Приложение 2
Порядок
определения платы за оказание услуг (выполнение работ),
относящихся к основным видам деятельности федерального бюджетного учреждения,
подведомственного Росархиву, для граждан и юридических лиц
1. Общие положения
1.1. Настоящий Порядок определения платы за оказание услуг (выполнение работ), относящихся к основным видам деятельности федерального бюджетного учреждения, подведомственного Росархиву, для граждан и юридических лиц (далее – Порядок) разработан в соответствии с федеральными законами от 12 января 1996 г. № 7-ФЗ «О некоммерческих организациях» (Собрание законодательства Российской Федерации, 1996, № 3, ст. 145; 2010, № 19, ст. 2291), от 8 мая 2010 г. № 83-ФЗ «О внесении изменений в отдельные законодательные акты Российской Федерации в связи с совершенствованием правового положения государственных (муниципальных) учреждений» (Собрание законодательства Российской Федерации, 2010, № 19, ст. 2291), постановлением Правительства Российской Федерации от 26 июля 2010 г. № 537 «О порядке осуществления федеральными органами исполнительной власти функций и полномочий учредителя федерального государственного учреждения» (Собрание законодательства Российской Федерации, 2010, № 31, ст. 4236) и распространяется на федеральное бюджетное учреждение, находящееся в ведении Росархива (далее – учреждение), осуществляющее сверх установленного государственного задания, а также в случаях, определенных федеральными законами, в пределах установленного государственного задания оказание услуг (выполнение работ), относящихся в соответствии с уставом учреждения к его основным видам деятельности, для физических и юридических лиц на платной основе (далее – платные работы и услуги).
1.2. Порядок разработан в целях установления единого механизма формирования цен, предельных цен на платные работы и услуги (далее – цены) и не распространяется на иные виды деятельности учреждения, не являющиеся основными в соответствии с его уставом.
1.3. Деятельность по выполнению (оказанию) платных работ и услуг относится к самостоятельной хозяйственной деятельности учреждения, приносящей доход, и осуществляется на основании разрешения Учредителя (Росархива).
1.4. Платные работы услуги выполняются (оказываются) учреждением по ценам, целиком покрывающим издержки учреждения на оказание данных услуг. В случаях, если федеральным законом предусматривается оказание учреждением платной услуги в пределах государственного задания, в том числе для льготных категорий потребителей, такая платная услуга включается в перечень государственных услуг, по которым формируется государственное задание. Платные работы и услуги оказываются (выполняются) учреждением сверх установленного государственного задания на основании договоров возмездного оказания услуг. Они не могут быть оказаны взамен или в рамках выполнения государственного задания, финансируемого за счет средств федерального бюджета.
1.5. Учреждение самостоятельно определяет возможность выполнения (оказания) платных работ и услуг в зависимости от материальной базы, численного состава и квалификации персонала, спроса на услугу, работу и т.д.
1.6. Учреждение формирует и утверждает перечень платных работ и услуг по согласованию с Росархивом.
1.7. Учреждение разрабатывает цены на платные работы и услуги на основании Методики расчета цен на работы и услуги, выполняемые (оказываемые) учреждениями на платной основе, которая является неотъемлемой частью настоящего Порядка.
1.8. Учреждение самостоятельно утверждает цены на выполняемые (оказываемые) ими платные работы и услуги по согласованию с Росархивом, исходя из их производственной себестоимости и рентабельности, с учетом составляющих их производственных операций, имеющейся специфики деятельности (технической оснащенности, требуемых форм представления результата и т.п.), а также установленных налогов и сборов, оформляя калькуляцию цены на каждый вид платной работы и услуги.
1.9. Стоимость платных работ и услуг определяется на основе расчета экономически обоснованных затрат материальных и трудовых ресурсов (далее – затраты).
