а также время ремонта.
Прямое возмещения может быть осуществлено отдельно, а может дополняться
«европротоколом» (упрощенный порядок оформления ДТП без вызова
дорожной полиции).
В Австрии за безаварийную езду на протяжении двух лет предоставляется
скидка в размере 20%, которая в перспективе может быть увеличена до 50%. При
каждой аварии стоимость подлежит увеличению до 200%. Таким образом, проводится
экономическая защита страхователей ОСАГО, не попадающих в ДТП, и стимулируется
безаварийное управление автотранспортом. В соответствии с российским
законодательством бонус-малус может составлять максимум 5%, что является
достаточно малым значением.
Особо регламентируется порядок расчета сумм возмещения ущерба при наличии
взаимной вины участников ДТП. При этом применяются несколько методов такого
рода расчета, в частности:
. принцип контрибуции, в соответствии с которым при взаимной вине
участников ДТП выплаты не производятся не одному из участников;
. правило «Миссисили» (доктрины сравнительной
небрежности), которое базируется на том, что страховые выплаты производятся в
размере пропорциональном ответственности каждой из сторон (к примеру, в случае
если при столкновении двух транспортных средств доля вины владельца первого
составляет 60%, а второго — 40%, то первому владельцу уплачивается по договору
страхования второго 40% причиненных ему убытков, а второму по договору
страхования первого владельца — 60%);
. правило «Висконсис», согласно которому от страховых
выплат освобождает сторона, которая в наименьшей степени виновна в страховом
случае;
. концепция «без вины», предусматривающая полное
возмещение каждой стороне происшествия своей части ущерба, нанесенного другой
стороне.
Выбор конкретного метода из вышеперечисленных обусловлен действующим
законодательством, регламентирующий порядок возмещения вреда, а при отсутствии
соответствующих норм — от условий договора страхования.
В большинстве стран мира, где автострахование является обязательным,
созданы дополнительные финансовые гарантии получения возмещения лицами,
понесших вред в результате ДТП. Данные гарантии состоят в образовании
специального гарантийного фонда, из которого потерпевшие могут получать
возмещения при невыплате страховыми организациями. К таким случаям, в
частности, относятся:
1. причинение вреда неустановленным средством
транспорта;
. причинение вреда лицом, не застраховавшим
свою ответственность;
. невозможность страховщика выполнить свои
обязательства в связи с его неплатежеспособностью.
Источник формирования такого фонда — отчисления,
производимые страховщиками от страховых премий, полученных по договорам
страхования ответственности владельцев транспортных средств.
Размеры страховых тарифов при данном страховании
устанавливаются в денежной сумме с единицы транспортно средств. Одновременно на
территории России получила широкое распространение система установления
тарифных ставок в процентах от лимита страховой ответственности или от
стоимости транспортного средства.
Так, в странах Западной Европы размер страховой премии
составляет примерно 500 долларов на автомобиль, в Словении — 300 долларов, в
Хорватии и Словакии — примерно 200 долларов, в России — 1-4% от стоимости
автомобиля или лимита страховой ответственности.
Конкретная величина страховых премий зависит от многих
факторов, которые влияют на степень страхового риска по договору. К таковым в
частности относятся:
. вид транспортного средства (легковой,
грузовой автомобиль, автобус, мотоцикл и т.л.), его марка;
. технические характеристики транспортного
средства средства (мощность, максимальная скорость, грузоподъемность, число
пассажирских мест);
. характеристика лиц, управляющих средством
транспорта (их число, водительский стаж, возраст);
. территория эксплуатации транспортного
средства;
. характер использования транспортного средства
(в личных целях, в служебных целях, для коммерческих перевозок грузов или
людей);
. число средств транспорта, подлежащих
страхованию;
. срок страхования (при коротких сроках
страхования относительная величина страховой премии повышается, что объясняется
относительным ростом накладных расходов и повышением риска дорожно-транспортных
происшествий. Например, при страховании сроком на 10 дней величина страховой
премии может составлять 10% от годовой суммы страховой премии, на 1 месяц —
20%, на 3 месяца — 40%, на 6 месяцев — 70% и т.д.
В ряде стран факторы риска, которые могут быть
применены страховой компания при определении страхового тарифа, устанавливаются
законами или в законодательном порядке при определении условий обязательного
страхования автогражданской ответственности автовладельцев. Так, к примеру, во
Франции факторами риска, которые необходимо принять во внимание, являются:
. рейтинговая группа транспортного средства
(всего 15 групп);
. географический регион использования
транспортного средства (всего 5 регионов, выделенных с учетом интенсивности
дорожного движения);
. род занятий страхователя (наивысшим риском
обладают владельцы автотранспортных средств, использующие транспорт для
производственных и коммерческих целей, наименьшим — фермеры на семейных фермах
и их работники и учителя), водительский стаж пользователя автотранспортным
средством, который коррелируется с показателем возраста и пола страхователя;
. возраст автотранспортного средства; число
пользователей застрахованным автотранспортным средством.
С целью решения проблемы возмещения убытков,
причиненных потерпевшим иностранным владельцем автомобиля, в Европе с 1 января
1953 года действует Соглашение об обязательном страховании гражданской
ответственности — «Зеленая карта».
1.3
Законодательная база ПВУ по ОСАГО
Основополагающим актом на территории России является Конституция
Российской Федерации [1]. Статьей 35 Конституции РФ закреплено положительно, в
соответствии с которым право частной собственности охраняется законом. Статья
46 содержит гарантию судебной защиты прав и свобод граждан. Решения и действия
(или бездействие) органов государственной власти, органов местного самоуправления,
общественных объединений и должностных лиц могут быть обжалованы в суд.
Анализ сущности института прямого возмещения убытков позволяет сделать
вывод о том, что отношения, возникающие между страховщиками причинителя вреда и
потерпевшего, содержат в себе элементы отношений представительства (ст. 183 ГК
РФ [2]), солидарной обязанности (ст. 325 ГК РФ [2]), а также в некотором роде
поручительства (ст. 366 ГК РФ [2]).
Так, например, страховщик потерпевшего является в
чем-то представителем страховщика причинителя вреда, но действует от своего
имени и в интересах потерпевшего. Однако в силу того, что потерпевший может
обратиться за возмещением к любому из страховщиков, то здесь прослеживаются
признаки солидарной обязанности (ответственности). Но так как, в конечном
счете, риск (результат) проведенного возмещения будет переложен на страховщика
причинителя вреда, в этом можно увидеть элементы поручительства страховщика
потерпевшего за действия страховщика причинителя вреда.
Реализация права на прямое возмещение убытков не
ограничивает права потерпевшего непосредственно обратиться к страховщику,
который застраховал гражданскую ответственность лица, причинившего вред, за
возмещением вреда, который причинен жизни или здоровью, возник после
предъявления требования о страховой выплате и о котором потерпевший не знал на
момент предъявления требования.
Налоговый кодекс также содержит нормы, регулирующие отношения в сфере
прямого урегулирования убытков. Так, п. 7 ч. 3 статьей 149 НК РФ [3] к
операциям, не подлежащим налогообложению (освобождаемые от налогообложения),
относит операции по страхованию, сострахованию и перестрахованию, в результате
которых страховщик получает средства, полученные в соответствии с
законодательством Российской Федерации об обязательном страховании гражданской
ответственности владельцев транспортных средств соглашению о прямом возмещении
убытков от страховщика, застраховавший гражданскую ответственность лица,
причинившего вред.
Общие положения обязательного страхования ответственности водителей предусмотрены
Федеральным законом «Об обязательном страховании гражданской
ответственности владельцев транспортных средств» [4]. Прямое возмещение
убытков регулируется статьей 14.1 данного Закона. В соответствии с данной
нормой потерпевший предъявляет требование о возмещении вреда, причиненного его
имуществу, страховщику, который застраховал гражданскую ответственность
потерпевшего, в случае наличия одновременно следующих обстоятельств:) в
результате дорожно-транспортного происшествия вред причинен только транспортным
средствам, указанным в подпункте «b»;
b) дорожно-транспортное происшествие произошло в результате
взаимодействия (столкновения) двух транспортных средств (включая транспортные
средства с прицепами к ним), гражданская ответственность владельцев которых
застрахована в соответствии с настоящим Федеральным законом.
Страховщик,
который застраховал гражданскую ответственность потерпевшего, проводит оценку
обстоятельств ДТП, изложенных в извещении о дорожно-транспортном происшествии,
и на основании представленных документов осуществляет потерпевшему по его
требованию возмещение вреда в соответствии с правилами
<#»887030.files/image005.jpg»>
Рисунок 2.1 — Схема построения модели бельгийской системы ПВУ
Таким образом, страховщиками виновника ДТП перечисляется в платежную
систему РСА всю сумму убытка, а не «фикс», как это было ранее.
Одновременно страховщик потерпевшего, как и прежде, получает из платежной
системы фиксированную сумму. Однако для каждой расчетной сессии
«фикс» определяется случайным образом, а его размер зависит, в
частности, от величины самого убытка. В результате размер «фикса»,
который получает страховщик потерпевшего, непредсказуем. Это должно лишить
страховщиков стимула заниматься селекцией убытков. А зависимость
«фикса» от величины убытка должна снять проблему различий в
застрахованных автопарках.
Поскольку бельгийская система начала работать только в середине первого
квартала 2014 года, для анализа воспользуемся результатами работы за второй
квартал 2014 года (таблица 2.3).
Таблица 2.3 — Результаты работы страховщиков в системе ПВУ за 2 квартал
2014 год [19]
|
Наименование страховой |
|
|
ВСК |
204 003 |
|
Ингосстрах |
125 176 |
|
СГ МСК |
70 989 |
|
Согласие |
62 653 |
|
Ресо-гарантия |
58 006 |
|
Группа Ренессанс |
41 204 |
|
… |
|
|
Росгосстрах |
-745 116 |
Таким образом, как можно наблюдать, финансовые результаты страховщиков от
работы в бельгийской системы по-прежнему не равны. При этом лидеры по доходам и
убыткам сменились. Если по итогам 2013 г. наибольший финансовый результат
получила СГ МСК, то теперь на первом месте рэнкинга оказалась ВСК. А второе
место по доходам от ПВУ занял «Ингосстрах», бывший раньше бессменным
лидером по убыткам в этой системе. При этом «Росгосстрах»,
зарабатывавший на ПВУ в 2012 г. и начавший нести убытки по итогам 2013 г., во
втором квартале 2014 г. оказался лидером по убыткам в бельгийской системе.
Необходимо сделать пару замечаний относительно особенностей страхования
ответственности. В имущественных видах страхования страховщик берет под
финансовую защиту какой-то объект, будь то машина, судно или дом, и в случае
наступления страхового события принимает на себя обязательства по
восстановлению объекта до состояния на момент заключения договора. При этом у
страховой компании есть возможность провести предварительную оценку свойств
объекта и размер возможных выплат по нему. убыток
возмещение автострахование нормативный
В страховании ответственности компания, принимая обязательства, не может
наперед знать какому объекту будет причинен ущерб, который придется возмещать.
Применительно к ОСАГО это звучит так: страховая компания не может оценить какой
машине ее клиент нанесет ущерб. Предположим, что в регионе ездят только
недорогие отечественные машины, ремонт которых сравнительно недорогой. Значит,
и размеры выплат по ОСАГО будут относительно небольшими. Если же региональный
парк в основном состоит из дорогих машин премиум класса, то и убытки будут
иметь весьма солидный размер.
Конечно, на размер ущерба могут влиять и другие факторы, например,
дорожная инфраструктура, уровень урбанизации региона и т.д. Однако основным
фактором все-таки является парк ТС, а прочие факторы так или иначе будут учтены
в самой страховой статистике, на основании которой будет строиться модель
величины ущерба.
Во-вторых, текущая практика урегулирования убытков ОСАГО подразумевает
некоторое занижение суммы страховой выплаты. К сожалению, ни в одной страховой
системе не заносятся данные о размере, на который была снижена выплата. По
опыту общения со специалистами, занимающимися непосредственно урегулированием
убытков, нельзя сказать, что выработана определенная методика занижения выплат.
Скорее она носит случайный характер и во многом зависит от самого специалиста и
каждого конкретного страхового случая. Поэтому для модели оценки размера убытка
было бы неправильно использовать обычную статистику выплат одной конкретной
страховой компании, так как она искажена процессом урегулирования и является
субъективной. Все-таки в разных компаниях работают разные люди, у которых
разные подходы к урегулированию и т.д. В этой ситуации реальным выходом стал
анализ статистики по делам, по которым сначала произошло урегулирование в
рамках компании, а затем потерпевший обратился в суд по причине своего
недовольства размером выплаты и выиграл дело. Таким образом, эта статистика
позволяет увидеть реальный уровень возмещения, на который рассчитывает
потерпевший. Так как модель величины убытка рассматривается в рамках системы
ПВУ и вполне обоснованного предположения о лояльности отношения компания к
своему клиенту, было сделано следующее предположение.
На наш взгляд, текущая ситуация в части урегулирования — это локальный
кризис системы ОСАГО и рано или поздно он будет решен, например, законодательно.
