Резервы времени построенного сетевого
графика оценивают только для некритических
работ, так как для работ, лежащих на
критическом пути все резервы равны
нулю.
Можно рассчитать четыре вида резервов
времени выполнения работы
:
1) полный резерв:
;
2)
гарантированный резерв:
;
3) свободный резерв:
;
4) независимый резерв:
Полный резерв – это максимальное время,
на которое можно перенести начало работы
или увеличить продолжительность работы
без изменения общего срока выполнения
комплекса работ.
Полный резерв времени определяется как
резерв времени максимального пути,
проходящего через эту работу.
Если полный резерв времени работы
использовать именно для этой работы,
то все остальные работы максимального
пути, проходящего через эту работу,
резервов времени иметь не будут.
Гарантийный резерв есть часть полного
резерва времени этой работы за вычетом
резерва времени работ, предшествующих
событию.
Свободный резерв представляет собой
максимальное время, на которое можно
отсрочить начало или увеличить
продолжительность работы
при условии, что все события сети
наступают в свои ранние сроки. Этот
резерв – часть полного резерва.
Использование резерва одной работы
может уменьшать резервы последующих
или предыдущих работ. Иногда
продолжительность времени выполнения
работы может быть увеличена без изменения
резервов времени предшествующих и
последующих работ. Такое возможное
увеличение времени работы называется
независимым резервом времени (если НР
получается отрицательным, то его нужно
считать нулевым).
В отличие от полного резерва времени,
который в случае его использования
отнимает резервы времени работ, лежащих
на предшествующем и последующем отрезках
максимального пути, проходящего через
эту работу, независимый резерв времени
работы
принадлежит только для данной работы.
Его нельзя передать ни предшествующим,
ни последующим работам, находящимся на
ее максимальном пути, проходящим через
эту работу.
Использование независимого резерва
времени на работе, которая его имеет,
не влияет на ранние и поздние сроки
свершения всех событий и работ сети.
Независимый резерв времени работы
представляет собой остаток от ее полного
резерва времени, если за счет последнего
полностью сохранены резервы времени
начального и конечного событий данной
работы. Таким образом, величина
независимого резерва времени работы
показывает продолжительность вынужденного
ожидания наступления конечного события
данной работы, что позволяет снять с
этой работы часть ресурсов, чтобы
перебросить их на более напряженные
работы.
На критическом пути резервов времени
для выполнения работы нет. Следовательно,
задержка в выполнении какой-либо одной
работы приведет к задержке выполнения
всего комплекса работ. Следовательно,
руководителю необходимо следить за
выполнением работ, составляющих
критический путь, в первую очередь,
выделяя для него ресурсы – трудовые и
материальные. Работы, лежащие не на
критическом пути, имеют достаточный
резерв времени, значит, их выполнение
можно отнести на период менее загруженный,
и контролировать их выполнение выборочно
или возложить на подчиненных руководство
ими.
Сетевой график может быть оптимизирован,
т.е. разработан новый план, в соответствии
с которым комплекс работ может быть
выполнен с меньшей затратой материальных
средств или в более короткие сроки.
Соседние файлы в предмете [НЕСОРТИРОВАННОЕ]
- #
- #
- #
- #
- #
- #
- #
- #
- #
- #
- #
Содержание
Введение
1. Сетевое планирование
1.1 Понятие сетевого планирования
1.2 Основные понятия сетевого планирования
1.3 Правила построения сетевых моделей
1.4 Направления применения сетевого планирования
2. История сетевого планирования
2.1 Зарубежный опыт
2.2 Сетевое планирование в России
3. Методы сетевого планирования
3.1 Диаграмма Ганта
3.2 Метод критического пути (МКП)
3.3 Метод статистических испытаний (метод Монте-Карло)
3.4 Метод оценки и пересмотра планов (ПЕРТ, PERT)
3.5 Метод графической оценки и анализа (GERT)
3.6 Дополнительные методы расчета сетевого графика
Заключение
Использованная литература и источники
Приложения
Введение
Планирование и управление комплексом работ по проекту представляет собой сложную и, как правило, противоречивую задачу. Оценка временных и стоимостных параметров функционирования системы, осуществляемая в рамках этой задачи, производится различными методами. Среди существующих большое значение имеет метод сетевого планирования.
Сетевое планирование — метод анализа сроков (ранних и поздних) начала и окончания нереализованных частей проекта, позволяет увязать выполнение различных работ и процессов во времени, получив прогноз общей продолжительности реализации всего проекта.
Методы сетевого планирования:
v Детерминированные сетевые методы
· Диаграмма Ганта с дополнительным временным люфтом 10-20 %
· Метод критического пути (МКП)
v Вероятностные сетевые методы
Неальтернативные
· Метод статистических испытаний (метод Монте-Карло)
· Метод оценки и пересмотра планов (ПЕРТ, PERT)
Альтернативные
v Метод графической оценки и анализа (GERT)
Методы сетевого планирования могут широко и успешно применяются для оптимизации планирования и управления сложными разветвленными комплексами работ, которые требуют участия большого числа исполнителей и затрат ограниченных ресурсов.
Следует отметить, что главной целью сетевого планирования является сокращение до минимума продолжительности проекта, таким образом, использование сетевых моделей обусловлено необходимостью грамотного управления крупными народнохозяйственными комплексами и проектами, научными исследованиями, конструкторской и технологической подготовкой производства, новых видов изделий, строительством и реконструкцией, капитальным ремонтом основных фондов и т.п.
С помощью сетевой модели руководитель работ или операции может системно и масштабно представлять весь ход работ или оперативных мероприятий, управлять процессом их осуществления, а также маневрировать ресурсами.
Можно выделить следующие задачи:
1) Рассмотреть понятие сетевого планирования.
2) Выделить основные понятия сетевого планирования.
3) Изучить правила построения сетевых моделей.
4) Определить направления применения сетевого планирования.
5) Изучить история сетевого планирования, как в зарубежных странах, так и в России
6) Разобрать такие методы сетевого планирования, как диаграмма Ганта, метод критического пути, метод Монте-Карло, метод оценки и пересмотра планов (PERT), метод графической оценки и анализа (GERT), а так же дополнительные методы расчета сетевого графика.
1. Сетевое планирование
1.1 Понятие сетевого планирования
Сетевое планирование это метод управления, который основывается на использовании математического аппарата теории графов и системного подхода для отображения и алгоритмизации комплексов взаимосвязанных работ, действий или мероприятий для достижения четко поставленной цели.
Сетевое планирование позволяет определить, во-первых, какие работы или операции из числа многих, составляющих проект, являются «критическими» по своему влиянию на общую календарную продолжительность проекта и, во-вторых, каким образом построить наилучший план проведения всех работ по данному проекту с тем, чтобы выдержать заданные сроки при минимальных затратах.
Сетевое планирование основываются на разработанных практически одновременно и независимо методе критического пути МКП (СРМ — Critical Path Method) и методе оценки и пересмотра планов ПЕРТ (PERT — Program Evaluation and Review Technique).
Методы сетевого планирования применяются для оптимизации планирования и управления сложными разветвленными комплексами работ, требующими участия большого числа исполнителей и затрат ограниченных ресурсов.
Основная цель сетевого планирования — сокращение до минимума продолжительности проекта.
Задача сетевого планирования состоит в том, чтобы графически, наглядно и системно отобразить и оптимизировать последовательность и взаимозависимость работ, действий или мероприятий, обеспечивающих своевременное и планомерное достижение конечных целей. Для отображения и алгоритмизации тех или иных действий или ситуаций используются экономико-математические модели, которые принято называть сетевыми моделями, простейшие из них — сетевые графики. С помощью сетевой модели руководитель работ или операции имеет возможность системно и масштабно представлять весь ход работ или оперативных мероприятий, управлять процессом их осуществления, а также маневрировать ресурсами.
Важная особенность СПУ (сетевого планирования и управления) заключается в системном подходе к вопросам организации управления, согласно которому коллективы исполнителей, принимающие участие в комплексе работ и объединенные общностью поставленных перед ними задач, несмотря на разную ведомственную подчиненность, рассматриваются как звенья единой сложной организационной системы.
Использование методов сетевого планирования способствует сокращению сроков создания новых объектов на 15-20%, обеспечению рационального использования трудовых ресурсов и техники.
В основе сетевого планирования лежит построение сетевых диаграмм. Сетевая диаграмма (сеть, граф сети, PERT-диаграмма) — графическое отображение работ проекта и зависимостей между ними. В СПУ под термином «сеть» понимается полный комплекс работ и вех проекта с установленными между ними зависимостями.
Выделяют два типа сетевых диаграмм – сетевая модель типа «вершина-работа» и «вершина-событие» или «дуги-работы».
Сетевые диаграммы первого типа отображают сетевую модель в графическом виде как множество вершин, соответствующих работам, связанных линиями, представляющими взаимосвязи между работами. Так же этот тип диаграмм называют диаграммой предшествования—следования. Он является наиболее распространенным представлением сети (рис. 1)
Другой тип сетевой диаграммы — сеть типа «вершина—событие», на практике используется реже. При данном подходе работа представляется в виде линии между двумя событиями (узлами графа), которые, в свою очередь, отображают начало и конец данной работы. PERT-диаграммы являются примерами этого типа диаграмм (рис. 2).
Можно выделить следующие методы сетевого планирования:
· Детерминированные сетевые методы
o Диаграмма Ганта
o Метод критического пути (МКП)
· Вероятностные сетевые методы
o Неальтернативные
§ Метод имитационного моделирования (метод Монте-Карло)
§ Метод оценки и пересмотра планов (ПЕРТ, PERT)
o Альтернативные
§ Метод графической оценки и анализа (GERT).
1.2 Основные понятия сетевого планирования
Следует выделить следующие понятия, необходимые для сетевого планирования.
Работа – производственный процесс, требующий затрат времени и материальных ресурсов и приводящий к достижению определенных результатов.
По своей физической природе работы можно рассматривать как действие (например, заливка фундамента бетоном, составление заявки на материалы, изучение конъюнктуры рынка), процесс (пример — старение отливок, выдерживание вина, травление плат) и ожидание (процесс, требующий только затраты времени и не потребляющий никаких ресурсов; является технологическим (твердение цементной стяжки) или организационным (ожидание сухой погоды) перерывом между работами, непосредственно выполняемым друг за другом.
По количеству затрачиваемого времени работа может быть:
· действительной, то есть протяжённым во времени процессом, требующим затрат ресурсов;
· фиктивной (или зависимостью), не требующей затрат времени и представляющей связь между какими-либо работами: передача измененных чертежей от конструкторов к технологам, сдача отчета о технико-экономических показателях работы цеха вышестоящему подразделению.
Событие — это факт окончания одной или нескольких работ, необходимых и достаточных для начала следующих работ. События устанавливают технологическую и организационную последовательность работ. События ограничивают рассматриваемую работу и по отношению к ней могут быть начальными и конечными. Начальное событие определяет начало работы и является конечным для предшествующих работ. Исходным считается событие, которое не имеет предшествующих работ в рамках рассматриваемого сетевого графика. Завершающее – событие, которое не имеет последующих работ в рамках рассматриваемого сетевого графика. Граничное событие — событие, являющееся общим для двух или нескольких первичных или частных сетей.
Путь — это любая последовательность работ в сети, в которой конечное событие каждой работы этой последовательности совпадает с начальным событием следующей за ней работы. Путь от исходного до завершающего события называется полным. Путь от исходного до данного промежуточного события называется путем, предшествующим этому событию. Путь, соединяющий какие-либо два события, из которых ни одно не является исходным или завершающим, называется путем между этими событиями.
Продолжительность пути определяется суммой продолжительностей составляющих его работ. Путь, имеющий максимальную длину, называют критическим.
Для сетевой модели типа «работы-вершины» используются такие обозначения, как веха – некое ключевое событие, обозначающее окончание одного этапа и начало другого; дуга – связь между работами.
Различают различные типы связей в сетевой модели:
— начальные работы;
— конечные работы;
— последовательные работы;
— работы (операции) дробления;
— работы (операции) слияния;
— параллельные работы.
При составлении сетевых графиков (моделей) используют условные обозначения. (Рис. 3)
1.3 Правила построения сетевых моделей
Процесс разработки сетевой модели включает в себя определение списка работ проекта; оценку параметров работ; определение зависимостей между работами.
При построении сетевого графика необходимо соблюдать ряд правил.
1) Правило последовательности изображения работ: сетевые модели следует строить от начала к окончанию, т.е. слева направо.