1.10. Учреждение, выполняющее (оказывающее) платные работы и услуги, обязано своевременно обеспечить потребителей (пользователей) бесплатной, доступной и достоверной информацией, включающей в себя сведения о своем местонахождении, почтовом и электронном адресах, контактных телефонах, режиме работы (рабочие и выходные дни, часы обслуживания), услугах, оказываемых на бесплатной (безвозмездной) основе, перечне (прейскуранте) платных услуг с указанием их цены, условиях предоставления и порядке оплаты.
2. Методика расчета цен на работы и услуги, выполняемые (оказываемые) подведомственными Росархиву федеральными бюджетными учреждениями на платной основе
2.1. Затраты учреждения делятся на затраты, непосредственно связанные с выполнением (оказанием) платной работы или услуги и потребляемые в процессе ее предоставления, и затраты, необходимые для обеспечения деятельности учреждения в целом, но не потребляемые непосредственно в процессе оказания платной услуги.
2.2. Цены на платные работы и услуги учреждения формируются с учетом следующих факторов:
-
учета полного комплекса технологических процессов и операций, необходимых для осуществления единицы работы или оказываемой услуги;
-
использования научно-обоснованных норм времени или выработки на работы и услуги, полученные на основе данных хронометража;
-
размера дневного заработка (часовой тарифной ставки) работника, определяемого на основе среднего расчетного уровня оплаты труда и среднего сложившегося уровня материальных расходов на содержание административно-управленческого персонала.
Стоимость выполняемых (предоставляемых) работ и услуг (ее цена для потребителя) складывается из прямых и косвенных затрат на ее производство и планируемой прибыли. К прямым затратам относится заработная плата, выплачиваемая работникам за выполненную работу, расходы на приобретение необходимых расходных материалов; оплата арендуемого помещения и оборудования и др. Этот вид затрат подлежит прямому учету. К косвенным относятся затраты на коммунальные расходы, зарплату административно-хозяйственного персонала учреждения, амортизационные отчисления, транспортные и другие хозяйственные расходы, расходы на рекламу.
Цены на платные работы и услуги формируются из производственной себестоимости и рентабельности.
Состав расходов, включаемых в производственную себестоимость, определяется в соответствии с Налоговым кодексом Российской Федерации (глава 25 «Налог на прибыль организаций») и Экономической классификацией расходов бюджетов Российской Федерации (приказ Министерства финансов Российской Федерации от 30 декабря 2009 № 150н «Об утверждении Указаний о порядке применения бюджетной классификации Российской Федерации»).
2.3. Для расчета цены на оказание платной услуги может быть использован расчетно-аналитический метод или метод прямого счета.
2.4. Расчетно-аналитический метод применяется в случаях, когда в оказании платной услуги задействован в равной степени весь основной персонал учреждения и все материальные ресурсы. Данный метод позволяет рассчитать затраты на оказание платной услуги на основе анализа фактических затрат учреждения в предшествующие периоды. В основе расчета затрат на оказание платной услуги лежит расчет средней стоимости единицы времени (человеко-дня, человеко-часа) и оценка количества единиц времени (человеко-дней, человеко-часов), необходимых для оказания платной услуги.
где:
Зусл – затраты на оказание единицы платной услуги;
∑Зучр – сумма всех затрат учреждения за период времени;
Фр.вр – фонд рабочего времени основного персонала учреждения за тот же период времени;
Тусл. – норма рабочего времени, затрачиваемого основным персоналом на оказание платной услуги.
2.5. Метод прямого счета применяется в случаях, когда оказание платной услуги требует использования отдельных специалистов учреждения и специфических материальных ресурсов, включая материальные запасы и оборудование. В основе расчета затрат на оказание платной услуги лежит прямой учет всех элементов затрат.
Зусл = Зоп + Змз + Аусл + Зн,
где
Зусл – затраты на оказание платной услуги;
Зоп – затраты на основной персонал, непосредственно принимающий участие в оказании платной услуги;
Змз – затраты на приобретение материальных запасов, потребляемых в процессе оказания платной услуги;
Аусл – сумма начисленной амортизации оборудования, используемого при оказании платной услуги;
Зн – накладные затраты, относимые на стоимость платной услуги.