Не так давно много шума наделала новость о том, что к судебным делам по ОСАГО
может применяться закон о защите о прав потребителей. Этот закон предполагает,
что страховая компания не только производит страховую доплату по решению суда,
но и выплачивает солидный штраф в размере 50% от размера убытка. Также текущая
ситуация противоречит самой идее страхования как инструмента защиты
имущественных интересов людей, поэтому нет никаких сомнений, что практика
урезания убытков уйдет в прошлое.
Рассмотрим основные проблемы действующей системы прямого урегулирования
убытков для клиентов страховых компаний.
Одной проблемой в области ПВУ является проблема реализации права
заявления по ПВУ при отсутствии у одного из участников ДТП действующего полиса
ОСАГО. В данном случае у потерпевшего нет альтернативы, и ему придется
обращаться с заявлением в компанию виновника, а в случае отказа — в суд за
защитой своих прав.
Помимо всего прочего отрицательным моментом для водителя является то, что
у виновника на момент ДТП был полис страховой компании, лицензия которой была
приостановлена или изъята органом выдавшим ее. В этом случае потерпевшая
сторона должна обратиться за компенсационной выплатой в Российский союз
автостраховщиков. При этом собственнику или его законному представителю
предстоит самостоятельно собрать документы, провести экспертизу и оценку,
потратив на это не только силы, но и деньги, в то время как виновный водитель
остается как бы в стороне от происходящего.
В качестве еще одного распространенного случая, не позволяющего
урегулировать убыток в рамках ПВУ, является участие в ДТП более двух
автомобилей, в результате происшествия причинен вред жизни и здоровью водителей
или пассажиров, кроме того в результате ДТП вред может быть причинен иному
имуществу, чем транспортному средству — фонарные столбы, рекламные вывески,
торговые павильоны и прочее, что также не позволяет обратиться за возмещением
ущерба к своему страховщику. В данной ситуации получение выплаты возможно
только в компании виновника по традиционной процедуре.
На основании проведенного анализа обобщим полученные результаты в таблицу
2.4.
Таблица 2.4 — Плюсы и минусы безальтернативного прямого возмещения
убытков
|
Плюсы |
Минусы |
|
1.Заинтересованность |
1.Сложные (и неоднозначные) |
На основании данного заключения предложим рекомендации по совершенствованию
реализации механизма прямого возмещения убытков.
2.3
Рекомендации по совершенствованию реализации механизма ПВУ
Стоит отметить, что бельгийская модель является более предпочтительной по
сравнению с действовавшей до 2014 года, однако она не способна полностью решить
проблему селекции.
Рассмотрим несколько моментов.
Первый касается поведения потерпевших при достаточно крупном ДТП. Как
показывает практика, в таких случаях люди предпочитают классическую схему
урегулирования и обращаются в страховую компанию виновника. Причин такого
поведения может быть несколько, в том числе чисто психологические. Из
практических объяснений, можно указать то, что у многих водителей есть
расширение к полису ОСАГО. Это отдельный договор добровольного страхования, по
которому покрываются убытки свыше лимитов ОСАГО. Поэтому, так или иначе, при
крупном ДТП потерпевшему придется обращаться в компанию виновника.
Математически отказ от урегулирования по ПВУ можно представить так: пусть
существует определенный уровень вероятности такой, что при наступлении крупного
ДТП потерпевший с вероятностью равной Рvictim будет урегулироваться по обычной
схеме, а с вероятностью 1 — Рvictim — по ПВУ. Вероятность отражает уровень
самоселекции, чем выше значение этого параметра, тем меньше крупных убытков
будет урегулироваться по ПВУ.
В этой связи, возможно применение ПВУ для ДТП, в которых участвуют два и
более транспортных средств, а также наличие вреда причиненного жизни и
здоровью. В данном случае представляется необходимым определения посредством
моделирования конкретной суммы, начиная с которой потерпевший может
рассчитывать на компенсацию в своей компании.
Второй момент касается поведения страховщиков и проблеме намеренной
селекции. Несмотря на новый алгоритм расчета фиксов, к крупным убыткам может
остаться отношение как к «убыточным», то есть априори ожидается, что
по ним будет выплачено больше, чем возможный размер фикса. Из-за этого у
страховых компаний останется соблазн тем или иным способом повлиять на выбор
схемы урегулирования. Это означает, что фактор намеренной селекции убытков
необходимо учитывать в модели.
Для систематизации вышесказанного, предположим, что есть множество
убытков, которые потерпевшие могут урегулировать по ПВУ. Данные убытки можно
разделить на три группы:
. к первой группе относятся убытки меньше значения Selection
Limit. Такие убытки страховые компании без вопросов будут урегулировать по ПВУ;
. ко второй группе относятся убытки из диапазона от до 500 тысяч
рублей. Страховые компания будут стараться тем или иным способом убедить
потерпевшего урегулировать убытки по классической схеме. Доля людей, которые
откажутся от урегулирования по ПВУ, равна Рselection;
. к третьей группе относятся убытки равные 500 тыс. рублей. В этом
случае для них будет происходить «двойная» селекция: с одной стороны
не все потерпевшие сами захотят урегулирования по ПВУ (доля таких равна
Рvictim), а с другой стороны страховые компании стараются не принимать
заявления о таких крупных убытках.
Третий момент касается подхода к моделированию. В данном случае является
целесообразным пересмотр текущей модели, поскольку практика демонстрирует
неравномерность финансовых результатов страховых компаний.
Достаточно очевиден тот факт, что размер убытка сильно зависит от
стоимости машины. Но ни одна страховая компания на рынке не производит оценку
автомобиля потерпевшего во время урегулирования, поэтому в страховых базах
данных информации о стоимости нет. Максимум что известно о машине потерпевшего
это марка, модель и год выпуска. Отсутствие необходимых данных призвана решить
первая дополнительная модель — модель определения актуальной стоимости
автомобиля. Для ее построения был разработан целый комплекс программ на
различных языках программирования (VBA, C#, R), который, кстати говоря, уже
нашел свое применение на практике. Одной из таких программ стал интернет-робот,
просматривающий объявления о продаже транспортных средств и собирающий
необходимую информацию о ценах и характеристиках продаваемых автомобилей. На
этих данных с применением эконометрических методов и строится модель оценки
стоимости автомобиля.
Получив инструмент для определения стоимости подержанного транспортного
средства, строится вторая дополнительная модель — модель размера убытков. Она
реализована с учетом имеющейся в распоряжении страховой статистики. При выборе
эконометрических методов учитывается специфика страхового покрытия по ОСАГО:
сумма выплат ограничена лимитом возмещения.
Третья дополнительная модель — модель структуры автомобильного парка.
Проблема структуры автопарка — является ключевой, поскольку от нее зависит
финансовые результаты страховых компаний.
Модель структуры автомобильного парка необходима для понимания того,
каким транспортным средствам страховщику возможно предстоит оплачивать ремонт.
Для реализации этой модели использовались данные, полученные из
интернет-объявлений.
Для оценки рыночного распределения выплат, на основании которого в
дальнейшем будут рассчитываться фиксы, необходимо получить представление о том
какие машины ездят по Перми и Пермского края и потенциально могут попасть в
аварию. Проблему оценки структуры автопарка можно решить несколькими способами,
например, есть специальные статистические агентства, которого специализируются
на сборе подобной информации (например, агентство «Автостат»). Так же
можно использовать базы ГИБДД зарегистрированных в регионе транспортных
средств. Однако такие полные базы не всегда просто найти, и стоят они
достаточно больших денег. Однако более дешевым вариантом, все таки,
представляется использование скаченных интернет-объявлений.
Использование такого подхода обладает рядом преимуществ:
. при наличии соответствующего программного инструмента эти данные
доступны, не требуют денежных вложений и максимально актуальны. Производя
выкачку информации на регулярной основе, со временем данные накапливаются, что
позволит строить более точные модели;
. в некотором смысле скаченная информация является рыночным срезом
на определенный момент времени;
. после продажи машины новому владельцу будет необходимо
приобрести новый полис ОСАГО. А значит, эти данные представляют собой
потенциальный страховой портфель.
Из литературы, которая затрагивает исследование систем прямого
урегулирования можно выделить работу «Direct reimbursement schemes in
compulsory motor liability insurance» [15]. Данное исследование было
проведено в 2006 году, когда в Италии активно обсуждалась целесообразность
перехода на взаиморасчет фиксами между местными страховыми компаниями по
убыткам, урегулированным в рамках системы ПВУ. В нем моделируются последствия
ввода новой системы взаиморасчетов для компаний разных размеров. Главный вывод,
который делают авторы, заключается в том, что система расчетов фиксами
справедлива при условии, что портфели компаний обладают приблизительно
одинаковыми свойствами частотности и тяжести убытка, то есть они несильно
отличаются от рыночного портфеля. При этом авторами отмечаются несомненные
преимущества использования системы фиксов: снижение расходов на урегулирование
и повышение качества обслуживания клиентов. Особое место в работе уделяется
возможным рискам злоупотребления страховыми компаниями, связанными, например, с
селекцией убытков (более подробно эта проблема будет рассмотрена далее). По
мнению авторов, подобные проблемы могут быть решены только усилением контроля,
как со стороны государственных органов, так и со стороны самих участников
страхового рынка.
Из обзоров, посвященных российской практике урегулирования убытков по
ПВУ, можно выделить статью «Бизнес на селекции убытков» [13, 75], в
которой приводятся точки зрения различных экспертов и рассматриваются различные
способы решения накопившихся в системе ПВУ проблем. Также нельзя не отметить,
что не было найдено ни одной работы, которая посвящена более-менее серьезному
численному анализу как системе прямого урегулирования в целом, так и
бельгийской модели в частности. Скорее всего, если подобные исследования и
проводились, то они не выходили за рамки страховых компаний.
Подводя итоги, можно сделать следующие выводы:
1. При рассмотрении долгосрочной перспективы бельгийская система не может
решить проблему селекции: у страховой компании всегда будут существовать
стратегии поведения, которые позволят ей зарабатывать на селекции убытков.
Причем останется как естественная селекция, когда дополнительную прибыль
получают компании с более дешевым портфелем, так и намеренная, когда компании
стараются не допустить урегулирования крупных убытков по ПВУ. В этом смысле
бельгийская система очень похожа на используемую до 2014 года.
2. Говоря о достаточно длительном периоде можно
утверждать, что с вводом бельгийской системы граница размера выгодных убытков
становится шире по сравнению с текущей схемой, что может иметь положительный
эффект для потерпевших.
Заключение
В рамках данной работы было проведено исследование, направленное на
анализ новой бельгийской системы расчета фиксов для взаиморасчета между
страховыми компаниями в рамках системы прямого возмещения убытков. Для этого
была подробно рассмотрена текущая практика урегулирования таких убытков,
определены ее слабые и сильные стороны. Также выявлены причины возможного
оппортунистического поведение некоторых участников страхового рынка. Такое
поведение выражается в селекции крупных убытков и позволяет зарабатывать
страховым компаниям деньги за счет других участников рынка.
Анализ финансовых результатов страховых компаний продемонстрировал
постоянную их динамику, постоянную смену лидеров рынка ПВУ. Данное
обстоятельство не является благоприятным, что обуславливает несовершенство
конкуренции. Это явление, в конечном счете, приведет к поиску страховыми
компаниями новых путей селекции убытков.
Так, ООО «Росгосстрах» показал высокие финансовые показатели от
деятельности ПВУ в 2012 году. С изменением порядка расчета «фикса»
ситуация кардинально изменилась, при этом внедрение бельгийской системы не
изменили ситуацию.
Помимо всего прочего, законодательно до сих пор остается не
урегулированными вопросы относительно случае, когда в ДТП участвует два и более
транспортных средств, с наличием вреда жизни и здоровью. ПВУ также
характеризуется сложностью и неоднозначностью взаимозачетов между страховщиками.
Существуют многочисленные вопросы относительно применения ПВУ к автопоездам.
На основании анализа нами предложено пересмотр случаев урегулирования
страховых случаев посредством ПВУ. В частности, является целесообразным
рассмотреть случаи, когда потерпевшему будет выгоднее обратиться к своему
страховщику (при крупном ущербе от ДТП).
Для удержания страховых компаний от соблазна селекции убытков предложено
разделить убытки на три группы.
Также предложено пересмотреть текущей модели, поскольку практика демонстрирует
неравномерность финансовых результатов страховых компаний. В частности, при
расчете «фикса» необходимо сделать упор на структуру автомобильного
парка в регионе.
В качестве направления для дальнейшего развития предложенной модели можно
рассмотреть моделирование рынка ОСАГО в целом. То есть разделить условный парк
автотранспортных средств между несколькими компаниями, таким образом,
сформировав их страховые портфели. Далее можно рассмотреть различные стратегии
урегулирования убытков по ПВУ в зависимости от структуры портфелей и отношения
к риску и выделить те стратегии, которые могут приносить прибыль
Список
литературы
1. Конституция
Российской Федерации (принята всенародным голосованием 12.12.1993) (в ред. от
21.07.2014 №11-ФКЗ)//СЗ РФ. — 2014. — №31. — Ст. 4398.
. Гражданский
кодекс Российской Федерации (часть II) от 26.01.1996 г. №14-ФЗ (в ред. от
31.12.2014 г. №315-ФЗ)// СЗ РФ. — 1996. — №5. — Ст. 410.