2) Правило изображения стрелок. В сетевом графике стрелки, обозначающие работы, ожидания или зависимости, могут иметь различный наклон и длину, но должны идти слева направо, не отклоняясь влево от оси ординат, и всегда направляться от предшествующего события к последующему, т.е. от события с меньшим порядковым номером к событию с большим порядковым номером.
3) Правило пересечения стрелок. При построении сетевого графика следует избегать пересечения стрелок: чем меньше пересечений, тем нагляднее график.
4) Правило обозначения работ. В сетевом графике между обозначениями двух смежных событий может проходить только одна стрелка.
Для правильного изображения работ можно ввести дополнительное событие и зависимость.
5) В сетевой модели не должно быть «тупиковых» событий, то есть событий, из которых не выходит ни одна работа, за исключением завершающего события. Здесь либо работа не нужна и её необходимо аннулировать, либо не замечена необходимость определённой работы, следующей за событием для свершения какого-либо последующего события.
6) Правило расчленения и запараллеливания работ. При построении сетевого графика можно начинать последующую работу, не ожидая полного завершения предшествующей. В этом случае нужно «расчленить» предшествующую работу на две, введя дополнительное событие в том месте предшествующей работы, где может начаться новая.
7) Правило запрещения замкнутых контуров (циклов, петель). В сетевой модели недопустимо строить замкнутые контуры — пути, соединяющие некоторые события с ними же самими, т.е. недопустимо, чтобы один и тот же путь возвращался в то же событие, из которого он вышел.

9) Правило запрещения хвостовых событий. В сетевом графике не должно быть хвостовых событий, т.е. событий, в которые не входит ни одна работа, за исключением начального события.
10) Правило изображения дифференцированно-зависимых работ. Если одна группа работ зависит от другой группы, но при этом одна или несколько работ имеют дополнительные зависимости или ограничения, при построении сетевого графика вводят дополнительные события.
11) Правило изображения поставки. В сетевом графике поставки (под поставкой понимается любой результат, который предоставляется «со стороны», т.е. не является результатом работы непосредственного участника проекта) изображаются двойным кружком либо другим знаком, отличающимся от знака обычного события данного графика. Рядом с кружком поставки дается ссылка на документ (контракт или спецификацию), раскрывающий содержание и условия поставки.
12) Правило учета непосредственных примыканий (зависимостей). В сетевом графике следует учитывать только непосредственное примыкание (зависимость) между работами.
13) Технологическое правило построения сетевых графиков. Для построения сетевого графика необходимо в технологической последовательности установить:
• какие работы должны быть завершены до начала данной работы;
• какие работы должны быть начаты после завершения данной работы;
• какие работы необходимо выполнять одновременно с выполнением данной работы.
14) Правила кодирования событий сетевого графика. Для кодирования сетевых графиков необходимо пользоваться следующими правилами.
1. Все события графика должны иметь свои собственные номера.
2. Кодировать события необходимо числами натурального ряда без пропусков.
3. Номер последующему событию следует присваивать после присвоения номеров предшествующим событиям.
4. Стрелка (работа) должна быть всегда направлена из события с меньшим номером в событие с большим номером.
1.4 Направления применения сетевого планирования
Наиболее распространенными направлениями применения сетевого планирования являются:
· целевые научно-исследовательские и проектно-конструкторские разработки сложных объектов, машин и установок, в создании которых принимают участие многие предприятия и организации;
· планирование и управление основной деятельностью разрабатывающих организаций;
· планирование комплекса работ по подготовке и освоению производства новых видов промышленной продукции;
· строительство и монтаж объектов промышленного, культурно-бытового и жилищного назначения;
· реконструкция и ремонт действующих промышленных и других объектов;
· планирование подготовки и переподготовки кадров, проверка исполнения принятых решений, организация комплексной проверки деятельности предприятий, объединений, строительно-монтажных организаций и учреждений.
Методы сетевого планирования используются при планировании сложных комплексных проектов, например, таких как:
1. Строительство и реконструкция каких-либо объектов;
2. Выполнение научно-исследовательских и конструкторских работ;
3. Подготовка производства к выпуску продукции;
4. Перевооружение армии;
5. Развертывание системы медицинских или профилактических мероприятий.
2. История сетевого планирования
2.1 Зарубежный опыт
Первый этап широкого использования сетевого планирования был связан с появлением диаграмм Ганта, которые появились в начале двадцатого века. Диаграмма Ганга это удобный инструмент для организации, планирования и управления ходом выполнения самых разнообразных процессов.
Второй этап. Методики сетевого планирования были разработаны в конце 50-х годов в США. В 1956 г. М. Уолкер из фирмы «Дюпон», исследуя возможности более эффективного использования принадлежащей фирме вычислительной машины Univac, объединил свои усилия с Д. Келли из группы планирования капитального строительства фирмы «Ремингтон Рэнд». Они попытались использовать ЭВМ для составления планов-графиков крупных комплексов работ по модернизации заводов фирмы «Дюпон». В результате был создан рациональный и простой метод описания проекта с использованием ЭВМ. Первоначально он был назван методом Уолкера-Келли, а позже получил название метода критического пути — МКП (или CPM — Critical Path Method).
Параллельно и независимо в военно-морских силах США был создан метод анализа и оценки программ PERT (Program Evaluation and Review Technique). Данный метод был разработан корпорацией «Локхид» и консалтинговой фирмой «Буз, Аллен энд Гамильтон» для реализации проекта разработки ракетной системы «Поларис», который объединял около 3800 основных подрядчиков и состоящего из 60 тыс. операций. Использование метода PERT позволило руководству программы точно знать, что требуется делать в каждый момент времени и кто именно должен это делать, а также вероятность своевременного завершения отдельных операций. Проект удалось завершить на два года раньше запланированного срока благодаря успешному руководству программы.
Данный метод управления начал использоваться во всех вооруженных силах США для планирования проектов. Эта методика использовалась при координации работ, выполняемых различными подрядчиками в рамках крупных проектов по разработке новых видов вооружения.
Так же, эта методика управления нашла применение для разработки новых видов продукции и модернизации производства крупными промышленными корпорациями, а так же в строительстве.
Примером успешного применения сетевого планирования проектов можно назвать сооружение гидроэлектростанции на реке Черчилль в Ньюфаундленде (полуостров Лабрадор) с 1967 по 1976 г. В 1974 году ход работ по проекту опережал расписание на 18 месяцев и укладывался в плановую оценку затрат. Заказчиком проекта была корпорация Churchill Falls Labrador Corp., которая для разработки проекта и управления строительством наняла фирму Acress Canadian Betchel. Следует отметить, что значительный выигрыш по времени образовался благодаря применению точных математических методов в управлении сложными комплексами работ, что стало возможным благодаря развитию вычислительной техники. Однако первые ЭВМ были дороги и доступны только крупным организациям. Таким образом, исторически первые проекты представляли собой грандиозные по масштабам работ, количеству исполнителей и капиталовложениям государственные программы.
Третий этапсвязан как с продолжавшимся в конце двадцатого века усовершенствованием прежних методов управления проектами, так и с появлением новых, но на более качественном уровне — с применением современного программного обеспечения и персональных компьютеров. Сначала разработка программного обеспечения велась крупными компаниями с целью поддержки собственных проектов, но вскоре первые системы управления проектами появились и на рынке программного обеспечения. Системы, стоявшие у истоков планирования, разрабатывались для мощных больших компьютеров и сетей мини-ЭВМ.
С появлением персональных компьютеров начался этап наиболее бурного развития систем для управления проектами. Расширился круг пользователей управленческих систем, что привело к необходимости создания систем для управления проектами нового типа. Причем одним из важнейших показателей таких систем являлась простота использования. Поэтому при дальнейших разработках новых версий разработчики старались сохранить внешнюю простоту систем, расширяли их функциональные возможности и мощность, и при этом сохраняли низкие цены, делавшие системы доступными фирмам практически любого уровня.
В настоящее время сложились глубокие традиции использования систем управления проектами во многих областях жизнедеятельности. Увеличение числа пользователей систем проектного менеджмента способствует расширению методов и приемов их использования. Западные отраслевые журналы регулярно публикуют статьи, посвященные системам для управления проектами, включающие советы пользователям таких систем и анализ использования методики сетевого планирования для решения задач в различных сферах управления.
2.2 Сетевое планирование в России
В СССР начало работ по сетевому планированию относят к 1961 году. Тогда методы сетевого планирования нашли применение в строительстве и научных разработках. При создании отечественных подводных ракетоносцев применялся специально разработанный вариант автоматизированной системы программно-целевого управления. В последующие годы сетевое планирование в нашей стране получило широкое применение. Сетевое планирование рассматривалось в широком контексте, в виде развитой системы планирования и управления сложными проектами и программами. Целями сетевого планирования были рациональная организация производственных и иных процессов; выявление временных и материальных ресурсов; управление проектами и программами; предупреждение и устранение возможных отклонений от запланированных результатов; улучшение социально-экономических и других показателей системы; четкое распределение ответственности руководителей и исполнителей различных уровней; повышение эффективности программ и проектов.
Начиная с 90-х годов XX века в нашей стране интерес к сетевому планированию и управлению значительно снизился. Это произошло из-за того, что сетевое планирование ассоциировалось с системой планирования и управления, которая сложилась в административно-командной системе. Существовало множество недостатков этой системы, что обуславливает поиск иных способов управления социально-экономическими процессами, при переходе к рыночным методам хозяйствования. Такой вывод в значительной степени был перенесен на возможности применения сетевого планирования в новых экономических условиях. Кроме того, произошел резкий поворот и переход от централизованных к децентрализованным методам управления экономикой. Установилось и пренебрежительное отношение к методам планирования, которые находили применение при централизованных методах управления. При этом во многом игнорировался тот факт, что многие идеи этих методов были с успехом применены и получили свое развитие в зарубежной практике.
В настоящее время существует сочетание централизованных механизмов регулирования экономики с рыночными подходами Существенную роль в повышении эффективности общественного производства при переходе к рыночным методам выполняет социально-экономическое прогнозирование и планирование. При этом важным средством реализации прогнозов и планов снова является сетевое планирование.
3. Методы сетевого планирования
Существуют разные методы сетевого планирования.
Модели, в которых взаимная последовательность и продолжительности работ заданы однозначно, называются детерминированными сетевыми моделями. К наиболее популярным детерминированным моделям относятся метод построения диаграмм Ганта и метод критического пути (CPM).
Если о продолжительности каких-то работ заранее нельзя задать однозначно или если могут возникнуть ситуации, при которых изменяется запланированная заранее последовательность выполнения задач проекта, например, существует зависимость от погодных условий, ненадежных поставщиков или результатов научных экспериментов, детерминированные модели неприменимы. Чаще всего такие ситуации возникают при планировании строительных, сельскохозяйственных или научно-исследовательских работ. В этом случае используются вероятностные модели, которые делятся на два типа:
· неальтернативные – если зафиксирована последовательность выполнения работ, а продолжительность всех или некоторых работ характеризуется функциями распределения вероятности;
· альтернативные – продолжительности всех или некоторых работ и связи между работами носят вероятностный характер.
К наиболее распространенным методам вероятностного сетевого планирования относятся:
· метод оценки и анализа программ (PERT);
· метод имитационного моделирования или метод Монте-Карло;
· метод графической оценки и анализа программ (GERT).
3.1 Диаграмма Ганта и циклограмма
Одним из наиболее распространенных способов наглядного представления производственного процесса или проекта во времени является линейный или ленточный календарный график — Диаграмма Ганта.
Диаграмма Ганта — горизонтальная линейная диаграмма, на которой задачи проекта представляются протяженными во времени отрезками, характеризующимися датами начала и окончания, задержками и, возможно, другими временными параметрами.
Диаграмма Ганта представляет собой график, в котором процесс представлен в двух видах. В левой частипроект представлен в виде списка задач (работ, операции) проекта в табличном виде с указанием названия задачи и длительности ее выполнения, а часто и работ, предшествующих той или иной задаче. В правой частикаждая задача проекта, а точнее длительность ее выполнения, отображается графически, обычно в виде отрезка определенной длины с учетом логики выполнения задач проекта. (см. Рис. 4)
В верхней, правой части диаграммы Ганта располагается шкала времени. Длина отрезка и его расположение на шкале времени определяют время начала и окончания каждой задачи. Кроме того, взаимное расположение отрезков задач показывает, следуют ли задачи одна за другой или происходит их параллельное выполнение.