18. Затраты на основной персонал включают в себя:
-
затраты на оплату труда и начисления на выплаты по оплате труда основного персонала;
-
затраты на командировки основного персонала, связанные с предоставлением платной услуги;
-
суммы вознаграждения сотрудников, привлекаемых по гражданско-правовым договорам.
Затраты на оплату труда и начисления на выплаты по оплате труда рассчитываются как произведение стоимости единицы рабочего времени (например, человеко-дня, человеко-часа) на количество единиц времени, необходимое для оказания платной услуги. Данный расчет проводится по каждому сотруднику, участвующему в оказании соответствующей платной услуги, и определяется по формуле:
Зоп = ∑ ОТч × Тусл,
где
Зоп – затраты на оплату труда и начисления на выплаты по оплате труда основного персонала;
Тусл – норма рабочего времени, затрачиваемого основным персоналом;
ОТч – повременная (часовая, дневная, месячная) ставка по штатному расписанию и по гражданско-правовым договорам сотрудников из числа основного персонала (включая начисления на выплаты по оплате труда).
Расчет затрат на оплату труда персонала, непосредственно участвующего в процессе оказания платной услуги, приводится в форме согласно Таблице 1:
Таблица 1
Расчет затрат на оплату труда персонала
_________________________________________________
(наименование платной услуги)
|
Должность |
Средний должностной оклад в месяц, включая начисления на выплаты по оплате труда (руб.) |
Месячный фонд рабочего времени (мин.) |
Норма времени на оказание платной услуги (мин.) |
Затраты на оплату труда персонала (руб.) (5) = (2)/(3) × (4) |
|
1 |
2 |
3 |
4 |
5 |
|
1. |
||||
|
2. |
||||
|
… |
||||
|
Итого |
х |
х |
х |
2.6. Затраты на приобретение материальных запасов и услуг, полностью потребляемых в процессе оказания платной услуги, включают в себя (в зависимости от отраслевой специфики):
-
затраты на мягкий инвентарь;
-
затраты на приобретение расходных материалов для оргтехники;
-
затраты на другие материальные запасы.
Затраты на приобретение материальных запасов рассчитываются как произведение средних цен на материальные запасы на объем их потребления в процессе оказания платной услуги. Затраты на приобретение материальных запасов определяется по формуле:
где
Змз – затраты на материальные запасы, потребляемые в процессе оказания платной услуги;

Ц j – цена приобретаемых материальных запасов.
Расчет затрат на материальные запасы, непосредственно потребляемые в процессе оказания платной услуги, приводится в форме согласно Таблице 2:
Таблица 2
Расчет затрат на материальные запасы
_________________________________________________
(наименование платной услуги)
|
Наименование материальных запасов |
Единица измерения |
Расход |
Цена за единицу |
Всего затрат материальных запасов (5) = (3) × (4) |
|
1 |
2 |
3 |
4 |
5 |
|
1. |
||||
|
2. |
||||
|
… |
||||
|
Итого |
х |
х |
х |
2.7. Сумма начисленной амортизации оборудования, используемого при оказании платной услуги, определяется исходя из балансовой стоимости оборудования, годовой нормы его износа и времени работы оборудования в процессе оказания платной услуги.