. Налоговый
кодекс Российской Федерации (часть II) от 05.08.2000 г. №117 (в ред. от
08.03.2015 г. №32-ФЗ) // СЗ РФ. — 2000. — №32. — Ст. 3340.
. Федеральный
закон от 25.04.2002 №40-ФЗ «Об обязательном страховании гражданской
ответственности владельцев транспортных средств» (ОСАГО) (в ред. от
04.11.2014 №344-ФЗ)// СЗ РФ. — 2002. — №18. — Ст. 1720.
. Федеральный
закон от 05.05.2014 г. №106-ФЗ «О внесении изменений в страховании
гражданской ответственности владельцев транспортных средств» и отдельные
законодательные акты Российской Федерации» // СЗ РФ. — 2014. — №19. — Ст.
2311.
. Постановлением
Правительства Российской Федерации от 07.05.2003 г. №263 «Об утверждении
правил обязательного страхования гражданской ответственности владельцев
транспортных средств» (утратил силу)// СЗ РФ. — 2003. — №20. — Ст. 1897.
. Указание
Банка России от 19.09.2014 г. №3385-У «О требованиях к соглашению о прямом
возмещении убытков и порядку расчетов между его участниками»// Вестник
Банка России. — 2014. — №88.
. Декрет
Совета народных комиссаров (СНК) РСФСР от 23.03.1918 г. «Об учреждении
государственного контроля над всеми видами страхования, кроме
социального». — URL:
<http://www.alppp.ru/law/grazhdanskoe-pravo/dogovory-i-drugie-objazatelstva/107/dekret-snk-rsfsr-ot-23-03-1918.pdf>.
. Декрет от 06.10.1921
г. «О государственном имущественном страховании». — URL: <http://www.lawmix.ru/sssr/18062>.
. Магнус Я.Р., Катышев
П.К., Пересецкий А.А., «Эконометрика. Начальный курс». — М.:
Издательство «ДЕЛО», 2004. — 576с.
. Мунтяну Н.В., Харин
И.В. Современное состояние рынка ОСАГО: проблемы и перспективы урегулирования
убытков / Н.В. Мунтяну, И.В. Харин // Современная наука: Актуальные проблемы
теории и практики. — 2014. — №5-6. — С. 7-9.
. Харин И.В.
Экономические факторы, стимулирующие качество страховых услуг различных видов
страхования / И.В. Харин // Современный гуманитариум. — 2013. — №3(16). — С.
9-12.
. Фадеева Е.
«Бизнес на селекции убытков» / Е. Фадеева// Современные страховые
технологии. — 2012. — №1. — С. 74-85.
. mk.ru, 9 сентября
2014 №1170588
15. G. Galli,
C. Savino. «Direct reimbursement schemes in compulsory motor liability
insurance», ANIA, the Italian Association of Insurance Companies, April
2006.
. P. Dе
Jong, G.Z. Heller, «Generalized Linear Models For Insurance Data»
Cambridge University Press, 2008.
. Greene,
W.H. (2008): Econometric Analysis, Sixth Edition, Prentice Hall, p. 871-875.
. Kleiber
C. and Zeileis A. (2008): Applied Econometrics with R, Springer, p. 141-143.
19. Банк России.
Статистические данные по итогам деятельности страховщиков за 2013 год. -URL:
http:// www.cbr.ru <http://www.cbr.ru>.
. Выступление
Президента России Владимира Путина на пленарном заседании медиафорума
независимых региональных и местных СМИ «Правда и справедливость»,
организованного Общероссийским народным фронтом 24 апреля 2014 года. — URL:
<http://www.kremlin.ru/transcripts/20858>.
. Зигзаги
«прямого» возмещения по ОСАГО. Сложности упрощенного порядка. — URL:
<http://www.insur-info.ru/press/35280/>.
. Информационно-просветительский
проект «Знай страхование!». — URL:.znay.ru
<http://www.znay.ru>.
23. ОСАГО
в 2015 году (Изменения и прогнозы). — URL:
<http://www.znay.ru/osago/osago_new.shtml>.
24. ОСАГО:
прямое возмещение убытков. — URL:
<http://www.strahyi.ru/material/osago-pryamoe-vozmeschenie-ubytkov>.
25. ПВУ —
прямое возмещение убытков по ОСАГО. — URL:
<http://www.znay.ru/osago/pvu.shtml>.
26. ПВУ —
соглашение о прямом возмещении убытков по ОСАГО. — URL:
<http://sovet-uristov.ru/pryamoe-vozmeschenie-ubytkov-po-osago-pvu>.
. Пермякова Е.,
«Кривое возмещение убытков — 2», Агентство Страховых новостей. — URL:
<http://www.asn-news.ru/news/35954>.
. Прямое возмещение
убытков. — URL:
<http://www.sravni.ru/osago/info/pryamoe-vozmeshenie-ubytkov/>.
. Союз
автостраховщиков разработал единую методичку оценки ущерба от ДТП. — URL:
<http://www.aif.ru/auto/gibdd/1088974>.
. Шувалова М. Что ждет
ОСАГО в ближайшее время? 22.08.2014. — URL:
<http://www.garant.ru/article/560616/>.
- 1
- 2
- 3
- . . .
- последняя »


Функция «чтения» служит для ознакомления с работой. Разметка, таблицы и картинки документа могут отображаться неверно или не в полном объёме!
Прямое урегулирование убытков в автостраховании. Проблемы клиента и страховщика (на примере ОАО «Россгострах») Оглавление Введение
1. Теоретические основы прямого урегулирования убытков в автостраховании
1.1 Процедура прямого возмещения убытков по ОСАГО
.2 Зарубежный опыт ПВУ в автостраховании
.3 Законодательная база ПВУ по ОСАГО
2. Оценка деятельности ООО «Россгострах» по прямому урегулированию убытков в автостраховании
2.1 Характеристика ООО «Россгострах»
.2 Анализ реализации процесса ПВУ в ООО «Росгосстрах»
.3 Рекомендации по совершенствованию реализации механизма ПВУ
Заключение
Список литературы
Введение
Уже на протяжении более чем десяти лет (с 1 июля 2003 года) владельцы автомобильных транспортных средств обязаны страховать свою гражданскую ответственность на случай причинения вреда жизни, здоровью или имуществу других лиц. Ежегодно автопарк растет (в 2013 году, по данным Российского Союза Автостраховщиков (РСА), прирост составил 2,8 млн.единиц), соответственно росту подлежало и количество заключенных договоров ОСАГО. Растет также число страховых случаев: в 2013 году к страховщикам обратились 2,7 млн. потерпевших, что на 5,5% больше, чем в 2012 году. Объем выплат по ОСАГО в 2013 году составил 78,1 млрд. руб. (в 2012 году — 62,2 млрд. руб.) [23].
Продажа полисов ОСАГО в 2014 году, по данным РСА, выросли на 11,2% до 150,3 млрд. руб. Выплаты увеличились на 13,6% по сравнению с 2013 годом и составили 88,8 млрд. руб. [23]
Одновременно текущая ситуация не устраивает ни страховщиков, ни страхователей: первые жалуются на растущие объемы выплат при практически не меняющейся ставке страховых тарифов, вторые — на небольшие суммы компенсаций.
За последний год в сфере ОСАГО произошли достаточно серьезные перемены — с 1 сентября 2014 года вступил в силу Федеральный закон «О внесении изменений в страховании гражданской ответственности владельцев транспортных средств» и отдельные законодательные акты Российской Федерации» [5]. Предусмотренные данные нормативным актом изменения затрагивают обширный перечень вопросов, начиная от оформления договора ОСАГО, заканчивая процедурой урегулирования страховых споров. Стоит заметить, что не все положения Закона действуют с начала осени, некоторые вступили в силу со 2 августа 2014 году, а для ряда иных предусмотрены еще несколько дат вплоть до 2019 года. Одним из таких изменений является изменение в порядке прямого возмещения убытков.
До 2014 года в России действовала альтернативная классическая схема урегулирования, которая продемонстрировала свою неэффективность по причине широкого распространения селекции убытков, также недовольство страхователей выражено в суммах выплат по страхованию. Изменение в порядке расчетов «фиксов», в свою очередь, порождает постоянные колебания в финансовых результатах страховых компаний.
Актуальность данного исследования обуславливается тем, что ввод бельгийской системы расценивается как способ преодоления накопившихся в ОСАГО проблем. Поэтому крайне важным является более подробное изучение этого подхода с учетом текущей практики урегулирования убытков.
Целью данной выпускной квалификационной работы является анализ практики реализации прямого урегулирования убытков в автостраховании и предложение рекомендаций по
- 1
- 2
- 3
- . . .
- последняя »
Интересная статья: Основы написания курсовой работы
метки: Возмещение, Прямой, Страховщик, Средство, Транспортный, Страхов, Ответственность, Потерпевший
1. рассмотреть теоретическую базу прямого урегулирования убытков в автостраховании;
2. проанализировать ключевые изменения в нормативной базе в сфере прямого урегулирования убытков;
3. рассмотреть эффективность реализации процедуры прямого возмещения убытков в ООО «Росгосстрах»;
4. предложить рекомендации по совершенствованию процедуры прямого возмещения убытков.
Объектом исследования является возмещение убытков по обязательному страхованию автогражданской ответственности. Предмет исследования — отношения, возникающие при реализации процедуры прямого возмещения убытков по ОСАГО.
Теоретическую основу работы составили фундаментальные труды российских и зарубежных ученых по теории и проблемам организации ОСАГО, государственного регулирования ОСАГО, разработки механизма ОСАГО, методологии расчета ущерба и страхового возмещения; нормативные и законодательные акты, регламентирующие порядок организации отношений между участниками ОСАГО.
Обеспечением доказательности положений и достоверности результатов исследования явились аналитические материалы Министерства финансов Российской Федерации, Федеральной службы страхового надзора, Федеральной службы государственной статистики, Российского союза автостраховщиков, ГИБДД РФ, Федеральной антимонопольной службы РФ и др.
Общими теоретическими и методологическими вопросами организации данного вида страхования в своих работах занимались такие отечественные и зарубежные ученые, как Архипов А.П., Братусь С.Н., Гомелля В.Б., Дедиков С.В., Дюжиков Е.Ф., Зубец А.Н., Ивашкин Е.И., Казаков С.А., Качалова Е.Ш., Коломин Е.В., Лемер Ж., Манес А., Орланюк-Малицкая Л.А., Паттерсон Е., Плешков А.П., Рассолова Т.М., Рябикин В.И., Саватье Р., Тархов В.А., Турбина К.Е., Федорова Т.А., Шахов В.А., Шевчук В.А., Шихов А.К. и др.
Структура работы состоит из введения, трех глав, заключения и списка литературы.
Во введении рассмотрена актуальность выбранной темы, определены цель и задачи, объект и предмет исследования, методологическая, методологическая и эмпирическая базы работы, научная новизна и структура работы.
Первая глава посвящена анализу теоретической основы прямого урегулирования убытков, в частности, рассмотрена процедура возмещения убытков по обязательному страхованию автогражданской ответственности, изучен зарубежный опыт и нормативная база.
Вторая глава содержит анализ эффективности реализации процедуры прямого возмещения убытков в страховой компании ООО «Росгосстрах».
6 стр., 2722 слов
Тема магистерской работы: Исследование и анализ моделей информационного …
… и услуг. Объект исследования : оптимизация поисковых запросов в сфере предоставления товаров и услуг. Предмет исследования : метод моделирования поведения пользователей. В рамках магистерской работы … Анализ аудитории и прогнозирование посещаемости интернет ресурса . В работе проводится анализ целевой аудитории интернет ресурса и нахождение зависимостей для прогнозирования и оценки посещения сайта и …
Третья глава работы содержит анализ основных проблем реализации прямого возмещения убытков и перспективы развития данного института в России.
Заключение обобщает основные выводы работы.
1) в части возмещения вреда, причиненного жизни или здоровью каждого потерпевшего, не более 160 тысяч рублей;
2) в части возмещения вреда, причиненного имуществу каждого потерпевшего, 400 тысяч рублей.
С 1 апреля 2015 года вступают в силу изменения в ОСАГО, касающиеся выплат за вред, причиненный жизни и здоровью, в частности, увеличится лимит с 160 тысяч до 500 тысяч рублей.
У потерпевшего есть несколько способов получения страхового возмещения. Первый способ предполагает, что потерпевший обращается с заявлением в страховую компанию виновника. Она производит уточнение обстоятельств ДТП, осмотр потерпевшего транспортного средства и осуществляет расчет размера страхового возмещения. Такая схема в текущей практике, хотя и является основной, но зачастую оказывается для потерпевшего неудобной и невыгодной. Главной проблемой такого подхода является то, что потерпевший вынужден общаться с совершенно чужой для него компанией. А для страховой компании виновника нет совершенно никаких стимулов для предоставления потерпевшему, как качественного сервиса, так и выплаты адекватного размера. На практике известны такие парадоксальные ситуации, когда потерпевший даже просто не мог найти офис малоизвестной страховой компании для подачи заявления.
Для решения подобных проблем в 2009 году была введена альтернатива классической схеме урегулирования — прямое возмещение ущерба (ПВУ).
Прямое возмещение убытков представляет собой новый институт обязательного страхования, который подразумевает возмещение вреда имуществу потерпевшего страховщиком, осуществляемое в соответствии с Федеральным Законом «Об обязательном страховании автогражданской ответственности» [4], заключившим с потерпевшим владельцем транспортного средства договор обязательного страхования.