Наиболее широко график Ганта использовался в строительстве. В качестве расписания работ график Ганта вполне пригоден, но когда возникает необходимость изменения структуры работ, приходится все работы пересматривать заново, учитывая все многообразие возможных технологических связей между ними. И чем сложнее работы, тем сложнее использовать график Ганта. Тем не менее даже после появления сетевых моделей график Ганта продолжает использоваться как средство представления временных аспектов работ на конечных стадиях календарного планирования, когда продолжительность проекта оптимизирована с помощью сетевых моделей. График Ганта может также использоваться для элементарного контроля работ. Он используется для отражения текущего состояния проекта (статуса проекта) с точки зрения соблюдения сроков.
Циклограмма представляет собой линейную диаграмму продолжительности работ, которая отображает работы в виде наклонной линии в двухмерной системе координат, одна ось которой изображает время, а другая — объемы или структуру выполняемых работ.
Циклограммы активно использовались до 80-х годов XX века в основном в строительной отрасли, особенно при организации поточного строительства. Существуют циклограммы ритмичного и неритмичного потока. Равноритмичным потоком называют такой поток, в котором все составляющие потоки имеют единый ритм, т.е. одинаковую продолжительность выполнения работ на всех захватках. (Рис. 5)
В настоящее время циклограммы практически не используются в управленческой практике как по причине недостатков, указанным ниже, так и по причине неактуальности поточного строительства.
Эти модели просты в исполнении и наглядно показывают ход работы. Однако они не могут отразить сложности моделируемого процесса — форма модели вступает в противоречие с ее содержанием. Основными недостатками являются:
• отсутствие наглядно обозначенных взаимосвязей между отдельными работами (зависимость работ, положенная в основу графика, выявляется только один раз в процессе составления графика (модели) и фиксируется как неизменная; в результате такого подхода заложенные в графике технологические и организационные решения принимаются обычно как постоянные и теряют свое практическое значение после начала их реализации);
• негибкость, жесткость структуры линейного графика, сложность его корректировки при изменении условий (необходимость многократного пересоставления графика, которое, как правило, из-за отсутствия времени не может быть выполнено);
• невозможность четкого разграничения ответственности руководителей различных уровней (информация, поступившая о ходе разработки, содержит в себе на любом уровне слишком много сведений, которые трудно оперативно обработать);
• сложность вариантной проработки и ограниченная возможность прогнозирования хода работ.
3.2 Метод критического пути (МКП)
Метод критического пути позволяет рассчитать возможные календарные графики выполнения комплекса работ на основе описанной логической структуры сети и оценок продолжительности выполнения каждой работы, определить критический путь для проекта в целом.
В основе метода лежит определение наиболее длительной последовательности задач от начала проекта до его окончания с учетом их взаимосвязи. Задачи лежащие на критическом пути (критические задачи) имеют нулевой резерв времени выполнения и в случае изменения их длительности изменяются сроки всего проекта. В связи с этим при выполнении проекта критические задачи требуют более тщательного контроля, в частности, своевременного выявления проблем и рисков, влияющих на сроки их выполнения и, следовательно, на сроки выполнения проекта в целом. В процессе выполнения проекта критический путь проекта может меняться, так как при изменении длительности задач некоторые из них могут оказаться на критическом пути.
Метод критического пути исходит из того, что длительность операций можно оценить с достаточно высокой степенью точности и определенности.
Основным достоинством метода критического пути является возможность манипулирования сроками выполнения задач, не лежащих на критическом пути.
Календарное планирование по МКП требует определенных входных данных. После их ввода производится процедура прямого и обратного прохода по сети и вычисляется выходная информация. (Рис. 6).
Для расчета календарного графика по МКП требуются следующие входные данные:
— набор работ;
— зависимости между работами;
— оценки продолжительности каждой работы;
— календарь рабочего времени проекта (в наиболее общем случае возможно задание собственного календаря для каждой работы);
— календари ресурсов;
— ограничения на сроки начала и окончания отдельных работ или этапов;
— календарная дата начала проекта.
Прямой расчет – определение минимально возможного времени реализации проектаначинается с работ, не имеющих предшественников. В ходе его определяется ES (ранний старт) и EF (ранний финиш). Ранние начала и ранние окончания работ определяются последовательно, слева направо по графику, то есть от исходного события сети к завершающему.
Используются формулы:
ES˳=0
EF=ES+Dur (где Dur – продолжительность)
ESi=EFi-1, при условии что операция (i) не является операцией слияния.
При слиянии: ESi=maxEFi-1
Обратный расчет. Определяются LS (поздний старт), LF (поздний финиш) и R (резерв). Поздние начала и поздние окончания определяются в обратном порядке – от завершающегося события графика к исходящему, то есть справа налево.
EFN=LFN
LSi=LFi-Dur
LFi-1= LSi,
при условии, что (i-1) не является операцией дробления.
При дроблении:
LFi-1= minLSi
При правильных расчетах должно выполняться условие ES˳=LS˳
LF—EF
R=
LS—ES
Таким образом, критический путь – это последовательность операций, не имеющих резерва.
Анализ по методу критического пути представляет собой эффективный метод оценки:
· Задач, которые необходимо решить.
· Возможности параллельного выполнения работ.
· Наименьшего времени выполнения проекта.
· Производственных ресурсов, необходимых для выполнения проекта.
· Последовательности выполнения работ, включая составление графиков и определение продолжительности выполнения работ.
· Очередность решения задач.
· Наиболее эффективного способа сокращения продолжительности выполнения проекта в случае его срочности.
Эффективность анализа по методу критического пути может повлиять на результат проекта, будет он успешным или неудачным. Также анализ может быть очень полезен для оценки важности проблемы, с которой можно столкнуться в ходе внедрения плана.
3.3 Метод имитационного моделирования (метод Монте-Карло)
Метод Монте-Карло (методы Монте-Карло, ММК) — общее название группы численных методов, основанных на получении большого числа реализаций стохастического (случайного) процесса, который формируется таким образом, чтобы его вероятностные характеристики совпадали с аналогичными величинами решаемой задачи.
Суть данного метода состоит в том, что результат испытания зависит от значения некоторой случайной величины, распределенной по заданному закону. Поэтому результат каждого отдельного испытания также носит случайный характер. Проведя серию испытаний, получают множество частных значений наблюдаемой характеристики (выборку). Полученные статистические данные обрабатываются и представляются в виде численных оценок интересующих исследователя величин (характеристик системы).
Важной особенностью данного метода является то, что его реализация практически невозможна без использования компьютера.
Метод Монте-Карло имеет две особенности:
1) простая структура вычислительного алгоритма;
2) погрешность вычислений, как правило, пропорциональна D/N, где D — некоторая постоянная, N — число испытаний. Отсюда видно, что для того, чтобы уменьшить погрешность в 10 раз (иначе говоря, чтобы получить в ответе еще один верный десятичный знак), нужно увеличить N (т.е. объем работы) в 100 раз.
Добиться высокой точности таким путем невозможно. Поэтому обычно говорят, что метод Монте-Карло особенно эффективен при решении тех задач, в которых результат нужен с небольшой точностью (5-10%). Способ применения метода Монте-Карло довольно прост. Чтобы получить искусственную случайную выборку из совокупности величин, описываемой некоторой функцией распределения вероятностей:
1) Задаются пределы изменения времени реализации каждой операции.
2) Задается конкретные времена реализации для каждой операции с помощью датчика случайных чисел.
3) Рассчитывается критический путь и время реализации всего проекта.
4) Переход на операцию «2».
Результатом применения метода Монте-Карло является:
· Гистограмма, которая показывает вероятность времени реализации проекта. (Рис. 7)
· Индекс критичности
3.4 Метод оценки и пересмотра планов (ПЕРТ, PERT)
Метод оценки и пересмотра планов PERT представляет собой разновидность анализа по методу критического пути с более критичной оценкой продолжительности каждого этапа проекта. При использовании этого метода необходимо оценить наименьшую возможную продолжительность выполнения каждой работы, наиболее вероятную продолжительность и наибольшую продолжительность на тот случай, если продолжительность выполнения этой работы будет больше ожидаемой. Метод ПЕРТ допускает неопределенность продолжительности операций и анализирует влияние этой неопределенности на продолжительность работ по проекту в целом.
Этот метод используется, когда для операции сложно задать и определить точную длительность.
Особенность метода PERT заключается в возможности учета вероятностного характера продолжительностей всех или некоторых работ при расчете параметров времени на сетевой модели. Он позволяет определять вероятности окончания проекта в заданные периоды времени и к заданным срокам.
Вместо одной детерминированной величины продолжительности для работ проекта задаются (как правило, экспертным путем) три оценки длительности:
· оптимистическая (работа не может быть выполнена быстрее, чем за tа);
· пессимистическая (работа не может быть выполнена медленнее, чем за tb);
· наиболее вероятная tn
Затем вероятностная сетевая модель превращается в детерминированную путем замены трех оценок продолжительностей каждой из работ одной величиной, называемой ожидаемой продолжительностью tожид и рассчитываемой как средневзвешенное арифметическое трех экспертных оценок длительностей данной работы:
tожид=( tа + tb + tn)/6
Определяется критический путь на основании для каждой tожид операции.
Определяется среднее квадратичное отклонение каждой операции:
Ϭt=( tа + ta) /6
Среднее квадратичное отклонение времени реализации всего проекта:
Ϭпр=√∑ϬtІ
3.5 Метод графической оценки и анализа (GERT)
Метод графической оценки и анализа (метод GERT) применяется в тех случаях организации работ, когда последующие задачи могут начинаться после завершения только некоторого числа из предшествующих задач, причем не все задачи, представленные на сетевой модели, должны быть выполнены для завершения проекта.
Основу применения метода GERT составляет использование альтернативных сетей, называемых в терминах данного метода GERT-cетями.
По существу GERT-сети позволяют более адекватно задавать сложные процессы строительного производства в тех случаях, когда затруднительно или невозможно (по объективным причинам) однозначно определить какие именно работы и в какой последовательности должны быть выполнены для достижения намеченного результата (т.е. существует многовариантность реализации проекта).
Следует отметить, что «ручной» расчет GERT-сетей, моделирующих реальные процессы, чрезвычайно сложен, однако программное обеспечение для вычисления сетевых моделей такого типа в настоящее время, к сожалению, не распространено.
3.6 Дополнительные методы расчета сетевого графика
Расчет сетевого графика методом диагональной таблицы (иногда этот метод называют матричным) ведется с ориентацией на события, а не на работы. В начале вычерчивается квадратная сетка, в которой число строк и число граф равно числу событий графика. (Рис. 8.)Затем слева, сверху вниз, проставляются все номера начальных событий (индекс i), а вверху слева направо — номера конечных событий (индекс j). В ячейках на пересечении начального и конечного событий проставляются значения продолжительности работ (ti—j).
Так жесуществует секторной метод. Он предполагает изображение сетевого графика с увеличенными кружками, разделенными на шесть секторов, которые в дальнейшем могут разбиваться на подсекторы. В верхнем центральном секторе ставится номер события, в нижнем — календарная дата начала работ. В два верхних боковых сектора вносятся ранние начала и окончания работ, а в два боковых нижних — соответственно поздние начала и окончания работ. Слева принято записывать окончания работ, входящих в данное событие, справа — начала работ, выходящих из данного события. (Рис. 9)
Расчет показателей графика ведется двумя проходами: прямым от исходного события до завершающего последовательно по всем путям графика и обратным — от завершающего события до исходного. При прямом проходе определяются ранние начала и окончания работ. При обратном проходе — поздние начала и окончания работ.
Существуют и другие методы расчета сетевого графика, предполагающие расчет аналитических параметров прямо на графике в кружках событий, разделенных на несколько секторов. Один из таких методов — четырехсекторный метод — предполагает разделение кружка события на четыре сектора. Существует несколько модификаций четырехсекторного метода.
Как уже было сказано ранее, в настоящее время происходит расширение методов и приемов использования сетевых методов.
Заключение
Итак, в настоящее время сетевое планирование играет большую роль. Методы сетевого планирования могут широко и успешно применяются для оптимизации планирования и управления сложными разветвленными комплексами работ, которые требуют участия большого числа исполнителей и затрат ограниченных ресурсов.
Следует отметить, что сетевое планирование представляет собой метод управления, основывающийся на использовании математического аппарата теории графов и системного подхода для отображения и алгоритмизации комплексов взаимосвязанных работ, действий или мероприятий для достижения четко поставленной цели; главной целью сетевого планирования является сокращение до минимума продолжительности проекта.
В основе сетевого планирования лежит построение сетевых диаграмм, которые бывают двух типов — типа «вершина-работа» и «вершина-событие» или «дуги-работы».
При создании сетевого графика в основе построения сети лежат понятия «работа», «событие» и «путь».