Расчет суммы начисленной амортизации оборудования, используемого при оказании платной услуги приводится в форме согласно Таблице 3:
Таблица 3
Расчет суммы начисленной амортизации оборудования
_________________________________________________
(наименование платной услуги)
|
Наименование оборудования |
Балансовая стоимость |
Годовая норма износа (%) |
Годовая норма времени работы оборудования (час.) |
Время работы оборудования в процессе оказания платной услуги (час.) |
Сумма начисленной амортизации (6) = (2) × (3) × (4)/(5) |
|
1 |
2 |
3 |
4 |
5 |
6 |
|
1. |
|||||
|
2. |
|||||
|
… |
|||||
|
Итого |
х |
х |
х |
х |
2.8. Объем накладных затрат относится на стоимость платной услуги пропорционально затратам на оплату труда и начислениям на выплаты по оплате труда основного персонала, непосредственно участвующего в процессе оказания платной услуги:
Зн = kн × Зоп,
где
kн – коэффициент накладных затрат, отражающий нагрузку на единицу оплаты труда основного персонала учреждения. Данный коэффициент рассчитывается на основании отчетных данных за предшествующий период и прогнозируемых изменений в плановом периоде:
где
Зауп – фактические затраты на административно-управленческий персонал за предшествующий период, скорректированные на прогнозируемое изменение численности административно-управленческого персонала и прогнозируемый рост заработной платы;
Зохн – фактическиезатраты общехозяйственного назначения за предшествующий период, скорректированные на прогнозируемый инфляционный рост цен, и прогнозируемые затраты на уплату налогов (кроме налогов на фонд оплаты труда), пошлины и иные обязательные платежи с учетом изменения налогового законодательства;
Аохн – прогноз суммы начисленной амортизации имущества общехозяйственного назначения в плановом периоде;
Зоп – фактические затраты на весь основной персонал учреждения за предшествующий период, скорректированные на прогнозируемое изменение численности основного персонала и прогнозируемый рост заработной платы.
Затраты на административно-управленческий персонал включают в себя:
-
затраты на оплату труда и начисления на выплаты по оплате труда административно-управленческого персонала;
-
нормативные затраты на командировки административно-управленческого персонала;
-
затраты на повышение квалификации основного и административно-управленческого персонала.
Затраты общехозяйственного назначения включают в себя затраты на:
-
материальные и информационные ресурсы, услуги в области информационных технологий (в том числе приобретение неисключительных (пользовательских) прав на программное обеспечение;
-
коммунальные услуги, услуги связи, транспорта, услуги банков, прачечных, прочие услуги, потребляемые учреждением при оказании платной услуги;
-
содержание недвижимого и особо ценного движимого имущества, в том числе затраты на охрану (обслуживание систем видеонаблюдения, тревожных кнопок, контроля доступа в здание и т.п.), противопожарную безопасность (обслуживание оборудования, систем охранно-пожарной сигнализации т.п.), текущий ремонт по видам основных фондов, содержание прилегающей территории, арендную плату за пользование имуществом (в случае если аренда необходима для оказания платной услуги), уборку помещений, содержание транспорта, приобретение топлива для котельных, санитарную обработку помещений.
Сумма начисленной амортизации имущества общехозяйственного назначения определяется исходя из балансовой стоимости оборудования и годовой нормы его износа.
Расчет накладных затрат приводится по форме согласно Таблице 4:
Таблица 4
Расчет накладных затрат
_________________________________________________
(наименование платной услуги)
|
1 |
Прогноз затрат на административно-управленческий персонал |
|
|
2 |
Прогноз затрат общехозяйственного назначения |
|
|
3 |
Прогноз суммы начисленной амортизации имущества общехозяйственного назначения |
|
|
4 |
Прогноз суммарного фонда оплаты труда основного персонала |
|
|
5 |
Коэффициент накладных затрат |
(5) = {(1) + (2) + (3)}/(4) |
|
6 |
Затраты на основной персонал, участвующий в предоставлении платной услуги |
|
|
7 |
Итого накладные затраты |
(7) = (5) × (6) |
2.9. Расчет цены приводится по форме согласно Таблице 5:
Таблица 5
Расчет цены на оказание платной услуги
_________________________________________________
(наименование платной услуги)
|
Наименование статей затрат |
Сумма (руб.) |
|
|
1. |
Затраты на оплату труда основного персонала |
|
|
2. |
Затраты материальных запасов |
|
|
3. |
Сумма начисленной амортизации оборудования, используемого при оказании платной услуги |
|
|
4. |
Накладные затраты, относимые на платную услугу |
|
|
5. |
Итого затрат |
|
|
6. |
Цена на платную услугу |
2.10. При формировании цены работы или услуги может быть установлен повышающий или понижающий коэффициент, учитывающий объективные различия (физическое состояние, формат и тип носителя архивного документа, его ценность, техническая оснащенность архива, срочность и формы представления результата, количество потребителей платной услуги и т.п.) в размерах нормативов затрат на оказание одной и той же платной услуги. При использовании корректирующих коэффициентов цена единицы платной услуги для конкретного потребителя определяется путем умножения среднего значения на корректирующий коэффициент. При этом цена, умноженная на соответствующий корректирующий коэффициент, не должна превышать предельную цену, установленную для данной платной услуги.