По своей природе институт прямого возмещения убытков является публичным институтом, созданным для защиты имущественных интересов определенной группы потерпевших. Его осуществление представляло собой право (а не обязанность) потерпевшего и обязанность для страховщиков.
При возникновении страхового случая потерпевший обращается за деньгами в свою страховую компанию напрямую. Потом уже без участия потерпевшего между страховыми компаниями происходит взаиморасчет. Такая система создает необходимые условия для более качественного урегулирования, так как для страховой компании потерпевший в первую очередь является клиентом, к которому необходимо относиться максимально лояльно. Если клиент останется всем доволен, то и в следующем году он «проголосует» рублем за свою текущую компанию, а может даже приобретет другие страховые продукты. Естественно при таком подходе компании потерпевшего необходимо соблюдать некоторый баланс. С одной стороны, так как выплата осуществляется своему клиенту и будет возмещена в дальнейшем, то может возникнуть желание выплачивать большие суммы. С другой стороны страховая компания виновника, имея информацию об убытке, может оспорить слишком щедрое возмещение, что грозит компании потерпевшего определенными санкциями. Ожидаемый эффект от введения системы ПВУ заключался в увеличении уровня выплат и повышении качества обслуживание клиентов. Однако на практике подобная система столкнулась с рядом существенных проблем, решения которых на текущий момент весьма активно обсуждалась в страховом сообществе. Одним из таких решений является ввод бельгийской системы ПВУ.
27 стр., 13244 слов
Отчет о прибылях и убытках
… отчета о прибылях и убытках. Для достижения поставленной цели необходимо решить следующие задачи: 1. Раскрыть теоретические основы сущности и методики составления отчета о прибылях и убытках 2. Провести анализ составления отчета о прибылях и убытках в ООО «Сосны Сибири» 3. Рассмотреть основные ошибки и …
Таким образом, начиная с 1 марта 2009 года до, Общая схема ОСАГО предоставлена на рисунке 1.1.
Рисунок 1.1 — Общая схема ОСАГО
Второй вариант получения страхового возмещения предусматривает прямое урегулирование. Данная опция была доступна не для всех случаев, а только в тех, когда в ДТП участвовало ровно два транспортных средств, а также отсутствовал вред жизни и здоровью. При применении такой схемы потерпевший обращается за выплатой в свою страховую компанию. При этом применяются те же формулы и методики определения размера ущерба, что и при обычной схеме.
Одновременно стоит отметить два принципиальных отличия. Первое — выплаченный убыток будет возмещаться страховщиком виновника, а, следовательно, утрачивается стимул сознательного занижения убытков. Второе — потерпевший является клиентом страховой компании, что создает условия для более внимательного к нему отношения.
Схема прямого урегулирования убытков по ОСАГО можно пронаблюдать на рисунке 1.2 и 1.3.
Рисунок 1.2 — Схема прямого урегулирования по ОСАГО
Рисунок 1.3 — Схема взаиморасчетов по системе ПВУ
2014 год стал революционным для отношений между водителем и страховщиком. С 1 августа вступило в действие безальтернативное прямое возмещение убытков, то есть пострадавший в ДТП автовладелец может обратиться за выплатой только в свою страховую компанию.
Таким образом, первоначальная реализация данного института предусматривала право потерпевшего на обращение в свою страховую компанию, на сегодняшний день — это представляет собой обязанность (при наличии всех предусмотренных законом условий).
На основании данного новшества В.И. Княгиев (директор ОСАЛ
Предполагается, что селекция убытков по ПБУ (когда страховщик потерпевшего урегулировал только мелкие убытки, а за крупными выплатами отправлял в компанию виновника ДТП) перестанет существовать, а средняя сумма выплат вырастет. Данное обстоятельство представляется важным и для страховщиков, которые всегда добросовестно выполняли свои обязательства перед страхователями по ПВУ и несли убытки по причине политики селекции других участников рынка.
Критериями, при соблюдении которых применяется прямое возмещение убытков, являются следующие:
1. ДТП произошло в результате взаимодействия (столкновения) только двух транспортных средств (включая транспортные средства с прицепами к ним);
2. ответственность обоих участников ДТП застрахована по ОСАГО, то есть они имеют действующие на момент ДТП полисы ОСАГО на автомобили, участвующие в ДТП;
3. вред причинен только указанным транспортным средствам.
3 стр., 1168 слов
Циклы и кризисы: вред и польза для мировой экономики
… носит негативный характер. Теперь можно перейти к рассмотрению темы нашего эссе. Наиболее полно изучены среднесрочные экономические циклы, которые находят выражение в периодически (примерно раз в десятилетие) потрясающих … кризиса 30-х годов. Как мы выяснили в нашей работе циклы и кризисы могут приносить как, вред так пользу для мировой экономики». Журнал «Вопросы экономики» Выпуск …
В случае если при возникновении ДТП не удовлетворяется хотя бы одно из перечисленных выше требований, прямое урегулирование убытков по ОСАГО по такому ДТП не действует. В данной ситуации потерпевший будет обращаться за выплатой возмещения в страховую компанию виновника ДТП или требовать компенсации непосредственно у виновника ДТП (если у виновника нет действующего полиса ОСАГО).
Реализация механизма прямого урегулирования убытков осуществляется по следующему алгоритму:
1. Потерпевший в ДТП, в котором участвовало два транспортных средств и имуществу которого причинен вред, обращается в страховую компанию, застраховавшую гражданскую ответственность потерпевшего как владельца транспортного средства согласно Федеральному закона «Об ОСАГО». Для этого потерпевший направляет страховщику извещение о ДТП вместе с необходимыми документами, оформленными уполномоченными на то сотрудниками полиции, или европротокол.
2. Страховщик потерпевшего проводит оценку обстоятельств ДТП, рассматривает представленные документы.
3. Страховщик организует осмотр поврежденного имущества потерпевшего и/или независимую экспертизу в порядке и сроки, установленные статьей 12 Федерального закона «Об ОСАГО». При этом в случае, если потерпевший и его страховщик не расходятся в своих выводах относительно размера причиненного ущерба, который определен страховщиком в результате осмотра, то независимая экспертиза может не производиться.
4. При наличии всех необходимых условий страховая компания потерпевшего квалифицирует произошедшее событие как страховой случай, извещает об этом потерпевшего и осуществляет страховую выплату в порядке и сроки, которые предусмотрены законом, т.е. максимально в течение 30 дней с момента представления необходимых документов.
Отличительной особенностью страховой выплаты при прямом урегулировании убытков является то, что
При отсутствии оснований для квалификации произошедшего события как страхового случая страховщик должен подготовить мотивированный отказ потерпевшему и известить его об этом. Решение должно быть также принято в течение 30 дней с момента предоставления всех необходимых документов.
5. Страховая компания потерпевшего, осуществляющая прямое возмещение убытков, имеет право требования в размере осуществленной страховой выплаты к страховой компании, застраховавшей ответственность причинителя вреда.
При наличии оснований к регрессу непосредственно к причинителю вреда страховщик потерпевшего может его адресовать непосредственно к причинителю вреда в порядке, установленном ст атьей 14 Федерального закона «Об ОСАГО».
5. Взаимозачеты между страховыми компаниями потерпевшего и причинителя вреда будут осуществляться в соответствии с соглашением о прямом возмещении убытков, заключаемым между членами профессионального объединения страховщиков по обязательному страхованию.
Соглашение о прямом возмещении убытков — это многостороннее соглашение, участниками которого являются члены профессионального объединения страховщиков — РСА. Исходя из публичной сущности института прямого урегулирования убытков, участие в соглашении о прямом возмещении убытков представляется обязательным для всех страховых компаний, которые осуществляют обязательной страхование.
34 стр., 16508 слов
Организация страхового дела в страховой компании ООО «Согласие»
… по ОСАГО и невысокие показатели рентабельности деятельности компании в целом. 1.2 Характеристика страховой компании ООО «Согласие» Страховая компания «Согласие» является одним из крупнейших участников Российского рынка перестрахования, … страховщика. Аналитики агентства отмечают положительный опыт страховой компании в сфере урегулирования крупных убытков. Позитивно отражается на уровне надежности …
Соглашение о прямом возмещении убытков заключается по модели договора присоединения. Предмет соглашения представляют собой порядок и условия расчетов между страховщиком, осуществившим прямое возмещение убытков, и страховщиком, застраховавшим гражданскую ответственность лица, причинившего вред.
Граждане, пострадавшие в ДТП (которым причинен вред жизни или здоровью), виновник которого не застрахован по ОСАГО, имеют право обратиться за компенсационной выплатой в Российский Союз Автостраховщиков (РСА).
Проверить, относится ли конкретное ДТП к прямому возмещению убытков и куда нужно обращаться за выплатой (возмещением) в конкретной ситуации, можно с помощью следующей схемы (см. рисунок 1.4).
Применение безальтернативного прямого возмещения убытков к страховым случаям, произошедшим до 2 августа 2014 года, осуществляется следующим образом. Безальтернативное прямое урегулирование убытков распространяется на договоры ОСАГО, срок действия которых не истек на дату вступления в силу изменений в статью 14.1 Федерального закона «Об обязательном страховании автогражданской ответственности» 2 августа 214 года.
Прямое возмещение убытков является обязательным для потерпевшего только в случае, если оба договора ОСАГО (потерпевшего и причинителя вреда) действовали на 2 августа 2014 года. В этом случае страховщик виновника ДТП обязан отказать потерпевшему в приеме заявления с требованием о страховой выплате на том основании, что событие подлежит урегулированию в порядке прямого возмещения убытков.
В случае если срок действия хотя бы одного из договоров ОСАГО (потерпевшего или причинителя вреда), Таким образом, прямое возмещение убытков по ОСАГО не представляет собой ограничение права, Рисунок 1.4 —
Страховая компания оставляет за собой право отказать в выплате по прямому возмещению в следующих случаях , если:
1) у страховщика причинителя вреда отозвана лицензия на осуществление страхования на дату поступления к страховщику потерпевшего заявление о прямом возмещении;
2) страховщик причинителя вреда не является участником Соглашения на дату поступления к страховщику потерпевшего заявления;
3) в результате ДТП по заявленному событию участнику происшествия (водителю, пассажиру, пешеходу) причинен вред жизни или здоровью (в случае наличия данных сведений хотя бы в одном из представленных потерпевшим документов);
4) в ДТП, в результате которого потерпевшему был причинен вред, участвовало одно или более двух транспортных средств, кроме случаев, когда в ДТП участвовало транспортное средство без прицепа и транспортное средство с прицепом (автопоезд), при этом вред причинен транспортному средству без прицепа и только одному транспортному средству из автопоезда. В данном случае транспортное средство с принадлежащим физическому лицу прицепом к легковому автомобилю считается одним транспортным средством (транспортным средством без прицепа);
33 стр., 16412 слов
Мошенничество с использованием электронных средств платежа
… потерпевшему имущественного вреда; причинением потерпевшему имущественного ущерба. При квалификации мошенничества с использованием электронных средств … аналогом банковской карты: лицо, … данной дипломной работы использовались … С. 157. момент хищения, и аккумулированных на счетах потерпевшего. Не образует состава преступления по ст. 159.3 УК РФ деяние, в результате которого реальная сумма убытков …
5) договор ОСАГО потерпевшего не действовал на момент ДТП (договор не был заключен, договор не вступил в силу, закончился срок действия договора, договор был досрочно прекращен, договор признан недействительным и т.п.);
6) потерпевший обратился с Заявлением о прямом возмещении убытков в страховую организацию, выполняющую функции представителя страховщика потерпевшего по рассмотрению требований потерпевших о страховых выплатах;
7) до подачи потерпевшим страховщику потерпевшего заявления о прямом возмещении убытков по тому же событию к страховщику причинителя вреда уже поступило заявление с требованием о страховой выплате.
Под требования применения прямого возмещения убытков попадает большинство ДТП, происходящих на территории Российской Федерации.
Таким образом, теперь большинство потерпевших будут всегда обращаться за страховой выплатой по ОСАГО в ту страховую компании, которую они сами выбрали , заключая договор ОСАГО.
1. даже в случаях, когда вред причинен жизни и здоровью пострадавшего;
2. участие двух транспортных средств (включая случаи без столкновения);
3. также в случаях, когда есть третьи лица (животные, пешеходы и т.д.);
4. ДТП с участием падающего или уже упавшего с транспортного средства предмета;
5. максимальный размер ущерба устанавливается ежегодно так, чтобы в соглашение попадали 4 страховых случая из 5.
В Германии же система прямого возмещения не прижилась.
Европейский протокол во Франции предоставляет водителям возможность при отсутствии пострадавших в ДТП оформить необходимые документы о факте ДТП без привлечения сотрудников полиции. Это ускоряет сроки урегулирования страховых случаев по ОСАГО, сократить сроки урегулирования страховых случаев по ОСАГО, упростить процедуру получения возмещения для потерпевшего в ДТП.