Методики сетевого планирования были разработаны в конце 50-х годов в США. В СССР начало работ по сетевому планированию относят к 1961 году. Тогда методы сетевого планирования нашли применение в строительстве и научных разработках.
Существуют различные методы сетевого планирования.
Диаграмма Ганта представляет собой горизонтальную линейную диаграмму, на которой задачи проекта представляются протяженными во времени отрезками, характеризующимися датами начала и окончания, задержками и, возможно, другими временными параметрами.
Метод критического путипозволяет рассчитать возможные календарные графики выполнения комплекса работ на основе описанной логической структуры сети и оценок продолжительности выполнения каждой работы, определить критический путь для проекта в целом.
Метод статистических испытаний (иначе называемый методом Монте-Карло) заключается в рассмотрении сети в качестве вероятностной модели, на которой оценки продолжительностей отдельных работ могут принимать любые значения, лежащие в крайних (минимум и максимум) указанных экспертами пределах, и даже выходить за эти пределы в той степени, в которой это допускают законы теории вероятностей.
Метод PERT — метод событийного сетевого анализа, используемый для определения длительности программы при наличии неопределенности в оценке продолжительностей индивидуальных операций. PERT основан на методе критического пути, длительность операций в котором рассчитывается как взвешенная средняя оптимистического, пессимистического и ожидаемого прогнозов. PERT рассчитывает стандартное отклонение даты завершения от длительности критического пути.
Метод графической оценки и анализа (метод GERT) применяется в тех случаях организации работ, когда последующие задачи могут начинаться после завершения только некоторого числа из предшествующих задач, причем не все задачи, представленные на сетевой модели, должны быть выполнены для завершения проекта.
В настоящее время происходит расширение методов и приемов использования сетевых методов.
Сетевая модель позволяет:
· четко представить структуру комплекса работ, выявить с любой степенью детализации их этапы и взаимосвязь;
· составить обоснованный план выполнения комплекса работ, более эффективно по заданному критерию использовать ресурсы;
· проводить многовариантный анализ разных решений с целью улучшения плана;
· использовать для обработки больших массивов информации компьютеры и компьютерные системы.
Источники
1. Алексинская Т.В. Учебное пособие по решению задач по курсу «Экономико-математические методы и модели». Таганрог: Изд-во ТРТУ, 2002, 153 с.
2. Вентцель Е.С. Исследование операций. М, Советское радио, 1972.
3. Заболотский В.П., Оводенко А.А., Степанов А.Г. Математические модели в управлении: Учеб. пособие/ СПбГУАП. СПб., 2001, 196с.: ил.
4. Ивасенко А.Г. Управление проектами: учебное пособие/А.Г. Ивасенко, Я.И.Никонова, М.В.Каркавин – Ростов н/Дону:Феникс, 2009. – 330 с. – Высшее образование.
5. Кудрявцев Е.М. Microsoft Project. Методы сетевого планирования и управления проектом. – М.: ДМК Пресс, 2005. – 240 с., ил.
6. Мазур И.И., Шапиро В.Д., Ольдерогге Н.Г. Управление проектами: Ученое пособие/ Под общ. ред. И.И.Мазура. – 3-е изд. – М.: Омега-Л, 2004. – с. 664.
7. Тынкевич М.А. Экономико-математические методы (исследование операций). Изд. 2, испр. и доп. — Кемерово, 2000. -177 c. ISBN 5-89070-043-X
8. Управление проектом. Основы проектного управления: ученик/ кол. авт.: под ред. проф. М.Л.Разу. – М.: КНОРУС, 2006. – 768 с.
9. Бюджетирование. http://www.informicus.ru/default.aspx?SECTION=6&id=89&subdivisionid=25
10. Введение в проектный менеджмент. http://www.hr-portal.ru/article/vvedenie-v-proektnyi-menedzhment
11. Вероятностное планирование строительства объектов. http://prosvet.su/articles/menegment/article1/
12. Сетевое планирование. http://www.inventech.ru/lib/glossary/netplan/
13. Метод критического пути. http://ru.wikipedia.org/wiki/Метод_критического_пути
14. Сетевое планирование. http://ru.wikipedia.org/wiki/Сетевое_планирование
15. Ребрин Ю.И.. Основы экономики и управления производством. Сетевое планирование и управление. http://polbu.ru/rebrin_management/ch24_all.html
Приложения
Рис. 1. Фрагмент сети «вершина-работа»
Рис. 2. Фрагмент сети «вершина-событие»
Рис. 3. Условные обозначения в сетевом графике
Рис. 4. Диаграмма Ганта.
Рис. 5. Циклограмма а) равноритмичного и б) неритмичного потока.
Рис. 6. Расчет по методу критического пути
Рис. 7. Гистограмма метода Монте-Карло
Рис. 8. Табличная форма для метода диагональной таблицы
Рис 9. Секторный метод
СЕТЕВОЕ МОДЕЛИРОВАНИЕ СТРОИТЕЛЬНЫХ ПРОЦЕССОВ.pdf
[c.312]
Критический путь в сетевом графике имеет максимальную продолжительность. Разница между продолжительностью критического пути Гкр и продолжительностью любого другого пути Т (Ln) является общим полным резервом времени пути [c.49]
На рис. 7.6 показан сетевой график, в котором пути, проходящие через работы 0,2 и 2,6 0,1 и 1,3 0,1—1,4— 4,5, имеют одинаковый полный резерв времени (30 дней). Однако коэффициенты напряженности путей, проходящих через эти работы, будут совершенно различными. Соответственно /z,u= 150/180 = 0,833 /г 2 = 30/60 = 0,5 kn3 = = 90/120 = 0,75. Поэтому в случае последующей оптимизации сетевого графика (при прочих равных условиях, например одинаковом составе ресурсов) в первую очередь целесообразно изъять резервы с пути 0,1 и 1,3 как менее напряженного (Ан2 = 0,5). Уменьшение резерва, допустим, на 20 дней сделает первый и третий пути совсем близкими к критическому ( = 170/180=0,944 kB3 110/120— = 0,917), а второй — еще имеющим довольно ощутимые резервы ( П2=50/60=0,833).
[c.234]
Для определения полного резерва времени пути R(Lt) следует опять вернуться к тому условию, что длина критического пути в сетевом графике больше, чем длина любого другого полного пути. Разница между длиной критического пути г(1 р) и длиной анализируемого пути t(L,) называется полным резервом времени пути L [c.40]
Наиболее важная из проблем, которые приходится решать при осуществлении комплекса работ, — это распределение ресурсов между отдельными работами. Дело в том, что для проведения работ необходимо обеспечить их трудовыми и материальными ресурсами. Количество ресурсов различных типов, находящихся в распоряжении руководителя работ по проекту, обычно бывает ограничено. Очень часто этих ресурсов не хватает чтобы обеспечить завершение всех работ Рц в наиболее ранние моменты, которые равны ti + tij. В этом случае расчет резервов времени Мц и Мц для каждой работы позволяет определить, какие из работ PI/ должны получить ресурсы и быть начаты сразу после совершения предшествующих им событий (, а какие могут быть задержаны без ущерба для сроков осуществления проекта. Изложенные здесь соображения можно использовать как при предварительном планировании расписания выполнения работ, так и при оперативном управлении, когда ситуация с работами меняется, случаются задержки работ сверх полного резерва времени М] , что приводит к изменению критического пути и необходимости срочного перераспределения ресурсов между работами. Пересчет сетевого графика на ЭВМ, т. е. определение новых значений резервов времени, дает возможность быстро осуществить эту операцию.
[c.190]
Известно, что в сетевом графике длина критического пути больше длины любого другого пути. Разница между этими длинами называется полным резервом времени пути. Этот резерв R (L) определяется зависимостью
[c.367]
Для ликвидации отставаний от графика в первую очередь необходимо использовать резервы времени. Применение сетевых методов в оперативном управлении позволяет в полной мере вскрыть и мобилизовать этот вид резервов. Без использования сетевых моделей выявить имеющиеся по различным операциям технологического процесса резервы времени зачастую вообще не представляется возможным. Важнейшее преимущество сетевых моделей — строгая взаимоувязка сроков выполнения всего комплекса работ. Возможности использования различных видов резервов времени по работам сетевых графиков подробно рассматривались при построении перспективных вариантов очередности запуска в производство серий изделий.
[c.139]
Критический путь, т.е. полный путь, на котором суммарная продолжительность работ является максимальной. Иными словами, это самый длинный по времени путь в сетевом графике от исходного до завершающего события. Критический путь лимитирует выполнение задачи в целом, поэтому любая задержка на работах критического пути увеличивает время всего процесса. События, через которые проходит критический путь в работы, выполняемые не на критических путях, называются ненапряженными. У критических работ как полные, так и свободные резервы времени равны нулю (признак критической работы). Критический путь рассчитывается путем определения работ, полные резервы времени которых равны нулю.
[c.168]
В сетевом планировании различают полный / ,- / и частный Л -j резервы времени работ. Полный резерв времени работы — это разность между поздним и ранним сроками начала (или окончания) работы. Это тот запас времени, который может быть использован на данной работе (посредством перенесения срока начала или увеличения продолжительности работы) без ущерба для конечного срока всего комплекса, но при использовании которого последующие работы выполняются в свои поздние допустимые сроки, т. е. лишаются резерва времени. Полный резерв примени-
[c.75]
Поскольку возможно использование полных резервов времени работ не во всем их объеме, а только частично, то возникают различные варианты выполнения намеченного плана. Методологией сетевого планирования они предусмотрены в других резервах времени работ. Так, выделяют частный резерв времени первого вида, частный резерв времени второго вида и независимый резерв времени. Все они являются частями полного резерва времени и позволяют осуществлять более тонкое маневрирование ограниченными ресурсами в процессе выполнения всего комплекса работ без нарушения времени критического пути. О них можно прочитать в специальной литературе по экономико-математическим методам.
[c.528]
Совершенно очевидно, что, располагая такой небольшой бригадой, состоящей лишь из отца и сына, объем работ, отраженный на рис. 7.6, не может быть выполнен. Календарный план должен быть перестроен так, чтобы имеющиеся скромные ресурсы не накладывались друг на друга. Используя регулируемый график, нужно переставлять операции до тех пор, пока в каждой колонке не окажется число, не превышающее число имеющихся доступных рабочих (1 квалифицированный и 1 чернорабочий). Когда эта перестановка осуществится, необходимо вспомнить о логике сетевой модели, на основе которой была построена данная гистограмма, и обо всех наблюдаемых ограничениях но некоторые работы, возможно, придется отложить на срок, превышающий их полный резерв времени, и, таким образом, длительность проекта может увеличиться.
[c.125]
В сетевой модели можно выделить так называемый критический путь. Критический путь LKp состоит из работ (i,j), у которых полный резерв времени равен нулю Rn(i, j) = 0, кроме этого, резерв времени R(f) всех событий i на критическом равен 0. Длина критического пути определяет величину наиболее длинного пути от начального до конечного события сети и равна
[c.28]
Резервы времени работ на сетевых графиках изображаются дробью под стрелкой (работой) полный резерв — в числителе, свободный — в знаменателе.
[c.50]
Резервы времени работ изображаются на сетевых графиках п од стрелками дробью полный резерв — в числителе, свобод- ный — в знаменателе.
[c.54]
Полный список операций для дальнейшей обработки передается в вычислительную группу или обрабатывается на месте вручную. В процессе расчета определяются начало и окончание работ, критический путь и резервы времени с уточнением календарных дат. При расчетах сетевых графиков наибольшее распространение получили следующие обозначения [c.92]
В сетевых графиках имеются и другие пути, опирающиеся на исходное и завершающее события (полные пути), которые могут либо полностью проходить вне критического пути, либо частично совпадать с критической последовательностью работ. Эти пути называются ненапряженными, по продолжительности они меньше критического пути. Ненапряженные пути обладают тем свойством, что на участках, не совпадающих с критической последовательностью работ, они имеют резервы времени. Это означает, что задержка в наступлении событий, не
[c.38]
В качестве базовой методики вычисления главных показателей графика проекта используется хорошо зарекомендовавший себя метод критического пути — основа методов сетевого планирования и управления. Под методом критического пути понимают совокупность методик и формул сетевого планирования и управления, обеспечивающих автоматическое вычисление для всех работ графика моментов раннего и позднего начала, раннего и позднего окончания, а также полных и свободных резервов времени. Работы, имеющие отрицательный или нулевой резерв времени, считают находящимися на критическом пути. Часто в состав критического пути включают работы, имеющие достаточно малый резерв времени, не превосходящий некоторой заранее заданной малой положительной вели-
[c.28]
Изменяют топологию всего сетевого графика, т. е. технологию выполнения работ. Это возможно потому, что отдельные работы можно выполнять различными способами. Выбирают такой вариант, при котором работы, ранее выполняемые последовательно, могли быть выполнены параллельно. Параллельности можно добиться также путем расчленения работ большой продолжительности на более мелкие работы, что дает возможность последующую работу начать до полного окончания предшествующей. В ряде случаев изменение технологии позволяет заменить некоторые работы, лежащие на критическом пути, работами другого содержания, требующими меньших затрат времени. Оптимизированный вариант сетевого графика является документом, по которому осуществляется оперативное управление всем комплексом работ. Предположим, что директивный срок,монтажа компрессора — 20 дней. Полученная продолжительность критического пути составила 22 дня, т. е. сетевой график должен быть сжат на 2 дня. Некритическая работа 1—3 имеет резерв 5 дней. Целесообразно резервы данной работы перебросить на критическую работу 1—4. Удлинив работу 1—3 до 6 дней сокращаем работу 1—4 на 2 дня, сократив, таким образом, критический путь до 20 дней, что соответствует директивному сроку.