Зарегистрировано в Минюсте России 7 апреля 2022 г. N 68109
МИНИСТЕРСТВО ТРУДА И СОЦИАЛЬНОЙ ЗАЩИТЫ РОССИЙСКОЙ ФЕДЕРАЦИИ
ПРИКАЗ
от 12 ноября 2021 г. N 794н
ОБ УТВЕРЖДЕНИИ ОБЩИХ ТРЕБОВАНИЙ К ОПРЕДЕЛЕНИЮ НОРМАТИВНЫХ ЗАТРАТ НА ОКАЗАНИЕ ГОСУДАРСТВЕННЫХ (МУНИЦИПАЛЬНЫХ) УСЛУГ В СФЕРЕ СОЦИАЛЬНОГО ОБСЛУЖИВАНИЯ НАСЕЛЕНИЯ, ПРИМЕНЯЕМЫХ ПРИ РАСЧЕТЕ ОБЪЕМА СУБСИДИИ НА ФИНАНСОВОЕ ОБЕСПЕЧЕНИЕ ВЫПОЛНЕНИЯ ГОСУДАРСТВЕННОГО (МУНИЦИПАЛЬНОГО) ЗАДАНИЯ НА ОКАЗАНИЕ ГОСУДАРСТВЕННЫХ (МУНИЦИПАЛЬНЫХ) УСЛУГ (ВЫПОЛНЕНИЕ РАБОТ) ГОСУДАРСТВЕННЫМ (МУНИЦИПАЛЬНЫМ) УЧРЕЖДЕНИЕМ
В соответствии с абзацем вторым пункта 4 статьи 69.2 Бюджетного кодекса Российской Федерации (Собрание законодательства Российской Федерации, 1998, N 31, ст. 3823; 2013, N 31, ст. 4191) приказываю:
1. Утвердить по согласованию с Министерством финансов Российской Федерации общие требования к определению нормативных затрат на оказание государственных (муниципальных) услуг в сфере социального обслуживания населения, применяемых при расчете объема субсидии на финансовое обеспечение выполнения государственного (муниципального) задания на оказание государственных (муниципальных) услуг (выполнение работ) государственным (муниципальным) учреждением (далее соответственно — государственное (муниципальное) задание, нормативные затраты, Общие требования), согласно приложению к настоящему приказу.
2. Установить, что нормативные затраты, определяемые с соблюдением Общих требований, применяются при расчете объема субсидии на финансовое обеспечение:
выполнения государственного (муниципального) задания, начиная с формирования государственных (муниципальных) заданий на 2022 год (на 2022 год и на плановый период 2023 и 2024 годов);
соглашений, предусмотренных пунктом 1 части 6 статьи 9 Федерального закона от 13 июля 2020 г. N 189-ФЗ «О государственном (муниципальном) социальном заказе на оказание государственных (муниципальных) услуг в социальной сфере» (Собрание законодательства Российской Федерации, 2020, N 29, ст. 4499) (далее — Федеральный закон N 189-ФЗ) в случае принятия органом государственной власти субъекта Российской Федерации решения об организации оказания государственных (муниципальных) услуг в социальной сфере в соответствии с частью 3 статьи 28 Федерального закона N 189-ФЗ.