Так, как было уже отмечено, опыт Франции послужил базой для организации прямого возмещения убытков в России в 2008 году. В соответствии с п. 48.1 и 48.3 Правил обязательного страхования гражданской ответственности [6], которые должны были вступить в силу, начиная 1 июня 2008 года, потерпевшему предоставлялось право предъявить требованием о возмещении вреда, причиненного его имуществу, непосредственно страховщику, который застраховал гражданскую ответственность потерпевшего (прямое возмещение убытков), ДТП произошло с участием двух транспортных средств, гражданская ответственность которых застрахована, а сумма ущерба не превышает 25 тысяч рублей. Однако на практике внесении данных норм в указанные сроки представилось невозможным.
За рубежом при проведении страхования в обязательной форме страховщики в большей части такого рода случае производят страховую выплату , а затем получают право на суброгацию к «причинителю ущерба».
Во многих зарубежных государствах (например, в Бельгии, Испании, Франции, Италии, Португалии) при ДТП, которое послужило результатом столкновения, при условии, что средства транспорта установлены, а авария повлекла за собой только ущерб имуществу, величина которого не превышает лимитов ответственности страховщика, применяется упрощенная процедура урегулирования убытков на основе Концепции IDA (Концепция о прямом возмещении застрахованным).
7 стр., 3420 слов
Экологические правонарушения в РФ: виды, ответственность
… ОТВЕТСТВЕННОСТИ ЗА ЭКОЛОГИЧЕСКИЕ ПРАВОНАРУШЕНИЯ, Юридическая отвественность экологическое правонарушение Когда речь идет об экологическом вреде, в законодательстве употребляются различные термины: вред, ущерб, упущенная выгода, убытки. Например, в Законе «Об охране окружающей природной среды» говорится о возмещении вреда, …
Сущность данной процедуры заключается в том, что участники ДТП составляют протокол о нем, а страховая выплата осуществляется на его основе непосредственно страховой организацией, в которой застрахован потерпевший, с последующим выставлением ею регрессионного риска в страховую компанию, застраховавшую ответственность причинителя вреда. Однако иногда возникают случаи, когда между страховыми компаниями, имеющими достаточно большое и примерно одинаковое количество застрахованных транспортных средств, заключается также соглашение, именуемое knock-forknock. Согласно ему страховщики не предъявляют друг другу регрессивные иски при ДТП с участием своих страхователей.
В Бельгии основной сложностью перехода на прямое возмещения явились высокие затраты на обработку документации, однако с появлением компьютеров и баз данных данные расходы удалось снизить до минимума. Единой базы по всем ДТП ни во Франции, ни в Бельгии нет, однако в Бельгии в общую базу заносятся данные по авариям, компенсация которых осуществляется посредством прямого возмещения.
Франция и Бельгия имеют единые стандарты технической экспертизы транспортных средств, попавших в ДТП. Так, во Франции вся информация и список оценщиков приведены на сайте министерства транспорта, а в Бельгии для подсчета ущерба применяется база данных Informex, в которой указываются цены всех автомобилей и запчастей, а также время ремонта.
Прямое возмещения может быть осуществлено отдельно, а может дополняться
В Австрии за безаварийную езду на протяжении двух лет предоставляется скидка в размере 20%, которая в перспективе может быть увеличена до 50%. При каждой аварии стоимость подлежит увеличению до 200%. Таким образом, проводится экономическая защита страхователей ОСАГО, не попадающих в ДТП, и стимулируется безаварийное управление автотранспортом. В соответствии с российским законодательством бонус-малус может составлять максимум 5%, что является достаточно малым значением.
Особо регламентируется порядок расчета сумм возмещения ущерба при наличии взаимной вины участников ДТП . При этом применяются несколько методов такого рода расчета, в частности:
1. принцип контрибуции, в соответствии с которым при взаимной вине участников ДТП выплаты не производятся не одному из участников;
2. правило «Миссисили» (доктрины сравнительной небрежности), которое базируется на том, что страховые выплаты производятся в размере пропорциональном ответственности каждой из сторон (к примеру, в случае если при столкновении двух транспортных средств доля вины владельца первого составляет 60%, а второго — 40%, то первому владельцу уплачивается по договору страхования второго 40% причиненных ему убытков, а второму по договору страхования первого владельца — 60%);
3. правило «Висконсис», согласно которому от страховых выплат освобождает сторона, которая в наименьшей степени виновна в страховом случае;
4. концепция «без вины», предусматривающая полное возмещение каждой стороне происшествия своей части ущерба, нанесенного другой стороне.
Выбор конкретного метода из вышеперечисленных обусловлен действующим законодательством, регламентирующий порядок возмещения вреда , а при отсутствии соответствующих норм — от условий договора страхования.
12 стр., 5766 слов
Принципы организации финансов страховщика
… этого временно свободные средства из страховых резервов и других накоплений. Вследствие этого денежный оборот страховой организации более сложен, чем у других коммерческих структур. Денежный оборот страховой организации включает два денежных потока, относительно самостоятельных друг …
В большинстве стран мира, где автострахование является обязательным, созданы дополнительные финансовые гарантии получения возмещения лицами, понесших вред в результате ДТП. Данные гарантии состоят в образовании специального гарантийного фонда, из которого потерпевшие могут получать возмещения при невыплате страховыми организациями. К таким случаям, в частности, относятся:
1. причинение вреда неустановленным средством транспорта;
2. причинение вреда лицом, не застраховавшим свою ответственность;
3. невозможность страховщика выполнить свои обязательства в связи с его неплатежеспособностью.
Источник формирования такого фонда — отчисления, производимые страховщиками от страховых премий, полученных по договорам страхования ответственности владельцев транспортных средств.
Размеры страховых тарифов при данном страховании устанавливаются в денежной сумме с единицы транспортно средств. Одновременно на территории России получила широкое распространение система установления тарифных ставок в процентах от лимита страховой ответственности или от стоимости транспортного средства.
Так, в странах Западной Европы размер страховой премии составляет примерно
Конкретная величина страховых премий зависит от многих факторов, которые влияют на степень страхового риска по договору. К таковым в частности относятся:
1. вид транспортного средства (легковой, грузовой автомобиль, автобус, мотоцикл и т.л.), его марка;
2. технические характеристики транспортного средства средства (мощность, максимальная скорость, грузоподъемность, число пассажирских мест);
3. характеристика лиц, управляющих средством транспорта (их число, водительский стаж, возраст);
4. территория эксплуатации транспортного средства;
5. характер использования транспортного средства (в личных целях, в служебных целях, для коммерческих перевозок грузов или людей);
6. число средств транспорта, подлежащих страхованию;
7. срок страхования (при коротких сроках страхования относительная величина страховой премии повышается, что объясняется относительным ростом накладных расходов и повышением риска дорожно-транспортных происшествий. Например, при страховании сроком на 10 дней величина страховой премии может составлять 10% от годовой суммы страховой премии, на 1 месяц — 20%, на 3 месяца — 40%, на 6 месяцев — 70% и т.д.
В ряде стран факторы риска, которые могут быть применены страховой компания при определении страхового тарифа, устанавливаются законами или в законодательном порядке при определении условий обязательного страхования автогражданской ответственности автовладельцев. Так, к примеру, во Франции факторами риска, которые необходимо принять во внимание, являются:
1. рейтинговая группа транспортного средства (всего 15 групп);
2. географический регион использования транспортного средства (всего 5 регионов, выделенных с учетом интенсивности дорожного движения);
3. род занятий страхователя (наивысшим риском обладают владельцы автотранспортных средств, использующие транспорт для производственных и коммерческих целей, наименьшим — фермеры на семейных фермах и их работники и учителя), водительский стаж пользователя автотранспортным средством, который коррелируется с показателем возраста и пола страхователя;
12 стр., 5607 слов
Ответственность налоговых органов и их должностных лиц за неправомерное …
… ст.114 НК РФ); Привлечение лица к налоговой ответственности не влечет состояния судимости (п.3 ст.112 НК РФ). Объект исследования — ответственность налоговых органов и их должностных лиц за неправомерное … правонарушения в сфере налогообложения. Курсовая работа преследует следующую цель: рассмотреть ответственность налоговых органов и их должностных лиц за неправомерные правонарушения. В связи с …
4. возраст автотранспортного средства; число пользователей застрахованным автотранспортным средством.
С целью решения проблемы возмещения убытков, причиненных потерпевшим иностранным владельцем автомобиля, в Европе с 1 января 1953 года действует Соглашение об обязательном страховании гражданской ответственности — «Зеленая карта».
Таким образом, при реализации прямого возмещения убытков на территории России базой решено было взять опыт применения ПВУ во Франции и Бельгии.
Основополагающим актом на территории России является Конституция Российской Федерации [1].
Статьей 35 Конституции РФ закреплено положительно, в соответствии с которым право частной собственности охраняется законом. Статья 46 содержит гарантию судебной защиты прав и свобод граждан. Решения и действия (или бездействие) органов государственной власти, органов местного самоуправления, общественных объединений и должностных лиц могут быть обжалованы в суд.
Анализ сущности института прямого возмещения убытков позволяет сделать вывод о том, что отношения, возникающие между страховщиками причинителя вреда и потерпевшего, содержат в себе элементы отношений представительства (ст. 183 ГК РФ [2]), солидарной обязанности (ст. 325 ГК РФ [2]), а также в некотором роде поручительства (ст. 366 ГК РФ [2]).
Так, например, страховщик потерпевшего является в чем-то представителем страховщика причинителя вреда, но действует от своего имени и в интересах потерпевшего. Однако в силу того, что потерпевший может обратиться за возмещением к любому из страховщиков, то здесь прослеживаются признаки солидарной обязанности (ответственности).
Но так как, в конечном счете, риск (результат) проведенного возмещения будет переложен на страховщика причинителя вреда, в этом можно увидеть элементы поручительства страховщика потерпевшего за действия страховщика причинителя вреда.
Реализация права на прямое возмещение убытков не ограничивает права потерпевшего непосредственно обратиться к страховщику, который застраховал гражданскую ответственность лица, причинившего вред, за возмещением вреда, который причинен жизни или здоровью, возник после предъявления требования о страховой выплате и о котором потерпевший не знал на момент предъявления требования.
Налоговый кодекс также содержит нормы, регулирующие отношения в сфере прямого урегулирования убытков. Так, п. 7 ч. 3 статьей 149 НК РФ [3] к операциям, не подлежащим налогообложению (освобождаемые от налогообложения), относит операции по страхованию, сострахованию и перестрахованию, в результате которых страховщик получает средства, полученные в соответствии с законодательством Российской Федерации об обязательном страховании гражданской ответственности владельцев транспортных средств соглашению о прямом возмещении убытков от страховщика, застраховавший гражданскую ответственность лица, причинившего вред.
Общие положения обязательного страхования ответственности водителей предусмотрены Федеральным законом «Об обязательном страховании гражданской ответственности владельцев транспортных средств» [4].
Прямое возмещение убытков регулируется статьей 14.1 данного Закона. В соответствии с данной нормой потерпевший предъявляет требование о возмещении вреда, причиненного его имуществу, страховщику, который застраховал гражданскую ответственность потерпевшего, в случае наличия одновременно следующих обстоятельств:
- a) в результате дорожно-транспортного происшествия вред причинен только транспортным средствам, указанным в подпункте «b»;
— b) дорожно-транспортное происшествие произошло в результате взаимодействия (столкновения) двух транспортных средств (включая транспортные средства с прицепами к ним), гражданская ответственность владельцев которых застрахована в соответствии с настоящим Федеральным законом.
Страховщик, который застраховал гражданскую ответственность потерпевшего, проводит оценку обстоятельств ДТП, изложенных в извещении о дорожно-транспортном происшествии, и на основании представленных документов осуществляет потерпевшему по его требованию возмещение вреда в соответствии с правилами обязательного страхования.
В соответствии с п.3 статьи 14.1 Закона реализация права на прямое возмещение убытков не ограничивает право потерпевшего обратиться к страховщику, который застраховал гражданскую ответственность лица, причинившего вред, с требованием о возмещении вреда, причиненного жизни или здоровью, который возник после предъявления требования о прямом возмещении убытков и о котором потерпевший не знал на момент предъявления требования.
Страховщик, который застраховал гражданскую ответственность потерпевшего, осуществляет возмещение вреда, причиненного имуществу потерпевшего, от имени страховщика, который застраховал гражданскую ответственность лица, причинившего вред (осуществляет прямое возмещение убытков), в соответствии с предусмотренным статьей 26.1 Федерального закона «Об ОСАГО» [4] соглашением о прямом возмещении убытков.
В случае исключения страховщика, застраховавшего гражданскую ответственность лица, причинившего вред, из соглашения о прямом возмещении убытков или введения в отношении такого страховщика процедур, применяемых в деле о банкротстве, либо в случае отзыва у него лицензии на осуществление страховой деятельности страховщик, осуществивший прямое возмещение убытков, вправе требовать у профессионального объединения страховщиков осуществления компенсационной выплаты в размере, установленном соглашением о прямом возмещении убытков.
Профессиональное объединение страховщиков, которое возместило в счет компенсационной выплаты по договору обязательного страхования страховщику, осуществившему прямое возмещение убытков, возмещенный потерпевшему вред, в предусмотренных статьей 14 настоящего Федерального закона «Об ОСАГО» [4] случаях имеет право требования к лицу, причинившему вред, в размере возмещенного потерпевшему вреда.