[c.211]
Таким образом, резерв времени события показывает, на какой допустимый период времени можно задержать наступление этого события, не вызывая при этом увеличения срока выполнения всего комплекса работ. Критические события резервов времени не имеют, так как любая задержка в совершении события, лежащего на критическом пути, вызовет такую же задержку в совершении события всего комплекса работ. Из этого следует, что топологию критического пути можно определить не обязательно посредством перебора всех полных путей сетевого графика, что иногда может оказаться утомительным, а просто посредством выявления всех событий, имеющих нулевые резервы времени.
[c.526]
Каждая работа, как и пути, в которые она входит, имеет резервы времени. Резерв времени любого полного пути сетевого графика представляет собой разность между длиной критического пути и длиной данного пути [c.527]
После составления сетевого графика производится его расчет, в результате которого определяются основные параметры графика — раннее начало и раннее окончание работ, позднее начало и позднее окончание их, полный и свободный резервы времени работ, направление и продолжительность
[c.22]
Резервы времени удобно рассчитывать по сетевому графику, так как величины Tf, Tf записаны в его вершинах. Полученные значения резервов записывают около соответствующих дуг сетевого графика. Сначала ставят полный резерв, а затем свободный.
[c.280]
Срок свершения 2-го, седьмого, двенадцатого, тринадцатого событий рассчитывается по максимальному из предшествующих ему путей. Срок свершения события 2 равен 10 дням (2+6+2), события 7—17 (2 + 6 + 2 + 7), события 12—18 (2+6 + 2 + 7+1), события 13—22(2+6 + 2 + 7+1+4). Значит, ранний срок свершения завершающего события — 22 дня, что соответствует величине, подсчитанной при определении полных путей и критического пути сетевого графика. В рассматриваемом сетевом графике поздний срок свершения последнего события 13 составляет 22 дня. Поздний срок свершения события 12 определяется вычитанием из позднего срока свершения события 13 продолжительности работы, ведущей от события 12 к событию 13, что составит 18 дней (22—4). Таким же образом устанавливаются поздние сроки свершения и всех остальных событий, кроме 1 и 9. После события 1 следует четыре работы работа 1—3, 1—2, 1—4, 1—5. В подобных случаях выбирается минимальная по продолжительности разность между поздним сроком свершения последующего события и сроком выполнения работы, ведущей от данного события к последующему. Отсюда поздний срок свершения события 1 составит 2 дня. Тп события 4 равен 8—22—(4 + 1+7+2). Принимаем срок в 2 дня, поскольку эта величина меньше возможных других трех величин, так как, если берем путь 1—3, то поздний срок свершения события 1 будет равен 22—(2 + 5 + 3+1)—4 = 7 дней, путь 1—2 —22—(4 + 1+7)—3 = 7дней, путь 1—5 22—(4 + 3 + 4 + +5)—2=4 дня. Аналогично этому ранний срок свершения события составит 22—(4 + 3-)—4 = 11 дней, так как, идя другим путем, величина Тп для события 9 будет больше 22—(4 + 1)—3 = = 14 дней. Разность между поздним и ранним сроками устанавливает резерв времени. Для события 1 резерв составит 0(2—2), для события 2 — также 0(10—10), для события 3—5 дней (11—6), события 4—0 (8—8), события 5—0 (4—4), события 6—5 дней (12—7), события 7—0(17—17), события 8—5 дней (15—10), события 9—2 дня (11—9), события 10—5 дней (20—15), события 11—2 дня (15—13), события 12—0 (18—18), события 13—0 (22—22). Так как критический путь проходит через события с нулевыми резервами времени, его продолжительность может быть определена как сумма времени свершения событий 1, 2, 4, 7, 12, 13, что совпадает с ранее сделанными расчетами длительности критического пути.
[c.209]
Вместо календаризации сетевых графиков их часто перестраивают в обычные линейные календарные графики по ранним началам работ с нанесением полных и свободных резервов времени.
[c.40]
Методы сетевого планирования
Содержание
Введение
.Основные
понятия сетевого планирования и управления
.1
Основные параметры сетевой модели системы планирования и управления
.2
Правила построения сетевых графиков. Характеристики элементов сетевой модели
.
Методы сетевого планирования
.1
Метод критического пути
.2
Метод оценки и пересмотра планов (ПЕРТ, PERT)
.3
Метод графической оценки и анализа (GERT)
.
Численная реализация задачи сетевого планирования
Заключение
Список
использованной литературы
сетевое планирование график модель
Введение
Сетевое планирование и управление (СПУ), система
планирования и управления разработкой крупных народно-хозяйственных комплексов,
научными исследованиями, конструкторской и технологической подготовкой
производства новых видов изделий, строительством и реконструкцией, капитальным
ремонтом основных фондов путём применения сетевых графиков. Система СПУ
позволяет устанавливать взаимосвязь планируемых работ и получаемых результатов,
более точно рассчитывать план, а также своевременно осуществлять его корректировку.
Первоначальные идеи СПУ были разработаны в конце
50-х годов в США и реализованы в виде двух систем сетевого анализа — PERT
(Program Evaluation and Review Technique — оценка программ и способов проверки)
и CPM (Critical Path Method — метод критического пути).
В России работы по сетевому планированию
начались в 60-х годах. Тогда методы СПУ нашли применение в строительстве и
научных разработках. В дальнейшем сетевые методы стали широко применяться и в
других областях народного хозяйства.
Актуальность выбранной темы обусловлена
постоянной работой внутри производственно-хозяйственной системы по ее
совершенствованию, для чего необходимо планировать производственный процесс в
целом, рассматривая работы во взаимосвязи.
Применение системы сетевого планирования
способствует разработке оптимального варианта стратегического плана развития
предприятия, который служит основой оперативного управления комплексом работ в
ходе его осуществления. Основным плановым документом в этой системе является
сетевой график, или просто сеть, представляющий информационно-динамическую
модель, в которой отражаются все логические взаимосвязи и результаты
выполняемых работ, необходимых для достижения конечной цели стратегического
планирования. В сетевом графике с необходимой степенью детализации
изображается, какие работы, в какой последовательности и за какое время
предстоит выполнить, чтобы обеспечить окончание всех видов деятельности не
позже заданного или планируемого периода.
При сетевом планировании производства:
видна цепочка работ, от которых зависит
своевременное выполнение проекта,
есть простые математические зависимости,
позволяющие делать расчёты,
после составления сетевого графика выявляются
резервы, которые можно использовать внутри проекта и, следовательно, сократить длительность
и стоимость.
Каким бы совершенным ни был производственный
процесс, на предприятии всегда найдутся внутрипроизводственные резервы. С
течением времени в силу появления новых достижений научно-технического
прогресса величина этих резервов будет возрастать.
Методы сетевого моделирования относятся к
методам принятия оптимальных решений, что оправдывает рассмотрение этого типа
моделей в данной курсовой работе.
1.Основные понятия сетевого планирования и
управления
.1 Основные параметры сетевой модели системы
планирования и управления
Математический аппарат сетевых моделей
базируется на теории графов.
Графом называется совокупность двух конечных
множеств:
множества точек, которые называются вершинами, и
множества пар вершин, которые называются ребрами. Если рассматриваемые пары
вершин являются упорядоченными, т. е. на каждом ребре задается направление, то
граф называется ориентированным; в противном случае — неориентированным.
Последовательность неповторяющихся ребер, ведущая от некоторой вершины к
другой, образует путь.
Граф называется связным, если для любых двух его
вершин существует путь, их соединяющий; в противном случае граф называется
несвязным.
В экономике чаще всего используются два вида
графов: дерево и сеть.
Дерево представляет собой связный граф без
циклов, имеющий исходную вершину (корень) и крайние вершины; пути от исходной
вершины к крайним вершинам называются ветвями.
Сеть — это ориентированный конечный связный
граф, имеющий начальную вершину (источник) и конечную вершину (сток). Таким
образом, сетевая модель представляет собой граф вида «сеть».
В экономических исследованиях сетевые модели
возникают при моделировании экономических процессов методами сетевого
планирования и управления (СПУ).
Объектом управления в системах сетевого
планирования и управления являются коллективы исполнителей, располагающих
определенными ресурсами и выполняющих определенный комплекс операций, который
призван обеспечить достижение намеченной цели, например, разработку нового
изделия, строительства объекта и т.п.
Основой сетевого планирования и управления
является сетевая модель (СМ), в которой моделируется совокупность
взаимосвязанных работ и событий, отображающих процесс достижения определенной
цели. Она может быть представлена в виде графика или таблицы.
Основные понятия сетевой модели:
событие;
работа;
путь.
Работа характеризует материальное действие,
требующее использования ресурсов, или логическое, требующее лишь взаимосвязи
событий. При графическом представлении работа изображается стрелкой, которая
соединяет два события. Она обозначается парой заключенных в скобки чисел (i,j),
где i — номер события, из которого работа выходит, а j — номер события, в
которое она входит. Работа не может начаться раньше, чем свершится событие, из
которого она выходит. Каждая работа имеет определенную продолжительность t
(i,j)-Например, запись t (2,5) = 4 означает, что работа (2,5) имеет
продолжительность 5 единиц.
На рис. 1 графически представлена сетевая
модель, состоящая из 11 событий и 16 работ, продолжительность выполнения
которых указана над работами.
«Рисунок 1 — Пример сетевой модели».
Событиями называются результаты выполнения одной
или нескольких работ. Они не имеют протяженности во времени. Событие свершается
в тот момент, когда оканчивается последняя из работ, входящая в него. События
обозначаются одним числом и при графическом представлении сетевая модель
изображаются кружком (или иной геометрической фигурой), внутри которого
проставляется его порядковый номер (i = 1, 2, …, n).
В сетевой модели имеется начальное событие (с
номером 1), из которого работы только выходят, и конечное событие (с номером
N), в которое работы только входят.
Путь — это цепочка следующих друг за другом
работ, соединяющих начальную и конечную вершины, например, в приведенной выше
модели путями являются L1 = (1, 2, 3, 7, 10, 11), L2 = (1, 2, 4, 6, 11) и др.
Продолжительность пути определяется суммой
продолжительностей составляющих его работ. Путь, имеющий максимальную длину,
называют критическим и обозначают LKp, а его продолжительность — tкр. Работы,
принадлежащие критическому пути, называются критическими. Их несвоевременное
выполнение ведет к срыву сроков всего комплекса работ.
Сетевая модель имеют ряд характеристик, которые
позволяют определить степень напряженности выполнения отдельных работ, а также
всего их комплекса и принять решение о перераспределении ресурсов.
.2 Правила построения сетевых графиков.
Характеристики элементов сетевой модели
При построении сетевых графиков необходимо
соблюдать следующие правила:
) в сети не должно быть тупиков, то есть
событий, из которых не выходит ни одной работы, если только эти события не
являются для данной сети завершающими.
Наличие тупиков в сети, как правило, указывает
на то, что либо связь отсутствует ошибочно, либо результат работы или работ,
непосредственно предшествующих этому событию, никому из исполнителей данного
комплекса операций не нужен. Следовательно, такие работы являются лишними и
могут быть аннулированы.
) в сети не должно быть событий, в которые не входит
ни одной работы, если только эти события не являются для данной сети исходными.
) в сети не должно быть замкнутых контуров, то
есть не должно быть путей, соединяющих некоторое событие с ним же самим.
Наличие замкнутых контуров указывает на
случайную или логическую ошибку, допущенную при построении сети. При
обнаружении подобной ошибки сеть после соответствующей проверки должна быть
исправлена.