Абзац третий пункта 2 действует до 01.01.2025 (пункт 4).
3. Признать утратившими силу:
приказ Министерства труда и социальной защиты Российской Федерации от 13 июля 2015 г. N 445н «Об утверждении общих требований к определению нормативных затрат на оказание государственных (муниципальных) услуг в сфере социальной защиты населения, применяемых при расчете объема субсидии на финансовое обеспечение выполнения государственного (муниципального) задания на оказание государственных (муниципальных) услуг (выполнение работ) государственным (муниципальным) учреждением» (зарегистрирован Министерством юстиции Российской Федерации 5 августа 2015 г., регистрационный N 38354);
пункт 1 приложения к приказу Министерства труда и социальной защиты Российской Федерации от 1 декабря 2020 г. N 846н «О внесении изменений в некоторые нормативные правовые акты Министерства труда и социальной защиты Российской Федерации в части формирования и исполнения государственного (муниципального) социального заказа на оказание государственных (муниципальных) услуг в сфере социального обслуживания» (зарегистрирован Министерством юстиции Российской Федерации 3 февраля 2021 г., регистрационный N 62363).
4. Установить, что абзац третий пункта 2 настоящего приказа и пункт 4 Общих требований действуют до 1 января 2025 года.
5. Контроль за исполнением настоящего приказа возложить на заместителя Министра труда ‘и социальной защиты Российской Федерации А.В. Вовченко.
Министр
А.О. КОТЯКОВ
Приложение
к приказу Министерства труда
и социальной защиты
Российской Федерации
от 12 ноября 2021 г. N 794н
ОБЩИЕ ТРЕБОВАНИЯ К ОПРЕДЕЛЕНИЮ НОРМАТИВНЫХ ЗАТРАТ НА ОКАЗАНИЕ ГОСУДАРСТВЕННЫХ (МУНИЦИПАЛЬНЫХ) УСЛУГ В СФЕРЕ СОЦИАЛЬНОГО ОБСЛУЖИВАНИЯ НАСЕЛЕНИЯ, ПРИМЕНЯЕМЫХ ПРИ РАСЧЕТЕ ОБЪЕМА СУБСИДИИ НА ФИНАНСОВОЕ ОБЕСПЕЧЕНИЕ ВЫПОЛНЕНИЯ ГОСУДАРСТВЕННОГО (МУНИЦИПАЛЬНОГО) ЗАДАНИЯ НА ОКАЗАНИЕ ГОСУДАРСТВЕННЫХ (МУНИЦИПАЛЬНЫХ) УСЛУГ (ВЫПОЛНЕНИЕ РАБОТ) ГОСУДАРСТВЕННЫМ (МУНИЦИПАЛЬНЫМ) УЧРЕЖДЕНИЕМ
I. Общие положения
1. Нормативные затраты на оказание государственных (муниципальных) услуг в сфере социального обслуживания населения, применяемые при расчете объема субсидии на финансовое обеспечение выполнения государственного (муниципального) задания на оказание государственных (муниципальных) услуг (выполнение работ) государственным (муниципальным) учреждением (далее соответственно — нормативные затраты, государственное (муниципальное) задание), определяются:
исходя из информации о единице показателя, характеризующего объем государственных (муниципальных) услуг в сфере социального обслуживания населения, и показателей, характеризующих содержание и (или) условия (формы) оказания государственных (муниципальных) услуг в сфере социального обслуживания населения (далее — показатели отраслевой специфики), содержащейся в общероссийском базовом (отраслевом) перечне (классификаторе) государственных и муниципальных услуг, оказываемых физическим лицам, и федеральном перечне (классификаторе) государственных услуг, не включенных в общероссийский базовый (отраслевой) перечень (классификатор) государственных и муниципальных услуг, оказываемых физическим лицам, и работ, оказание и выполнение которых предусмотрено нормативными правовыми актами Российской Федерации, формируемых Министерством труда и социальной защиты Российской Федерации по виду деятельности «Социальное обслуживание население» в соответствии с пунктом 3 Правил формирования, ведения и утверждения общероссийских базовых (отраслевых) перечней (классификаторов) государственных