Потерпевший, имеющий в соответствии с Федерального закона «Об ОСАГО» право предъявить требование о возмещении причиненного его имуществу вреда непосредственно страховщику, который застраховал гражданскую ответственность потерпевшего, в случае введения в отношении такого страховщика в соответствии с законодательством Российской Федерации процедур, применяемых в деле о банкротстве, или в случае отзыва у него лицензии на осуществление страховой деятельности предъявляет требование о страховой выплате страховщику, который застраховал гражданскую ответственность лица, причинившего вред.
Исходя из публичной сущности института прямого урегулирования убытков, участие в соглашении о прямом возмещении убытков представляется обязательным для всех страховых компаний, которые осуществляют обязательной страхование. Данное обстоятельство подтверждается конкретным указанием в Федеральном законе «Об обязательном страхование автогражданской ответственности» на то, что уставом профессионального объединения страховщиков должно быть прямо предусмотрено, что заключение соглашения о прямом урегулировании убытков со всеми членами такого объединения является обязательным условием членства страховой компании в профессиональном объединении.
В развитие общих положений статьи 26.1 Федерального закона, Условия Соглашения определяются
Соглашение должно содержать:
1. порядок возмещения вреда страховщиком, застраховавшим гражданскую ответственность лица, причинившего вред, страховщику, осуществившему прямое возмещение убытков;
2. порядок определения средних сумм страховых выплат;
3. обязанность страховщика причинителя вреда возместить страховщику потерпевшего возмещенный им от имени страховщика причинителя вреда вред потерпевшему в счет страховой выплаты по договору обязательного страхования;
4. обязанность профессионального объединения страховщиков возместить страховщику потерпевшего возмещенный им от имени страховщика причинителя вреда вред потерпевшему в счет осуществления компенсационной выплаты в случаях, установленных пунктом 6 статьи 14.1 Федерального закона «Об ОСАГО» [4];
5. перечень документов, подлежащих оформлению при осуществлении прямого возмещения убытков, порядок, сроки и способы обмена указанными документами (в том числе порядок их регистрации и хранения);
6. способ и сроки отправки страховщиком потерпевшего страховщику причинителя вреда либо в установленных пунктом 6 статьи 14.1 Федерального закона «Об ОСАГО» [4] случаях профессиональному объединению страховщиков предварительного уведомления, содержащего сведения о требовании потерпевшего, обстоятельствах причинения вреда в связи с повреждением имущества потерпевшего в результате дорожно-транспортного происшествия, предполагаемом размере выплаты по прямому возмещению убытков;
7. условия, способ и сроки осуществления расчетов между участниками Соглашения;
8. порядок разрешения споров между участниками Соглашения;
9. ответственность страховщика причинителя вреда за неосуществление в установленный Соглашением срок возмещения страховщику потерпевшего суммы оплаченных убытков (в зависимости от выбранного способа расчетов между страховщиками), либо за отказ страховщика причинителя вреда осуществить возмещение страховщику потерпевшего суммы оплаченных убытков;
10. ответственность профессионального объединения страховщиков за неосуществление в установленный срок, либо необоснованный отказ осуществить страховщику потерпевшего компенсационную выплату в случаях, предусмотренных пунктом 6 статьи 14.1 Федерального закона «Об ОСАГО» [4];
11. способы обеспечения исполнения обязательств по Соглашению;
12. срок действия Соглашения, порядок внесения изменений в Соглашение и основания его прекращения.
Таким образом,
Так, с августа 2014 года в стране действует безальтернативное прямое возмещение убытков, которое может быть осуществлено при наличии ряда условий, в частности, в случае, если ДТП произошло в результате взаимодействия (столкновения) только двух транспортных средств (включая транспортные средства с прицепами к ним); ответственность обоих участников ДТП застрахована по ОСАГО, то есть они имеют действующие на момент ДТП полисы ОСАГО на автомобили, участвующие в ДТП; вред причинен только указанным транспортным средствам.
Содержание статьи
Показать
Скрыть
Только треть страхователей, по мнению самих страховщиков, доверяют им полностью. Остальные — нет. И чаще всего из-за проблем, с которыми пришлось сталкиваться в процессе урегулирования страховых случаев.
В прошлом году количество жалоб потребителей главному защитнику — финуполномоченному — сократилось до 180 тыс. со 187,4 тыс. в 2020 году. В лидерах традиционно ОСАГО — 161 тыс. обращений. В основном страхователи недовольны размером и сроками выплаты. С такими же жалобами они обращаются и в Службу по защите прав потребителей и обеспечению доступности финуслуг Банка России.
Новая тенденция — в оба института потребители стали чаще жаловаться на страхование жизни и от несчастных случаев. Прежде всего из-за невозврата премии при досрочном завершении действия кредитного договора, из-за нарушения сроков выплаты или отказа в ней.
Но есть и неожиданные ситуации.
А был ли офис?
В службе финуполномоченного обратили внимание на то, что у некоторых страховщиков есть «фейковые» офисы. «Изначально СК ведет себя клиентоориентированно, на сайте размещена информация об офисах по урегулированию убытков (это отделы, сведений о которых нет в ЕГРЮЛ), причем на сайте говорится, что этот же отдел принимает и претензии потребителей, — рассказала финуполномоченный в сфере страхования Светлана Максимова на конференции «Claims & Pays 2022. Урегулирование убытков». — Однако когда по этому адресу страхователь отправляет свое обращение, выясняется, что страховщик его не получил». Разгневанный потребитель пишет жалобу, а страховщик отвечает, что никакого обращения он в глаза не видел и этого офиса в ЕГРЮЛ у него нет, потому что это ни представительство, ни филиал. «Нам такая практика кажется недобросовестной, — продолжает она. — Если финорганизация на своем сайте написала, что по этому адресу она урегулирует убытки и принимает претензии, то не забрать с почты претензию, которая направлена именно по этому адресу, — это неправильно. Мы в этом случае считаем, что претензионный порядок был соблюден, и принимаем жалобы от страхователей».
Ответ в последний день
Любыми путями затягивать сроки урегулирования страховых случаев — это практика многих страховщиков. «Основные проблемы, которые мы видим в страховании от несчастных случаев (НС) и жизни, — это нарушение сроков, установленных правилами, и несвоевременное уведомление о перечне необходимых документов, — говорит заместитель руководителя Службы по защите прав потребителей и обеспечению доступности финансовых услуг Банка России Анна Карева. — Более того, ряд страховых компаний сознательно затягивают сроки — есть 30 дней на уведомление потребителя, и СК уведомляет его в последний день этого срока. И так каждый раз, пока не будет предоставлен весь пакет документов. В результате процесс урегулирования растягивается на долгие месяцы».
#}
Ставка: от 5.5%
Платеж: 9 059 ₽
#}
Не только со страхователями отношения затягиваются, но и с партнерами. Анна Карева приводит историю с выплатой в автостраховании, которую рассматривала служба. Автовладелец 2 ноября 2020 года попал в ДТП, 10 ноября обратился в страховую компанию, получил направление на ремонт и 25 ноября обратился на СТО. На этом этапе страховщик сработал оперативно. Но дальше начались проблемы — машина более полугода находилась на СТО, и все это время СК и СТО проводили уточнение возможности ремонта. Только к маю следующего года СТО выдала отказ от ремонта, поскольку у нее нет деталей для его проведения. Все это время автовладелец обращался и в СТО, и к страховщику, но последний по непонятным причинам не принимал никакого решения. «В сентябре 2021 года ситуация разрешилась выплатой после того, как автовладелец обратился в Банк России, — дополняет она. — И то не с первого раза, потому что страховая компания направила выплату почтовым переводом, что не предусмотрено законодательством. Более того, не сообщила об этом заявителю».
На ремонт в другой город
В каско финуполномоченный увидел две типовые ситуации. Первая — когда у страховщика нет договора с СТО, способной отремонтировать именно этот автомобиль, а в договоре со страхователем прописан обязательный ремонт. «Была ситуация со Skoda 2020 года, которая находилась еще на гарантии, — рассказывает финомбудсмен. — Когда договор каско заключался, страховщик сам прописал способ урегулирования убытков — ремонт на станции официального дилера. Произошел страховой случай, и он отказал в ремонте, предлагая взамен деньги, поскольку у него нет договора с официальным дилером. Ну извините, на момент заключения договора никто насильно не заставлял страховую компанию прописывать ремонт. На наш взгляд, это не просто недобросовестная практика, это безобразная ситуация».
Вторая порочная практика страховщиков — отправить автомобиль после аварии на ремонт за тридевять земель. В каско в отличие от ОСАГО нет ограничения на расстояние, на котором должна находиться ремонтная мастерская от места жительства автовладельца. Это развязывает страховщикам руки. «Договор каско с автовладельцем был заключен в городе Находка, произошло ДТП, а по договору способ урегулирования — только ремонт, — продолжает Светлана Максимова. — В итоге страховщик выдал автовладельцу направление на СТО во Владивосток — это 180 километров. А почему не в Москву? Человек логично был возмущен, требуя хотя бы обеспечить ему эвакуатор».
В Банке России к самым распространенным нарушениям со стороны страховщиков в автостраховании относят:
- направление на ремонт после подписания страхователем согласия на увеличение его сроков и согласия на использование б/у комплектующих;
- нарушение сроков проведения осмотра, оплата за него, несмотря на рекомендации ЦБ, и несвоевременное предоставление автовладельцу акта осмотра;
- направление на ремонт на СТО, которая не готова отремонтировать авто;
- нарушение сроков ремонта и отсутствие возможности выразить несогласие с увеличением его сроков.
Узнал о расторжении договора после ДТП
Еще одна порочная практика спровоцирована тем, что страховщики «забывают» сообщать страхователям о расторжении договора. Финомбудсмен рассматривал ситуацию, когда авто, застрахованное по ОСАГО, попало в ДТП и страховщик признал его полную гибель. Автовладельцу выплатили компенсацию за «погибший» автомобиль, то есть тоталь. «А после этого никаких действий со стороны страховщика не было, — рассказывает Максимова. — Автовладелец машину отремонтировал и продолжил эксплуатировать, то есть физической ее гибели не произошло. Спустя какое-то время авто опять попадает в аварию, и страховщик отказывает в выплате по ОСАГО на основании того, что договор был расторгнут ранее в связи с полной гибелью машины. Возможна ситуация, когда страховщик оценивает экономическую гибель авто как физическую и тут же после выплаты направляет документы о расторжении договора ОСАГО. Но в данном случае автовладелец узнал о расторжении договора ОСАГО только после того, как обратился за второй выплатой. Нам кажется, это совершенно неправомерная практика».
Кто должен оплатить допрасходы
Зачастую страховщики хотят получить от страхователей оригиналы документов или нотариально заверенные копии, присланные почтой. Непраздный вопрос для многих: кто должен оплачивать эти дополнительные расходы? По мнению финомбудсмена, это должны делать страховщики. «Такие расходы вызваны наступлением страхового случая и необходимы для реализации потерпевшим своего права на получение страховой выплаты, — говорит Максимова. — Мы полагаем, что почтовые расходы являются частью страховой выплаты и подлежат возмещению клиенту. Как и нотариальные расходы, которые вызваны необходимостью, то есть если доверенность выдана после наступления страхового случая, в ней указаны конкретная страховая компания и страховой случай, и доверенность использовалась».
А вот расходы на аварийного комиссара никто компенсировать не будет, потому что они не считаются необходимыми для урегулирования страхового события. «Мы не выявили ни одного случая, когда расходы на аваркомов были бы необходимы. Как заполнить извещение о ДТП, должен знать любой водитель. Помощь в урегулировании убытков тоже не является необходимой — это обязанность страховщика. А если ДТП оформлялось с участием сотрудников полиции, то они оформляют документы».
Мобильное приложение не пропустит страховой случай
Справедливости ради стоит сказать, что количество жалоб потребителей, по крайней мере объективных, где страховщики действительно нарушают права своих клиентов, сокращается. По словам Анны Каревой, это происходит благодаря тому, что за последнее время многие страховые компании сильно изменили свои бизнес-процессы, партнерские отношения и цифровые каналы. «У некоторых СК были проблемы, когда они своевременно выдают направление на ремонт, но не направляют его потерпевшему, — отмечает она. — Бывали ситуации, когда приняты документы и составлен акт о страховом случае, а направление не выдано или выплата не произведена. СК регламентировали свои бизнес-процессы, автоматизировали их. Для урегулирования отношений с СТО внедрили хорошие практики, например аукцион: при заявлении о страховом случае определяется, кто из СТО готов взять авто на ремонт, чтобы исключить случаи выдачи направлений на СТО, которая отказывается от ремонта. СК регламентировали свои отношения с СТО, прописав, в какие сроки СТО должна уведомлять СК и как. Еще одной мерой стал запуск осмотра авто в электронном виде. Ряд компаний принимают решение об убытке на основании электронных документов, не дожидаясь поступления бумажных».
Лидеры рынка сократили сроки урегулирования до 3—7 дней. Здорово помогли в этом мобильные приложения, которые позволяют не только купить полис (такие есть у большинства СК), а урегулировать страховой случай онлайн. Правда, пока такими могут похвастаться лишь с десяток страховщиков.