) в сети не должно быть работ, имеющих
одинаковые шифры, то есть работ с общими начальным и конечным событиями.
Для любого события i сетевая модель позволяет
рассчитать наиболее ранний из возможных сроков его свершения tp(i) и наиболее
поздний из допустимых сроков его свершения tп(i) (или для кратности: ранний и
поздний сроки свершения события i).
Ранний срок свершения любого события i равен
суммарной продолжительности работ, лежащих на максимальном из путей, ведущих к
данному событию от исходного события сети, то есть на максимальном из
предшествующих событию i путей.
Обозначив максимальный предшествующий событию i
путь через L(I-i)max, получим
tp(i)=t[L(I-i)max]. (1)
Поздний срок свершения любого события i, то есть
tп(i), равен разности между продолжительностью критического пути и суммарной
продолжительностью работ, лежащих на максимальном из путей, ведущих от данного
события к завершающему событию сети, то есть на максимальном из следующих за
событием i путей.
Обозначим максимальный следующий за событием i
путь через L(i-C)max, получим
tп(i)=tкр-t[L(i-C)max].
(2)
Зная tp(i) и tп(i) для всех событий сети, можно
для любой работы (i, j) определить:
самый ранний из возможных сроков начала работы
(i,j), или, кратко, ранний срок начала tр.н(i,j);
самый поздний из допустимых сроков начала
работы, или поздний срок начала tп.н(i,j);
самый ранний из возможных сроков окончания
работы, или ранний срок окончания tр.о(i,j);
самый поздний из допустимых сроков окончания
работы, или поздний срок окончания tп.о(i,j).
Ранние сроки начала работ определяются ранними
сроками свершения их начальных событий, а поздние сроки окончания работ —
поздними сроками свершения их конечных событий. Поэтому, зная продолжительность
работы t(i,j), указанные выше параметры определить по следующим формулам:
tп.о(i,j) = tп(j). (6)
Для всех работ критического пути
tр.н(i,j)
= tп.н(i,j)
и
tр.о(i,j)
= tп.о(i,j),
(7)
так как начальное и конечное события этих работ
находятся на критическом пути, а следовательно,
tp(i) = tп(i)
= tп(j)
— t(i,j) и tп(j)
= tp(j) = tp(i) + t(i,j). (8)
Разница между продолжительностью критического
пути и любого другого пути сети t(L) называется полным резервом времени пути и
обозначается через P(L):
(L) = tкр — t(L). (9)
Величина P(L) показывает, насколько в сумме может
быть увеличена продолжительность всех работ, принадлежащих пути L, чтобы при
этом не изменилась продолжительность критического пути tкр.
Резерв времени события i обозначается через P(i)
и определяется как разница между поздним и ранним сроками свершения данного
события, то есть:
(i) = tп(i) — tp(i); (10)
легко показать, что
(i) = P[L(i)max], (11)
то есть резерв времени свершения события
определяется резервом времени у максимального из путей, проходящих через это
событие.
Резерв времени показывает, на какой предельно
допустимый период времени можно задержать свершение этого события, не вызывая
при этом увеличения tкр.
В системах СПУ используются четыре вида резервов
времени работ: полный, свободный, и два вида частных резервов времени.
Полным резервом времени работ (i,j) называется
резерв времени, равный величине резерва времени максимального из путей,
проходящих через данную работу. Обозначается через Pп(i,j).
Для всех работ критического пути Рп(i,j) = 0.
Величина полного резерва времени может быть
определена по следующей формуле:
Рп(i.j) = tп(j)
— tp(i) — t(i,j). (12)
Частные резервы времени образуются в местах
пересечения путей различной продолжительности у работ, принадлежащих меньшему
пути.
Следует различать два вида частных резервов:
) частный резерв первого вида P’п(i,j)
образуется у работ, непосредственно следующих за событием, в котором
пересекаются пути различной продолжительности;
) частный резерв второго вида P”п(i,j)
образуется у работ, непосредственно предшествующих событию, в котором пересекаются
пути различной продолжительности.
P’п(i,j)
= Рп(i,j)
— P(i), (13)”п(i,j) = Pп(i,j)
— P(j). (14)
Свободным резервом времени работы (i,j)
называется та часть ее полного резерва, которая сохраняется у нее при условии,
что начальное событие данной работы свершится в самый поздний срок tп(i), а
конечное — в самый ранний tp(j):
Pc(i.j) = tp(j) — tп(i)
— t(i,j). (15)
Величина свободного резерва времени Pc(i,j)
показывает, на какой период времени можно увеличить продолжительность данной
работы (i,j), чтобы при этом сохранилась возможность свершения ее конечного
события в самый поздний срок.
В ряде систем СПУ напряженность сроков
выполнения работ измеряется отношением продолжительностей несовпадающих
отрезков максимального пути, проходящего через данную работу, и критического
пути. Это отношение называется коэффициентом напряженности работы и
обозначается через kн(i.j).
kн(i.j)
= 1 — Рп(i,j)
/ t”кр(i,j)max.
(16)
Другими словами, коэффициент напряженности
работы характеризует напряженность сроков ее выполнения с помощью
относительной, а не абсолютной величины ее полного резерва времени.
Величина коэффициента напряженности у разных
работ в сети лежит в пределах 0 ≤ kн(i,j) ≤ 1, причем у работ
критического пути kн(i,j) = 1.
В реальных проектах каждая работа характеризуется
не только временем, но и стоимостью выполнения. В этом случае полная стоимость
проекта будет равна сумме стоимостей всех входящих в него работ.
2. Методы сетевого планирования
.1 Метод критического пути
Конечным результатом применения метода
критического пути (СРМ) будет построение временного графика выполнения проекта.
Для этого проводятся специальные вычисления, в результате чего получаем
следующую информацию.
общая длительность выполнения проекта;
разделение множества процессов, составляющих
проект, на критические и некритические.
Процесс является критическим, если он не имеет
«зазора» для времени своего начала и завершения. Таким образом, чтобы
весь проект завершился без задержек, необходимо, чтобы все критические процессы
начинались и заканчивались в строго определенное время. Для некритического
процесса возможен некоторый «дрейф» времени его начала, но в
определенных границах, когда время его начала не влияет на длительность
выполнения всего проекта.
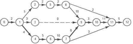
Для проведения необходимых вычислений определим
событие как точку на временной оси, где завершается один процесс и начинается
другой. В терминах сети, событие — это сетевой узел. Нам понадобятся также
следующие определения и обозначения.
□j — самое раннее возможное время
наступления события j,
∆j самое позднее возможное время
наступления события j,- длительность процесса (i, j).
Вычисление критического пути включает два этапа
(прохода). При проходе вперед вычисляются самые ранние времена наступления
событий, а при проходе назад — самые поздние времена наступления тех же
событий.
Проход вперед. Вычисления начинаются в узле 1 и
заканчиваются в последнем узле n.
Начальный шаг. Полагаем П1 = 0; это указывает на
то, что проект начинается в нулевой момент времени.
Основной шаг j. Для узла j определяем узлы — р,
q, …, v, непосредственно связанные с узлом j процессами (p,j), {q, j), …,
(v, j), для которых уже вычислены самые ранние времена наступления
соответствующих событий. Самое раннее время наступления события j вычисляется
по формуле
= max(P, +Dpj , q+Dqj, …, Uv+Dvj) (17)
Проход вперед завершается, когда будет вычислена
величина Оа для узла п. По определению величина Пу равна самому длинному пути
(длительности) от начала проекта до узла (события) у.
Проход назад. В этом проходе вычисления
начинаются в последнем узле n и заканчиваются в узле 1.
Начальный шаг. Полагаем ∆n = □n это
указывает, что самое раннее и самое позднее времена для завершения проекта
совпадают.
Основной шаг j. Для узла j определяем узлы р, q,
…, v, непосредственно связанные с узлом j процессами (j, р), (j, q), …, (j,
v), для которых уже вычислены самые поздние времена наступления соответствующих
событий. Самое позднее время наступления события у вычисляется по формуле:
∆j = min(∆P — Djp, ∆q — Djq,
…, ∆v —Djv.) (18)
Проход назад завершается при вычислении величины
∆1 для узла 1. Процесс (i, j) будет критическим, если выполняются три
условия.
∆i = □i
∆j = □j
∆j.-∆i = □j — □I = Dij
Если эти условия не выполняются, то процесс
некритический.
Критические процессы должны образовывать
непрерывный путь через всю сеть от начального события до конечного.
.2 Метод оценки и пересмотра планов (ПЕРТ, PERT)
Метод оценки и пересмотра планов PERT
представляет собой разновидность анализа по методу критического пути с более
критичной оценкой продолжительности каждого этапа проекта. При использовании
этого метода необходимо оценить наименьшую возможную продолжительность
выполнения каждой работы, наиболее вероятную продолжительность и наибольшую
продолжительность на тот случай, если продолжительность выполнения этой работы
будет больше ожидаемой. Метод ПЕРТ допускает неопределенность продолжительности
операций и анализирует влияние этой неопределенности на продолжительность работ
по проекту в целом.
Этот метод используется, когда для операции
сложно задать и определить точную длительность.
Особенность метода PERT заключается в
возможности учета вероятностного характера продолжительностей всех или
некоторых работ при расчете параметров времени на сетевой модели. Он позволяет
определять вероятности окончания проекта в заданные периоды времени и к
заданным срокам.
Метод PERT отличается от СРМ тем, что здесь
длительность процессов характеризуется тремя оценками.
) оптимистичная оценка времени а, когда
предполагается, что выполнение процесса будет происходить максимально быстро.
) наиболее вероятная оценка времени m, когда
предполагается, что выполнение процесса будет происходить нормально.
) пессимистическая оценка времени b, когда
предполагается, что выполнение процесса будет происходить очень медленно.
Любая возможная оценка времени выполнения
процесса будет лежать в интервале (а, b). Поэтому оценка времени m также должна
лежать в этом интервале. На основе этих оценок среднее время D выполнения
процесса и дисперсия v вычисляются пo формулам
(19)
Вычисления метода СРМ, выполнимы,
если заменить значения длительностей D процессов оценками .
Теперь можно определить вероятность
того, что узел j модели будет достигнут в заранее запланированное время Sj
Пусть ej- время наискорейшего достижения узла j. Поскольку длительности
выполнения процессов, которые ведут от начального узла к узлу j, — случайные
величины, то ej также является случайной величиной. Предположив, что все
процессы в сети статистически независимы, можно определить среднее
(математическое ожидание) М{еj} и дисперсию var{ej} следующим образом. Если
существует только один путь от начального узла к узлу j, то среднее является
суммой ожидаемых длительностей D выполнения всех процессов, входящих в этот
путь, а дисперсия равна сумме дисперсий v тех же процессов. С другой стороны,
если к узлу j ведет более одного пути, то до того, как будут вычислены среднее
и дисперсия, необходимо найти вероятностное распределение длительности
выполнения процессов, которые составляют самый длинный путь. Эта задача
достаточно сложная, поскольку она эквивалентна задаче, вычисляющей
распределение «»максимума нескольких случайных величин. Для упрощения
этой задачи среднее М{ej} и дисперсия var{ej} вычисляются только для пути, для
которого сумма ожидаемой длительности выполнения процессов максимальна. Если
несколько путей имеют равные значения среднего, то выбирается тот, для которого
дисперсия больше, поскольку этот путь отражен наименее четко, и поэтому будет
вычислена более общая оценка вероятностей.
После того как будет вычислено
среднее М{ej} и дисперсия var{ej), вероятность того, что узелj будет достигнут
в запланированное время Sj, можно вычислить по формуле
где z — случайная величина, имеющая
стандартное нормальное распределение,

Случайная величина z имеет среднее 0
и стандартное отклонение 1 .В данном случае использование нормального
распределения оправдано тем, что ej является суммой независимых случайных
переменных. Согласно центральной предельной теореме величина еj приближенно распределена
по нормальному закону.
.3 Метод графической оценки и
анализа (GERT)
Метод графической оценки и анализа
(метод GERT) применяется в тех случаях организации работ, когда последующие
задачи могут начинаться после завершения только некоторого числа из
предшествующих задач, причем не все задачи, представленные на сетевой модели,
должны быть выполнены для завершения проекта.
Основу применения метода GERT
составляет использование альтернативных сетей, называемых в терминах данного
метода GERT-cетями.
По существу GERT-сети позволяют
более адекватно задавать сложные процессы строительного производства в тех
случаях, когда затруднительно или невозможно (по объективным причинам)
однозначно определить какие именно работы и в какой последовательности должны быть
выполнены для достижения намеченного результата (т.е. существует
многовариантность реализации проекта).