и муниципальных услуг, оказываемых физическим лицам, и пунктом 3 Правил формирования, ведения и утверждения федеральных перечней (классификаторов) государственных услуг, не включенных в общероссийские базовые (отраслевые) перечни (классификаторы) государственных и муниципальных услуг, оказываемых физическим лицам, и работ, оказание и выполнение которых предусмотрено нормативными правовыми актами Российской Федерации, утвержденных постановлением Правительства Российской Федерации от 30 августа 2017 г. N 1043 (Собрание законодательства Российской Федерации, 2017, N 36, ст. 5459), а также в региональном перечне (классификаторе) государственных (муниципальных) услуг, не включенных в общероссийский базовый (отраслевой) перечень (классификатор) государственных и муниципальных услуг, и работ, оказание и выполнение которых предусмотрено нормативными правовыми актами субъекта Российской Федерации (муниципальными правовыми актами), в том числе при осуществлении переданных ему полномочий Российской Федерации и полномочий по предметам совместного ведения Российской Федерации и субъектов Российской Федерации (далее соответственно — общероссийский перечень, федеральный перечень, региональный перечень, а при совместном упоминании — Перечни);
на основе базового норматива затрат на оказание государственной (муниципальной) услуги в сфере социального обслуживания населения (далее — базовый норматив затрат) и корректирующих коэффициентов к базовому нормативу затрат, определяемых в соответствии с порядками, устанавливаемыми Правительством Российской Федерации, высшими исполнительными органами государственной власти субъектов Российской Федерации, органами местного самоуправления на основании пункта 4 статьи 69.2 Бюджетного кодекса Российской Федерации (Собрание законодательства Российской Федерации, 1998, N 31, ст. 3823; 2013, N 31, ст. 4191), с соблюдением настоящих Общих требований (далее соответственно — порядки, установленные на основании пункта 4 статьи 69.2 Бюджетного кодекса Российской Федерации, Общие требования).
2. Нормативные затраты на оказание государственных (муниципальных) услуг, предусмотренных примерным перечнем социальных услуг по видам социальных услуг, утвержденным постановлением Правительства Российской Федерации от 24 ноября 2014 г. N 1236 (Собрание законодательства Российской Федерации, 2014, N 48, ст. 6872; 2020, N 51, ст. 8469) (далее — примерный перечень социальных услуг по видам социальных услуг), и содержащимся в Перечнях, рассчитываются с учетом методических рекомендаций по расчету подушевых нормативов финансирования социальных услуг, утвержденных постановлением Правительства Российской Федерации от 1 декабря 2014 г. N 1285 «О расчете подушевых нормативов финансирования социальных услуг» (Собрание законодательства Российской Федерации, 2014, N 50, ст. 7077; 2020, N 50, ст. 8246) (далее — методические рекомендации).
3. Нормативные затраты на оказание государственных (муниципальных) услуг, содержащиеся в Перечнях, возможность получения которых предусмотрена социальным сертификатом на получение государственной (муниципальной) услуги в социальной сфере (государственных (муниципальных) услуг в социальной сфере) в соответствии с Федеральным законом от 13 июля 2020 г. N 189-ФЗ «О государственном (муниципальном) социальном заказе на оказание государственных (муниципальных) услуг в социальной сфере» (Собрание законодательства Российской Федерации, 2020, N 29, ст. 4499), рассчитываются с учетом методических рекомендаций.