Ольга КОТЕНЕВА, Banki.ru
метки: Урегулирование, Убыток, Страхование, Страхов, Страховщик, Компания, Клиент, Автокаско
Введение
Фрагмент работы для ознакомления
руб. или 102,0% по сравнению с предыдущим годом. В 2014 г., соответственно 267 776,7 млн. руб. или 115,0% по сравнению с 2013 г.В ходе анализа российского рынка автострахования выявлено снижение спроса на новые договоры вследствие их удорожания (по всем видам), что в свою очередь обусловлено падением продаж новых автомобилей и уменьшением выданных автокредитов. Повышение в последние два года объемов по автострахованию за счет выбора автовладельцами усеченных программ автоКАСКО и полисов с франшизой, которые по стоимости более дешевые, не смогло обеспечить тенденцию финансового перевеса в пользу роста всего рынка автострахования. В целом сегмент добровольного автострахования продемонстрировал в 2015 г. падение на 12,2%, тогда как сегмент обязательного автострахования показал рост на 24,1%по сравнению с предыдущим периодом.Структура и динамика развития рынка автострахования в России характеризуются неустойчивостью с выявленной тенденцией влияния на его колебания сегмента обязательного автострахования, в котором возрастает реальная убыточность и активизируются меры по ее снижению. Динамика и структура сегмента добровольного автострахования отражают общую тенденцию потребительского спроса на авторынке и рынке автокредитования, имея при этом внутренние факторы развития по усеченным программам и внедрению системы франшиз.За счет отказа части автовладельцев от приобретения обязательной и добровольной автогражданки по возросшей стоимости количество договоров каско и ОСАГО в 2015 году заметно сократилось. Количество договоров по страхованию автокаско за год сократилось более чем на четверть (-26,9%).
За счет увеличения тарифов взносы сокращались меньшими темпами (-14,3%).
На рынке ОСАГО так же наблюдается сокращение количества договоров (на 7,8%), которое компенсируется резким увеличением тарифов.Таблица 2.3 — Динамика числа договоров по автострахованиюВид страхованияКоличество договоров, ед.Темпы прироста количества договоров 2015/ 12014,%Темпы прироста взносов 2015/ 2014,%20152014ОСАГО39 583 39942 940 151-7,844,9Страхование средств наземного транспорта3 812 1595 212 434-26,9-14,3ВСЕГО143 462 178157 284 097-8,8%3,6Квартальные темпы прироста взносов по ОСАГО достигли максимума в 3 квартале 2015 года и составили 59,0%, в 4 квартале 2016 года значение показателя было равно 41,3%. Высокие квартальные темпы прироста взносов непосредственно связаны с повышением тарифов. Замедление темпов прироста взносов в последнем квартале 2015 года связано с исчерпыванием эффекта от первого повышения тарифов, произошедшего в октябре 2014 года.При этом увеличение лимитов привело к заметному росту темпов прироста выплат: в 4 квартале 2015 года значение показателя составило 38,5%, что на 18 п.п. выше аналогичного показателя 2014 года. По прогнозам RAEX (Эксперт РА), в 2016 году в связи с резким замедлением роста взносов вслед за исчерпыванием эффекта от роста тарифов и увеличением выплат за счет роста выплат, осуществляемых по новым лимитам, темпы прироста выплат по ОСАГО заметно превысят темпы прироста взносов (рис.
16 стр., 7735 слов
Правовое регулирование договора перевозки пассажиров и багажа
… выбранной темы. Таким образом, цель данной работы — исследовать правовое регулирование договора перевозки пассажиров и багажа. Достижение указанной цели … курсовой работы обусловлены целями и задачами, а также содержанием настоящего исследования. Работа включает введение, три главы, заключение, библиографию. 1. Общие положения договора перевозки пассажира и багажа, .1 Понятие договора перевозки …
2.1).Рисунок 2.1 – Квартальные темпы прироста взносов и выплат по ОСАГОСредняя выплата по ОСАГО в 2015 году составила 46,3 тыс. рублей, превысив на 12,8 тыс. рублей показатель 2014 года. При этом средняя выплата в 4 квартале 2015 года достигла 53,8 тыс. рублей (38,1 тыс. рублей в 4 квартале 2014 года).В 2015 году отмечен также прирост средней страховой премии по ОСАГО на 57% по сравнению с 2014 годом. Ее значение составило 5,5 тыс. рублей, против 3,5 тыс. рублей в 2014 году. Средняя величина премии в 4 квартале 2015 года достигла 6,1 тыс. рублей (+1,9 тыс. рублей к значению 4 квартала 2014 года).Рисунок 2.2 – Квартальная динамика средней премии и средней выплаты по ОСАГОРост тарифов по обязательной автогражданке положительно отразился на динамике взносов топ-20 компаний по этому виду страхования. В 2015 году отрицательную динамику взносов по ОСАГО показала только страховая компания Согласие. Годом ранее 10 компаний из топ-20 сокращали долю ОСАГО в портфелях.Рисунок 2.3 – Динамика взносов по ОСАГО топ-20 компаний сегментаСредняя выплата по страхованию автокаско в 4 квартале 2015 года составила 64,1 тыс. рублей, превысив на 7,1 тыс. рублей аналогичный показатель 4 квартала 2015 года.В 4 квартале 2015 года отмечен также прирост средней страховой премии по страхованию автокаско на 13,4% по сравнению с 4 кварталом 2014 года.
Ее значение составило 50,7 тыс. рублей, что превысило аналогичный показатель 2014 года на 6,0 тыс. рублей.Рисунок 2.4 – Квартальная динамика средней страховой премии и средней страховой выплаты по страхованию автокаскоВ связи с ростом убыточности страхования автокаско за счет ослабления курса рубля, крупнейшие игроки этого сегмента продолжают санировать свои портфели. В 2015 году сокращение взносов по автокаско наблюдалось у 14 компаний из топ-20. В 2014 году взносы по этому виду страхования сокращали лишь 4 компании из 20 лидеров рынка.Рисунок 2.5 – Динамика взносов по автокаско топ-20 компаний сегмента2.2 Факторы развития рынка автострахования и процедуры урегулирования убытковУслуги автострахования относятся к наиболее динамично развивающимся рынкам коммерческого страхования. В основе роста рынка автостраховых услуг в России лежат следующие факторы, детально рассмотренные в диссертационном исследовании:быстрое расширение автомобильного парка страны;техническое состояние эксплуатируемого автомобильного парка и возможности автосервиса;состояние безопасности дорожного движения и автомобильных дорог;сохранение высокого уровня криминогенной обстановки вокруг частных автомобилей (кражи, угоны), сочетающееся с неудовлетворительной работой правоохранительных органов.На сегодняшний день конкуренция между страховыми компаниями сместилась в неценовую область: компании конкурируют за счет широкой линейки страховых продуктов, разнообразия и качества услуг.
5 стр., 2062 слов
Анализ производственно-хозяйственной деятельности ОАО «Федеральная …
… вложения в размере 30,3 млрд. руб. основное направление инвестиционной программы Компании в исследуемом году — обновление парка пассажирских вагонов. Управление рисками: риски по … на 15%. Международная деятельность: в исследуемом году международная деятельность компании была направлена на повышение эффективности международных пассажирских железнодорожных перевозок и позиционирование ОАО …
Главной целью ведущих страховых компаний является внедрение инновационных продуктов, модернизация продуктов компании и повышение сервиса при урегулировании страховых событий.Российский страховой рынок в прошедшем 2016 году показал довольно значительные темпы роста операций. Премии по рынку выросли на 12%, достигнув 905 млрд. рублей, тогда как дефлятор ВВП составил по итогам года 6,5%.Таким образом, рынок вырос в реальном выражении на 5,5%, а отношение премии к ВВП увеличилось по итогам года до 1,36% против 1,31% в 2015 году. Расходы населения на страхование увеличились в номинальном исчислении на 18% до 479 млрд. рублей, доля страховой премии в общих расходах домохозяйств на потребление достигла 1,39% против 1,3% годом ранее. Наблюдается стабильный спрос на онлайн услуги по страхованию. Связано это с быстротой получаемой информации и удобством пользования такого рода услугами. Также повышенным спросом пользуются страховые сервисы. Особенно высокий рейтинг у калькуляторов КАСКО и ОСАГО. Также часто потребители обращаются к возможности быстрого расчета стоимости полиса или к ресурсам, с помощью которых можно найти информацию о рейтингах страховых компаний, а также просмотреть отзывы о них.Доходы страховщиков в сегменте добровольного страхования автомобиля выросли во многом благодаря резкому скачку спроса на автокредиты.
Тарифы у большинства страховых компаний практически сравнялись. В среднем полис КАСКО для отечественного нового авто обходится в 8–10% от его стоимости, для иномарок – 6–9%. Однако в последний год страховщики изменили свой подход к расчету стоимости страхового полиса. Сегодня в основе цены полиса – не только стоимость машины, но и марки, модели, года выпуска авто и места его эксплуатации. Крупные страховщики накопили серьезную статистическую базу относительно частоты ДТП и угоняемости разных марок в различных городах.В среднесрочной перспективе рост добровольного страхования будет происходить параллельно с изменением структуры автомобильного парка за счет сокращения числа старых и недорогих машин.Главным фактором влияния на рост продажи полисов КАСКО является увеличение объемов продаж легковых автомобилей в кредит. Все кредитные автомобили страхуются по схеме КАСКО плюс ОСАГО. Нередко условием банка является дополнительное страхование гражданской ответственности владельца. Спецификой страхования кредитных машин является то, что в случаях угона машины, а также в случае полной конструктивной гибели выгодоприобретателем в части непогашенной задолженности по кредиту является банк. По остальным рискам первым выгодоприобретателем является автовладелец.
Тариф на страхование кредитного автомобиля зачастую выше, чем у некредитного, поскольку при страховании некредитного автомобиля базовый страховой тариф может быть уменьшен за счет различных скидок 3. Проблемы и направления совершенствования процедуры урегулирования убытков на рынке автострахования в РФВлияние финансового кризиса на рынок автострахованияВ период падения страхового рынка в условиях кризиса некоторые страховщики пытаются сохранить приток средств за счет демпинга. Однако данный путь не приводит к успеху. Экономический спад в России является довольно продолжительным, такие страховые компании сталкиваются с проблемой кассового разрыва. Страховщики, которые выберут стратегию демпинга, только отложат проявление своих фундаментальных проблем с устойчивостью.Если ОСАГО – это тот вид страхования автомобиля, без которого автовладельцу просто не обойтись, то КАСКО – это возможность выбора, страховать автомобиль дополнительно или нет. В условиях нехватки наличных средств, волны сокращений и растущей безработицы, можно было бы ожидать, что рынок каско понесет значительные убытки.Однако на практике картина не является такой депрессивной. Несмотря на общемировые кризисные тенденции, рынок КАСКО продолжает испытывать подъем, пусть и ограниченный упавшими потребительскими способностями населения.
4 стр., 1613 слов
Теоретические аспекты КАСКО-страхования
… ДТП или иными страховыми случаями. Страхование автомобиля от утраты товарного вида — это страхование на случай уменьшения действительной стоимости ТС в результате выполнении ремонтных работ. При этом … поставлено на учет в ГИБДД и своевременно пройти техосмотр. При страховании по полному каско практически все страховщики требуют наличия электронной противоугонной системы (сигнализации), а …
Аналитики считают, что в наступившем 2010 году страховщики получат более ста девяноста миллиардов премий, что превышает показатели прошлого года.Что помогает КАСКО оставаться востребованной даже в период кризиса услугой? Прежде всего, уникальность этого вида страхования. Только КАСКО способно дать автолюбителю ту степень гарантий, которая его полностью устроит. И как это ни парадоксально, но автовладельцы именно сейчас готовы тратить больше денег на страхование своего транспортного средства.В условиях кризиса люди начинают больше ценить то, что имеют, и стремятся это сохранить. Дополнительные гарантии в виде страхового полиса КАСКО избавляют от лишних волнений.Если на протяжении последних лет рост популярность КАСКО объяснялся тем, что данный вид страхования сопутствовал покупке автомобиля в кредит, то сейчас картина изменилась. Пару лет назад покупатель кредитного автомобиля просто не мог избежать участи дополнительного страхования автомобиля, даже если не хотел никаких дополнительных гарантий, кроме полиса ОСАГО.Сейчас автовладелец приходит в страховую компанию по собственной инициативе, и страхует свой автомобиль по системе КАСКО (по данным аналитики «УралСиб»).
КАСКО стало желанным видом страхования, а не вынужденной мерой.Таким образом, рынок автострахования КАСКО – одна из немногих отраслей, на которые мировой финансовый кризис оказывает наименьшее влияние. И перспективы роста данного рынка оцениваются как стабильные и успешные.На рынке розничного страхования клиентами в основном являются лица со средним и высоким доходом, считающие страхование цивилизованным способом защиты и готовые платить больше за более высокий уровень сервиса и надежности.Страховые компании планируют в условиях кризиса сконцентрироваться на развитии самых значительных с точки зрения объемов линиях бизнеса: КАСКО, ОСАГО.Страховые компании смогут увеличить долю не только благодаря дальнейшему развитию своей деятельности, но и за счет принятия на страхование высвобождающихся страховых портфелей конкурентов, некоторые из которых будут испытывать финансовые затруднения. Такие затруднения будут вызваны несколькими основными факторами: недостаточными страховыми резервами, показателями убыточности и расходов на ведение дела, высокой долей в портфеле договоров ОСАГО. Взвешенная политика страховых компаний в области резервирования, андеррайтинга и риск-менеджмента позволяет смотреть в будущее с оптимизмом – невзирая на неблагоприятную внешнюю конъюнктуру, продолжить реализовывать потенциал и увеличивать долю на рынке, сохраняя качество бизнеса.Автострахование было, есть и будет ключевым сегментом рынка страхования.