Следует отметить, что
«ручной» расчет GERT-сетей, моделирующих реальные процессы,
чрезвычайно сложен, однако программное обеспечение для вычисления сетевых
моделей такого типа в настоящее время, к сожалению, не распространено.
3. Численная реализация задачи сетевого
планирования
Каждое событие должно устанавливает
завершенность предшествующих действий, например: выбрана цель проекта,
обоснованы способы проектирования, рассчитаны показатели конкурентоспособности
и т.п. Все события и работы, входящие в заданный комплекс, перечислены в
порядке их выполнения.
Сшивание сетевого графика производится на основе
приведенного в Таблице 1 перечня выполняемых работ. Построение сети можно
начинать как от исходного события, постепенно приближаясь к завершающему, так
и, наоборот — от конечного к начальному.
Таблица 1 — Перечень выполняемых проектных работ
|
Наименование |
Продолжительность, |
Код |
|
1 |
2 |
0- |
|
2 |
5 |
1- |
|
3 |
3 |
1- |
|
4 |
4 |
1 |
|
5 |
2 |
2 |
|
6 |
0 |
3 |
|
7 |
5 |
4 |
|
8 |
2 |
5 |
|
9 |
10 |
6 |
|
10 |
10 |
8 |
|
11 |
8 |
7 |
|
12 |
2 |
8 |
|
Наименование |
Продолжительность, |
Код |
|
13 |
3 |
7 |
|
14 |
3 |
9 |
|
15 |
11 |
10 |
|
16 |
5 |
11 |
Рисунок 2 — Сетевой график выполнения проекта
На сетевом графике (рисунок 2) критический путь
проходит через цепочку событий и работ, обозначенных номерами 0 — 1 — 4 — 6 — 7
— 9 — 10 — 11 — 12, и равен 48 человеко-дням. Он выделен жирной линией.
Расчет ранних сроков выполнения событий ведется
от исходного до завершающего таким образом:
Расчет ранних сроков свершения
событий проводится в прямой последовательности от исходного до конечного.
пути 132
Ранний срок свершения события 12
соответствует критическому пути сетевого графика: дням.
Остальные полные пути равны:
Поздний срок свершения событий определяется
разностью между продолжительностью критического пути и максимальной
длительностью следующих за данным (i-ым) событием путей к завершающему (С) по
следующей формуле:
(23)
Расчет поздних сроков свершения
событий проводится в обратном порядке от конечного к исходному.
Резервы времени свершения отдельных
событий представляют собой разность между поздними и ранними сроками их
выполнения,
Расчет резервов времени
подтверждает, что критический путь проходит в сетевом графике через события 0 —
1 — 4 — 6 — 7 — 9 — 10 — 11 — 12 с нулевыми значениями резервов времени. В
таблице 2 приведены основные параметры сетевого графика, характеризующие
продолжительность выполняемых работранние и поздние сроки свершения событий, а
также имеющиеся в сетевой модели резервы времени (Рисунок 2).
Полный резерв пути показывает, на
сколько в сумме может быть увеличена продолжительность всех работ,
принадлежащих данному пути. В соответствии с ранее выполненными расчетами
полных путей нашего сетевого графика найдем полные резервы времени всех четырех
путей.
Выполненные расчеты основных
параметров сетевых графиков должны быть использованы при анализе и оптимизации
сетевых стратегических планов.
Код
работ Продолжительность №
|
событияПоказатели |
Ранний
срок Поздний срок
Резерв
|
времени |
|||||
|
0-1 |
2 |
0 |
0 |
0 |
0 |
|
1-2 |
5 |
1 |
2 |
2 |
0 |
|
1-3 |
3 |
2 |
7 |
15 |
8 |
|
1-4 |
4 |
3 |
5 |
29 |
24 |
|
2-5 |
2 |
4 |
6 |
6 |
0 |
|
4-6 |
5 |
5 |
9 |
17 |
8 |
|
5-8 |
2 |
6 |
11 |
11 |
0 |
|
6-7 |
10 |
7 |
21 |
21 |
0 |
|
7-9 |
8 |
11 |
19 |
8 |
|
|
8-9 |
10 |
9 |
29 |
29 |
0 |
|
9-10 |
3 |
10 |
32 |
32 |
0 |
|
10-11 |
11 |
11 |
43 |
43 |
0 |
|
11-12 |
5 |
12 |
48 |
48 |
0 |
Таблица 2 — Расчётные параметры сетевого графика
(в человеко-днях)
Расчет и анализ коэффициентов напряженности
сетевых путей наряду с резервами времени позволяет распределить все работы по
трем зонам: критическая, подкритическая и резервная. В разработанном нами
графике коэффициенты напряженности всех путей будут иметь следующие значения.
Первый путь проходит через события 0 — 1 — 2 — 5
— 8 — 11 — 12, и равен 18 человеко-дням. Коэффициент напряженности этого пути
составляет:
(24)
Второй путь, проходящий через
события 0 — 1 — 2 — 5 — 8 — 9 — 10 — 11 — 12, равен 40 дням, а коэффициент
напряженности — 0,833.
Третий путь, равный 24 дням,
пролегает по событиям 0 — 1 — 3 — 9 — 10 — 11 — 12. Коэффициент его
напряженности имеет значение 0,5.
Четвертый путь — это критический
путь, коэффициент напряженности которого равен 1,0.
Пятый путь объединяет события 0 — 1
— 4 — 6 — 7 — 11 — 12. Продолжительность этого пути составляет 29 дней, а
коэффициент напряженности — 0,604.
Проведенный анализ коэффициентов
напряженности путей подтверждает возможность сокращения критического пути почти
в три раза при более рациональной загрузке имеющихся трудовых ресурсов. Однако
при этом следует иметь в виду, как существующие функциональные формы
специализации персонала, так и уровень требуемой квалификации специалистов. Из
расчетов следует, что наименее напряженными оказались пути выполнения плановых
работ, а наиболее напряженными — проектно-конструкторских. Но в реальных
условиях вряд ли имеется возможность совмещения своих функций работниками
планово-экономических, и проектно-конструкторских подразделений предприятия.
Это означает, что при необходимости сокращения критического пути, например на
24 дня, следует при односменной работе дополнительно привлечь одного
конструктора на целый месяц. Возможны и многие иные варианты сокращения
критического пути с 48 человеко-дней до необходимого или планируемого значения.
Заключение
Диапазон применения сетевого планирования и
управления весьма широк: от задач, касающихся деятельности отдельных лиц, до
проектов, в которых участвуют сотни организаций и десятки тысяч людей
(например, разработка и создание крупного территориально-промышленного
комплекса).
Методы сетевого планирования и управления
обеспечивают руководителей и исполнителей на всех участках работы обоснованной
информацией, которая необходима им для принятия решений по планированию,
организации и управлению. А при использовании вычислительной техники сетевое
планирование и управление является уже не просто одним из методов планирования,
а автоматизированным методом управления производственным процессом.
Сетевые модели могут быть широко использованы на
всех отечественных предприятиях при разработке как долгосрочных, так и текущих
планов. Сетевое планирование позволяет не только определять потребность
различных производственных ресурсов в будущем, но и координировать их
рациональный расход в настоящем. С помощью сетевых графиков можно соединить в
единую систему все материальные, трудовые, финансовые и многие другие ресурсы и
средства производства и в идеальных (планируемых), и в реальных (существующих)
экономических условиях.
После составления сетевого плана производится
его оптимизация. Ее цель — так распределить имеющиеся ресурсы, чтобы уменьшить
критический путь.
Существуют различные методы сетевого
планирования.
Метод критического пути позволяет рассчитать
возможные календарные графики выполнения комплекса работ на основе описанной
логической структуры сети и оценок продолжительности выполнения каждой работы,
определить критический путь для проекта в целом.
Метод PERT — метод событийного сетевого анализа,
используемый для определения длительности программы при наличии
неопределенности в оценке продолжительностей индивидуальных операций. PERT
основан на методе критического пути, длительность операций в котором
рассчитывается как взвешенная средняя оптимистического, пессимистического и
ожидаемого прогнозов. PERT рассчитывает стандартное отклонение даты завершения
от длительности критического пути.
В настоящее время происходит расширение методов
и приемов использования сетевых методов.
Список использованных источников
Алексинская
Т.В. Учебное пособие по решению задач по курсу «Экономико-математические
методы и модели». Таганрог: Изд-во ТРТУ, 2002, 153 с.
Голенко
Д. И. Статистические методы сетевого планирования и управления. Москва:
издательство Наука, 1968, 400с.
Кофман
А., Дебазей Г. Сетевые методы планирования и их применение. Москва:
Издательство Прогресс, 1968, 180с.
Заболотский
В.П., Оводенко А.А., Степанов А.Г. Математические модели в управлении: Учеб.
пособие/ СПбГУАП. СПб., 2001, 196с.: ил.
Ивасенко
А.Г. Управление проектами: учебное пособие/А.Г. Ивасенко, Я.И.Никонова,
М.В.Каркавин — Ростов н/Дону:Феникс, 2009. — 330 с. — Высшее образование.
Кудрявцев
Е.М.
Microsoft Project. Методы сетевого планирования и
управления проектом. — М.: ДМК Пресс, 2005. — 240 с., ил.
Мазур
И.И., Шапиро В.Д., Ольдерогге Н.Г. Управление проектами: Ученое пособие/ Под
общ. ред. И.И.Мазура. — 3-е изд. — М.: Омега-Л, 2004. — с. 664.
Тынкевич
М.А. Экономико-математические методы (исследование операций). Изд. 2, испр. и
доп. — Кемерово, 2000. -177 c. ISBN 5-89070-043-X
Управление
проектом. Основы проектного управления: ученик/ кол. авт.: под ред. проф.
М.Л.Разу. — М.: КНОРУС, 2006. — 768 с.
Линейная диаграмма или сетевой график — в чем разница?
В случае аварийного отказа вы, скорее всего, немедленно приступаете к работам по его устранению, ни о каком заранее спланированном графике устранения аварийных отказов говорить в этом случае не приходится. Если работа по устранению аварии предстоит большая, вы должны по ходу выполнения набрасывать её график. Если у вас уже есть опыт в maintenance, и вы прошли через авральные отказы, то, скорее всего, у вас на этот случай подготовлены СОПы (стадартные операционные процедуры), и вы можете взять график из них.
Для создания графика ППР, вы, вероятнее всего, используете линейную диаграмму Ганта. Диаграмма Ганта — очень простое и очень удобное наглядное представление разработки графика проекта, в котором перечислены задачи проекта с учетом их временных рамок. Также на диаграмме Ганта часто указывается ответственное лицо по каждой задаче. Это особенно удобно при планировании задач по проекту и при мониторинге развития проекта.
Диаграмма Ганта
Диаграмма Ганта удобна тем, что график ППР с ее помощью можно построить в стандартном Excel, не обладая при этом специальными знаниями в программировании.
Но сегодня существуют и всевозможные информационные системы управления ТОиР (ИСУ ТОиР или CMMS — Computerized Maintenance Management Systems), которые значительно сокращают трудозатраты по составлению графиков ППР с контролем реального выполнения, учетом обеспечения и расходов ресурсов.
Вот как, например, выглядит в 1С:ТОиР формирование графика ППР оборудования:
А вот как выглядит настройка графика работ в «Галактика EAM»:
Попробуйте сформулировать, какую информацию вы хотели бы видеть на графике при планировании большого капитального ремонта? Чем он принципиально должен отличаться от линейной диаграммы Ганта и почему?
Теперь сравните свои ответы с ответами ниже и подумайте, как вы сможете распорядиться следующей информацией о капитальном ремонте:
- Наиболее раннее время свершения каждого события
- Наиболее позднее время свершения каждого события
- Наиболее раннее время начала каждой работы
- Наиболее позднее время начала каждой работы
- Наиболее раннее время окончания каждой работы
- Наиболее позднее время окончания каждой работы
- Резервы всех событий
- Полный резерв для всех работ
- Свободный резерв для всех работ
- Независимый резерв для работ
- Время свершения конечного события, определяемое длиной критического пути
- Состав критического пути, т.е. перечень всех событий и работ, лежащих на критическом пути)
Согласитесь, что в отличие от регламентированных работ, выполняемых в ходе ППР, в процессе капитального ремонта после вскрытия и осмотра внутренних узлов агрегатов поступает большой объем информации о выявленных дефектах и требуемых ресурсов в виде рабочих часов, материалов, запасных частей и пр., требуемых для их устранения. Причем выявленные объемы работ могут быть настолько значительными, что может потребоваться пересмотр ранее установленной и утвержденной технологии ремонта. Однако, при этом, установленный срок ремонта, вероятнее всего, не может быть изменен.
Все это создает необходимость создания такой системы управления ремонтным процессом, которая обеспечивает координацию между всеми участниками процесса, подчиняет все частные задачи общей цели и оптимизирует пути ее достижения. Удобным инструментом для решения задачи по созданию такой системы управления ремонтом является сетевой график.
Сетевой график — динамическая модель проекта капитального ремонта, отражающая технологическую зависимость и последовательность выполнения комплекса работ, связывающая их свершение во времени с учётом затрат ресурсов и стоимости работ с выделением при этом узких (критических) мест. Его удобно использовать для планирования проекта в целом, и далее, выполнение отдельных работ отслеживать уже с помощью графиков Ганта.
Как правило, методика сетевого планирования используется для составления графиков больших заданий (200 человеко-часов или больше), которые включают большое количество работ, таких как капитальный ремонт агрегатов, останов предприятий и работ по техническому обслуживанию в межремонтный период используются методы сетевого планирования.
Методы сетевого планирования
Для сетевого планирования используют различные методы моделирования ремонтов.
Метод критического пути (СРМ — Critical path method) использует такую модель, при которой продолжительность всех работ, выполняемых в процессе ремонта, строго определена (детерминирована) и не изменяется. Он используется для планирования и оптимизации больших ремонтов по стоимости и времени их выполнения.
Этот метод был разработан в США компанией «Дюпон» в качестве инструмента для сокращения количества простоев на предприятии, необходимых для технического обслуживания и ремонта оборудования. Метод CMP позволил сократить время на текущий ремонт на 15%.
Метод критического пути. Фрагмент из учебного фильма «Сетевое планирование и управление»
В реальной практике мы не всегда можем заранее точно определить объем и продолжительность работ при капитальном ремонте. В этом случае используют, разработанный в 1950-е гг военно-морскими силами США, которые столкнулись с трудной задачей координации усилий 11ООО подрядчиков, принимающих участие в разработке атомной подводной лодки «Полярис», способной оставаться в погруженном состоянии при запуске баллистических ракет. Использование метода PERT привело, по оценкам, к сокращению времени для выполнения проекта на два года.
Оценка ожидаемого времени выполнения работ по методу PERT. Фрагмент из учебного фильма «Сетевое планирование и управление»
В это же время в СССР сложилась система сетевого планирования и управления. Во-первых, она позволяла создать систему работ с вероятной продолжительностью, а во вторых – давала возможность оптимизировать длительность и затраты на ее реализацию.
Предлагаем вашему вниманию учебный фильм «Сетевое планирование и управление» 1973 года. И пусть вас не смущает возраст этого видеоматериала, сегодня он актуален как никогда. Как оценить ожидаемое время выполнения вероятностной работы? Что такое критический путь сетевого графика? Как найти резерв времени выполнения работ? Ответы на эти вопросы вы найдете в этом фильме.
*****
Рассмотрим более подробно этапы создания сетевого графика и его элементы, а также способы его оптимизации.
Элементы сетевого графика (Метод критического пути)
Сетевой график строится без масштабов и размеров. Основными его элементами являются: работа (ремонтная операция) и событие.
При этом различают три вида работ:
- Действительная работа, которая представляет собой технологический процесс, сопровождающийся затратой времени, а также трудовых и материальных ресурсов. Изображается сплошной безмасштабной линией со стрелкой на конце.
- Ожидание — характеризует процессы, сопровождающиеся только затратой времени. Означает необходимую паузу в рабочем процессе и не требует затрат труда и материальных ресурсов (например, процессы остывания оборудования, сушки после покраски, твердения бетона и т.п.). Графически ожидание изображается так же, как действительная работа, то есть безмасштабной линией со стрелкой на конце.
- Фиктивная работа — логическая связь между двумя или несколькими работами (событиями), не требующая затрат труда, материальных ресурсов или времени. Указывает, что возможность одной действительной работы непосредственно зависит от результатов другой, и изображается безмасштабной пунктирной линией со стрелкой на конце.
На сетевом графике каждая из линий (работ) начинается и заканчивается кружками, которые называются событиями и имеют порядковую нумерацию.
Событие — момент завершения какого-либо процесса; отражает этап выполнения комплекса работ и является результатом одной или нескольких работ.
Событие может свершиться только тогда, когда закончатся все работы, ему предшествующие, а последующие работы могут начаться только после свершения данного событие.
Отсюда двойственный характер события: для всех непосредственно предшествующих ему работ оно является конечным, а для всех непосредственно следующих за ним — начальным. При этом предполагается, что событие не имеет продолжительности и свершается как бы мгновенно.
Обозначение события на сетевом графике
На графике событие обозначается кружком, который делится на четыре сектора. В секторах указывается следующая информация:
- в верхнем – порядковый номер данного события (его шифр);
- в нижнем – порядковый номер предшествующего события, из которого к данному событию идет путь максимальной продолжительности;
- в левом – раннее время свершения события (или раннее время начала работы или нескольких работ, следующих после данного события);
- в правом – позднее время свершения события (или допустимая поздняя дата окончания работы или нескольких работ, предшествующих данному событию, и не ведущая к срыву сроков ремонта).
На основании этих данных каждая работа (стрелка) может быть обозначена двумя цифрами, одна из которых соответствует порядковому номеру события, обозначающего начало работы, а вторая — порядковому номеру события, обозначающего ее окончание.
Таким образом, построение графика осуществляется соединением стрелок, где каждая работа (стрелка) характеризуется двумя событиями (кружками) — предыдущим и последующим.
Фрагмент сетевого графика с последовательно производимыми работами h-j, j-i, i-k и последовательно наступающими событиями j, i и k
Под каждой стрелкой кратко записывается содержание работы, а над нею в виде простой дроби указывается:
- в числителе – количество смен, необходимых для выполнения работы;
- в знаменателе – количественный состав бригады, выполняющей указанную работу.
Изображение работы на сетевом графике:
а — условное обозначение записи продолжительности работы, количества занятых рабочих и номера рабочей смены; б — пример обозначения
Пример сетевого графика ремонта ЦВД турбины типа Т-100-130
Последовательность работ, характеризующихся непрерывной линией из стрелок и кружков, называется путем.
При этом различают:
- полный путь – с началом у исходного события и концом у завершающего;
- предшествующий данному событию путь – с началом у исходного и концом у данного события;
- следующий за данным событием путь – с началом у данного события и концом у завершающего события графика.
Полных путей в сетевом графике может быть несколько, в зависимости от возможностей параллельного ведения работ.
Продолжительность любого пути определяется суммой продолжительностей входящих в него работ. Для выполнения работ по каждому пути требуется различное время, поэтому по большинству путей создаются резервы времени, так как конечное событие, то есть окончание капитального ремонта в запланированный срок не может быть обеспечено до тех пор, пока не будут выполнены работы по всем путям.
Один из полных путей, который имеет наибольшую продолжительность составляющих его работ, называется критическим. Таких путей может быть несколько, и каждый из них определяет общую продолжительность проведения капитального ремонта, поскольку опоздание в выполнении лежащих на нем работ, приведет к задержке выполнения всего комплекса работ в срок.
Работы, находящиеся на критическом пути, не имеют запасов времени для своего выполнения и называются критическими.
Работы, находящиеся на других параллельных путях, являются менее напряженными, так как имеют запас во времени и в определенной мере не влияют на конечный срок ремонта.
Если после составления сетевого графика будет выявлено, что продолжительность критического пути получается больше запланированной (нормативной) продолжительности капитального ремонта, то критический путь подлежит оптимизации по времени.
Оптимизация сетевого графика
Оптимизация производится путем уменьшения сроков выполнения работ, за счет увеличения числа рабочих, средств механизации, сменности работ, а также более детального разделения и параллельного выполнения части работ, то есть за счет людских и материальных ресурсов, сокращения резервов времени на наименее напряженных некритических путях.
После такого пересмотра производится новый анализ сетевого графика, при этом критический путь может изменить свое направление и пройти через другие события.
За критический принимается тот наиболее длинный путь, который не превышает запланированной продолжительности капитального ремонта. В противном случае приходится вновь искать средства для сокращения времени производства работ.
В отдельных случаях (при жестких ограничениях в ресурсах) окончательным результатом оптимизации может быть обоснование невозможности уложиться в заданный срок без устранения этих ограничений или пересмотра заданных объемов работ.
При организации ремонтов в качестве основного ограничения может выступить количество ремонтного персонала, и в случае его нехватки производится оптимизация сетевого графика по рабочей силе.
Цель оптимизации по рабочей силе — достижение равномерной загрузки работающих при условии сведения их числа к минимуму, при котором возможно выполнение намеченного объема работ в указанный планом срок.
Оптимизация заключается в пересмотре начертания графика путем перепланировки последовательности работ, перераспределения численного состава бригад, что возможно лишь для параллельных работ при условии их однотипности, так как, например, переброска слесарей на работы, где требуются высококвалифицированные сварщики, лишена практического смысла.
В период ремонта нa сeтевом графике ход выполнения ремонтных работ отображается извилистой контрольной линией, на концах которой записывается дата проверки. Эта линия пересекает все пути сетевого графика так, что слева остаются работы, выполненные полностью или частично.
Таким образом, при разработке сетевого графика ремонта в качестве входной информации мы используем:
- Топологию сетевого графика
- Временные оценки для всех видов работ в календарных единицах времени.
В качестве выходной информации после построения сетевого графика мы получаем следующую информацию:
- Наиболее раннее время свершения каждого события
- Наиболее позднее время свершения каждого события
- Наиболее раннее время начала каждой работы
- Наиболее позднее время начала каждой работы
- Наиболее раннее время окончания каждой работы
- Наиболее позднее время окончания каждой работы
- Резервы всех событий
- Полный резерв для всех работ
- Свободный резерв для всех работ
- Независимый резерв для работ
- Время свершения конечного события, определяемое длиной критического пути
- Состав критического пути, т.е. перечень всех событий и работ, лежащих на критическом пути
Как видно из этого перечня, мы решили задачу получения требуемых данных для планирования и оптимизации больших ремонтов по стоимости и времени их выполнения.
Построение графика работ с вероятностным характером их продолжительности
(Метод оценки и пересмотра программ PERT)
Как правило, большие ремонты сочетают в себе работы с детерминированными (жестко определенными сроками выполнения) с работами неопределенными по объемам и срокам выполнения задач, что в конечном итоге определяет вероятностный характер планирования.
Для каждой работы устанавливаются предельные и вероятные значения продолжительности ее выполнения:
- Оптимистическая оценка (ОО) – минимальное время выполнения работы;
- Пессимистическая оценка (ПО) – максимальное время выполнения работы;
- Наиболее вероятная оценка (НВО) – наиболее вероятное время выполнения работы.
Предполагая, что для каждой отдельной работы измерение ее продолжительности зависит от целого ряда случайных обстоятельств, причем одно или несколько из них воздействует на нее весьма существенно, а остальные оказывают менее значительное влияние, считается возможным пользоваться в этом случае законом бета-распределения.
При этом математическое ожидание величины продолжительности работы (ОЖ) можно определить по формуле:
ОЖ = (ОО + 4НВО + ПО) / 6
На основе этих значений определяют среднее значение ожидаемого времени выполнения работы. При этом вычисляется срок завершения всех работ как некоторая случайная величина и определяется вероятность того, что он будет меньшим, равным, или больше директивного срока.
В процессе ремонта периодически поступает информация, постепенно раскрывающая неопределенность в плановых оценках времени. Соответственно, периодический расчет и анализ графика дают возможность оценить перспективу в условиях возрастающей определенности и принять решения, способствующие достижению цели – своевременному завершению ремонта.
С увеличением количества программных пакетов для компьютеров эти различия между PERT и СРМ в основном исчезли. Большинство современных компьютерных программ позволяют принимать решения как в условиях неопределенности относительно продолжительности какого-либо вида деятельности, так и в отношении перераспределения ресурсов и сроков завершения проекта.
*****
Для более глубокого изучения методов сетевого планирования мы рекомендуем вам книгу «Сетевой график на электростанциях», авторы: А.А. Заика, Д.С.Бугославский, М., «Энергия», 1970 г.
*****
Вопросы сетевого планирования и планирования остановочных ремонтов мы изучаем на нашем тренинге ОБЪЕМНОЕ И КАЛЕНДАРНОЕ ПЛАНИРОВАНИЕ ТОИР — https://toir.pro/local/crw/course.php?id=331

