14 стр., 6617 слов
Страхование внешнеторговых грузов
… договора страхования, которая подтверждается инвойсами, оформленными в соответствии с требованиями внешнеторгового контракта. Конкретный порядок исчисления размера страховой стоимости имеет свои особенности в … в международных перевозках. Этот вид страхования осуществляет непосредственно владелец транспортных средств. Стороны по внешнеторговому контракту не имеют отношения к страхованию «каско», за …
В развитых странах этот вид страхования является убыточным, но им все равно занимаются из-за его большой социальной значимости, ведь это, пожалуй, единственный продукт в страховании, который страхователь покупает самостоятельно. Рынок автострахования проявляет свою зависимость от других сегментов страхового рынка. На сегодняшний день страховщики столкнулись с двумя проблемами: как удержать клиента и как привлечь нового. В свою очередь увеличилась миграция клиентов. Причинами этого стали: политическая нестабильность, предоставление скидок при переходе от одного страховщика к другому, отбор лицензий у некоторых СК, негативный опыт со стороны клиента, а так же советы друзей. Конкурировать в ценовом сегменте сегодня становится нецелесообразным. То, что демпинг – это путь в никуда осознали не только владельцы и акционеры СК, но и сами клиенты. Самой большой возможностью, которую дает сегодня кризис – является оттачивание и оптимизация обслуживания страхователя. В отсутствии качественно нового ценового предложения, СК может предложить сегодняшнему клиенту адекватный и удобный сервис, благодаря которому и набрать популярности и известности. Особое внимание компаниям сегодня следует уделить качеству выполнению своих обязательств.Какие тенденции существуют и наиболее актуальны сегодня:
- эффективное формирование резервов (эффективная финансовая политика компании);
- сегментация клиентов (ориентация на своего потенциального клиента);
- добросовестная конкуренция;
- реализация мощных комплексов IT (внедрение новых комплексов для улучшения обслуживания);
- внедрение эффективной структуры оценки сатисфакции и мнения клиента;
- внедрение франшизы (как средства участия клиента в расходах СК).«Нужно уметь поладить с клиентами и трезво оценить, как относится потенциальный клиент к работе СК.
На самом деле, вопрос качества обслуживания клиента – это верный и своевременный сигнал для СК о правильности проводимой политики, а также залог эффективных изменений. Нужно качественно проводить мониторинг своих услуг и сатисфакции клиента. Все опросы и регуляции необходимо осуществлять вовремя на конкретных этапах внедрения экономической модели. Чтобы понять, что именно нужно клиенту, нужно самому встать на его место. Привлечение клиента будет эффективным только тогда, когда вы сможете понять клиента, его особенности и нужды.3.2 Проблемы развития процедуры урегулирования убытков на рынке автострахования в РФНесмотря на то, что в России страхование является относительно молодой отраслью, страховщики также как и фирмы других направлений сталкиваются с проблемой и необходимостью обеспечения финансовой устойчивости.
Специфика оценки страховой компании заключается, во-первых, в том что компания продает услуги, а значит не обладает запасами, сырьем, материалами, которые можно реализовать или изготовить продукцию, получив при этом прибыль; а во-вторых, денежные потоки страховой организации совершенно непредсказуемы в части выплат страховых возмещений, что является определенной проблемой при формировании инвестиционной политики, страховых резервов и т.д.Подавляющее число страховщиков не имеет достаточного опыта работы, отсутствует достоверная статистика, поэтому большинство принимаемых на страхование рисков в нужной степени не изучены. В силу неразвитости механизма защиты прав потребителей и отсутствия нормального режима судопроизводства клиенты практически лишены возможности самостоятельно удовлетворить претензии к страховых организациям в случае невыполнения ими своих обязательств. В мировой практике ответственность перед страхователем несет тот, кто выдавал страховщику, не сумевшему выполнить обязательства перед страхователем, лицензию. Российское Министерство Финансов не берет на себя этой ответственности. К тому же в мире принят порядок, при котором крупные ассоциации страховщиков формируют гарантийные фонды, средства которых предназначены для возмещения убытков застрахованных при возможной неплатежеспособности страховой организации.
11 стр., 5498 слов
Анализ тенденций развития обязательного страхования в России
… обязательного страхования в России; провести анализ динамики показателей рынка обязательного страхования в России рассмотреть проблемы обязательного страхования; определить направления и перспективы развития обязательного страхования в России. Объектом исследования в курсовой работе явилось обязательное страхование. Предметом исследования — проблемные аспекты обязательного страхования в России. …
В России же убытки в полном объеме ложатся на плечи застрахованного лица.Оценка финансовой устойчивости страховых организаций, в связи со значимостью страховой защиты в обществе приобретает особое значение. Поскольку проблема обеспечения страховой организации возникла недавно, в отечественной теории страхования ей не уделялось достаточного внимания и не изучалась отечественной наукой. Объектом исследования были некоторые вопросы финансовых результатов страховых операций, но не каждого отдельного страховщика, действующего в рыночной среде. Поэтому и показатели анализа финансового состояния и финансовой устойчивости несовершенны. Исследования последних десятилетий проводились на макроуровне, что в значительной степени объяснялось наличием государственной монополии, огромным числом потенциальных объектов страхования и наличием единственного крупнейшего в мире страховщика — Госстраха. До сих пор среди специалистов нет единого мнения об объеме обязательств, составе и оценке свободных активов, финансовых гарантиях и других проблемах их обеспечения, связанных с формированием рационального страхового портфеля, раскладкой риска, формированием страховых резервов. В связи с этим страховая практика вынуждена решить эти вопросы эмпирически.В целях обеспечения финансовой устойчивости страховщика, как в России, так и за рубежом, законодательно устанавливается требование к минимальному уровню уставного капитала.
На первых этапах развития рынка страхования в России требования к минимальному размеру уставного капитала страховых компаний были занижены, что привело к созданию большого количества мелких страховых компаний. В настоящее время законом «Об организации страхового дела в Российской Федерации» установлен минимальный размер оплаченного уставного капитала в размере 30 млн руб., за исключением компаний, занимающихся страхованием жизни; 60 млн руб. для страховых компаний, занимающихся страхованием жизни; и 120 млн руб. для профессиональных перестраховщиков.Во всех случаях максимальная ответственность по отдельному риску в договоре страхования не может превышать 10 % собственных средств страховщика.Для оценки финансовой устойчивости необходим анализ его финансового состояния. Анализ применяемых в России критериев оценки финансового положения страховщиков показывает, что число таких показателей невелико, но они часто не связаны между собой. Это вытекает из того, что деятельность страховщика состоит из нескольких элементов:
10 стр., 4549 слов
Автотранспортное страхование
… эксплуатации транспортного средства. Тариф от стихийных бедствий редко превышает 1 %. Украинские страховщики предлагают разнообразные условия страхования средств наземного транспорта. Но редко … средства имущественный интерес. Объем страховой ответственности зависит от вариантов (программ) страхования, разработанных конкретными страховщиками, и от пожеланий клиентов. Например, страхование …
- непосредственно проведение страховых операций;
- инвестирование финансовых ресурсов;
— прочей деятельности (получение кредитов, расчеты с бюджетом и с внебюджетными фондами, финансирование собственной деятельности).
При этом необходимо учитывать трансфер риска, как основную особенность страховой деятельности.В свою очередь, сам страховой риск также является синтетическим, т.е. зависящим от ряда факторов: вида страховой деятельности, взаимоотношения с перестраховщиками, размеры тарифных ставок по заключенным договорам, объемы принимаемого риска, возможности формирования оптимального страхового портфеля, фактические отклонения частоты наступления страховых случаев и размеров ущерба от среднестатистических.Исходя из этого, анализ финансового положения страховщика должен быть только на основе исследования группы показателей, которые с одной стороны, могут быть, представлены в виде твердо установленных нормативов, а с другой — в виде рекомендательных параметров. Показатели могут быть и количественные и относительные.
Список литературы
[Электронный ресурс]//URL: https://obzone.ru/diplomnaya/uregulirovanie-ubyitkov-po-osago/
1. Гражданский кодекс РФ (часть 1,2).
– М: СПб.: 2008.
2. Федеральный закон «Об организации страхового дела в РФ» № 4015-1 от 27 ноября 1992 года.
3. Федеральный закон «О внесении изменений и дополнений в закон РФ «Об организации страхового дела в РФ» и признании утратившими силу некоторых законодательных актов российской федерации» № 172 от 10 декабря 2003 года.
4. Приказ от 30.10.95 №02-02/20 об утверждении “Инструкции о порядке расчета нормативного соотношения активов и обязательств страховщиков” (в ред. от 19.06.96 -№02-02/16).
5. Федеральный закон от 25.04.2002 N 40-ФЗ (редакция от 23.07.2013) «Об обязательном страховании гражданской ответственности владельцев транспортных средств»
6. Анциферов В.А. О моменте заключения договора имущественного страхования // Современное право. — М.: Новый Индекс, 2010, № 12. — С. 56-59
7. Аракелян А.Г. Проблемы понятия и квалификации договора страхования в современном гражданском праве // Вестник Волгоградского государственного университета. — Волгоград: Изд-во ВолГУ, 2009, № 11. — С. 56-62
8. Белова Т.Н. Договор имущественного страхования // Актуальные проблемы права: Сборник научных трудов. — М.: МГИУ, 2009, Вып. 9. — С. 175-184
9. Василенко Н.В., Лаврененко Е.Г. Правовая природа имущественного страхования. Отличие договора имущественного страхования от иных смежных договоров // Вестник факультета юриспруденции и ювенальной юстиции РГСУ. — М.: АПКиППРО, 2011, Вып. 6. — С. 135-139
10. Внуков Н.А., Кабина М. Страхование имущества как противоправный способ получения выгоды // Актуальные проблемы гражданского права и процесса: Сборник материалов межвузовской студенческой научно-практической конференции. — Орел: ОРАГС, 2009. — С. 62-65
6 стр., 2869 слов
Страхование гражданской ответственности владельцев автотранспортных средств
… «Об обязательном страховании гражданской ответственности владельцев транспортных средств», как в практическом, так и в теоретическом аспекте по данному виду страхования выявился ряд проблем. В настоящей работе освещены следующие проблемы: Что такое страхование ответственности, и какова …
11. Волкова И.А. Некоторые аспекты зарубежной практики имущественного страхования // Актуальные проблемы гражданского права и гражданского процесса. Сборник научных статей по итогам межрегиональной научно-практической конференции, Волгоград — Волжский, 20-21 апреля 2007 г.. — Волгоград: Волгоград. науч. изд-во, 2007. — С. 74-80
12. Волкова И.А. Проблемы определения единого понятия договора страхования // Обеспечение законности и правопорядка на современном этапе развития российского общества: материалы Межрегион. заоч. науч.-практ. конф., посвящ. памяти М.И. Байтина, 29 окт. 2010 г.. — Волгоград: Изд-во ВолГУ, 2010. — С. 132-135
13. Вронская М.В., Илларион И. Обязательное страхование гражданской ответственности владельцев транспортных средств: анализ новелл правового регулирования // Транспортное право. — М.: Юрист, 2009, № 1. — С. 14-16
14. Гасников К.Д. Страхование риска утраты прав на недвижимое имущество // Журнал российского права. — М.: Норма, 2008, № 5. — С. 73-78
15. Голубь О.В. Судебная защита прав потребителей по договорам имущественного страхования // Актуальные проблемы юридических и гуманитарных наук: Материалы Общероссийской научно-практической конференции преподавателей и студентов, 24 апреля 2009 г., г. Астрахань. — Астрахань: Сорокин Роман Васильевич, 2009. — С. 290-292
16. Горевой Е.Д. К вопросу о понятии и экономической природе страхования // Ценности и нормы правовой культуры: сборник научных статей международного круглого стола, посвященного дню рождения И.А. Ильина, русского философа и юриста. — Курск, 2011. — С. 217-222
17. Гришаев С.П. Страхование // СПС КонсультантПлюс. 2008.
18. Гуртовая А.В. Понятие страхования // Современные проблемы правотворчества и правоприменения. Сборник научных трудов . — М., Иркутск: ГОУ ВПО РПА Минюста России, 2009, Вып. 5. — С. 103-109
19. Дедиков, С. В. Обязательное страхование автогражданской ответственности. Комментарий Федерального закона «Об обязательном страховании гражданской ответственности владельцев транспортных средств» / С.В. Дедиков. — М.: Юридический центр Пресс, 2014. — 436 c.
20. Пинкин, Ю.В. Автострахование в вопросах и ответах / Ю.В. Пинкин. — М.: Феникс, 2012. — 96 c.
21. Шахов, В. В. Теория и управление рисками в страховании / В.В. Шахов, В.Г. Медведев, А.С. Миллерман. — М.: Финансы и статистика, 2014. — 224 c.