В случае если социальным сертификатом на получение государственной (муниципальной) услуги в социальной сфере (государственных (муниципальных) услуг в социальной сфере) предусмотрена возможность получения социальных услуг, входящих в состав государственной (муниципальной) услуги в социальной сфере, объем финансового обеспечения расходов на предоставление таких социальных услуг определяется с учетом методических рекомендаций и суммарно по всем социальным услугам не может превышать нормативные затраты на оказание государственной (муниципальной) услуги в социальной сфере, в состав которой входят социальные услуги.
4. Нормативные затраты федеральных государственных учреждений рассчитываются федеральными органами государственной власти в соответствии с положениями раздела II Общих требований.
Высший исполнительный орган государственной власти субъекта Российской Федерации (орган местного самоуправления) вправе применять порядок расчета нормативных затрат на оказание государственных услуг в сфере социального обслуживания населения, установленный для федеральных государственных учреждений, в соответствии с положениями раздела II Общих требований, либо установить иной порядок расчета нормативных затрат на оказание государственных (муниципальных) услуг в сфере социального обслуживания населения на основании пункта 4 статьи 69.2 Бюджетного кодекса Российской Федерации с соблюдением положений, определенных разделом I Общих требований, за исключением услуг, входящих в примерный перечень социальных услуг по видам социальных услуг.
5. Нормативные затраты, рассчитанные с соблюдением Общих требований, не могут приводить к превышению объема бюджетных ассигнований, предусмотренных законом (решением) о бюджете на очередной финансовый год (очередной финансовый год и плановый период) на финансовое обеспечение выполнения государственного (муниципального) задания.
6. Нормативные затраты на оказание государственных (муниципальных) услуг в сфере социального обслуживания населения рассчитываются на единицу показателя объема оказания государственной (муниципальной) услуги, установленного в Перечнях.
7. Базовый норматив затрат состоит из базового норматива затрат, непосредственно связанных с оказанием государственной (муниципальной) услуги в сфере социального обслуживания населения, и базового норматива затрат на общехозяйственные нужды на оказание государственной (муниципальной) услуги в сфере социального обслуживания населения.
8. В базовый норматив затрат, непосредственно связанных с оказанием государственной (муниципальной) услуги в сфере социального обслуживания населения, включаются:
а) затраты на оплату труда с начислениями на выплаты по оплате труда работников, непосредственно связанных с оказанием государственной (муниципальной) услуги в сфере социального обслуживания населения, включая страховые взносы в Пенсионный фонд Российской Федерации, Фонд социального страхования Российской Федерации и Федеральный фонд обязательного медицинского страхования, страховые взносы на обязательное социальное страхование от несчастных случаев на производстве и профессиональных заболеваний, в соответствии с трудовым законодательством и иными нормативными правовыми актами, содержащими нормы трудового права (далее — начисления на выплаты по оплате труда);
б) затраты на приобретение материальных запасов и на приобретение движимого имущества (основных средств и нематериальных активов), используемого в процессе оказания государственной (муниципальной) услуги в сфере социального обслуживания населения, с учетом срока его полезного использования, а также затраты на аренду указанного имущества, за исключением затрат, предусмотренных подпунктом «в» настоящего пункта;
в) затраты на формирование резерва на полное восстановление состава объектов особо ценного движимого имущества, используемого в процессе оказания государственной (муниципальной) услуги в сфере социального обслуживания населения (основных средств и нематериальных активов, амортизируемых в процессе оказания услуги), с учетом срока их полезного использования в целях создания источника финансового обеспечения их приобретения, создания, модернизации и (или) дооборудования;
г) иные затраты, непосредственно связанные с оказанием государственной (муниципальной) услуги в сфере социального обслуживания населения, в том числе затраты на оплату коммунальных услуг, содержание объектов недвижимого имущества и (или) особо ценного движимого имущества (аренду указанного имущества) в части имущества, используемого в процессе оказания государственной (муниципальной) услуги.
9. В базовый норматив затрат на общехозяйственные нужды на оказание государственной (муниципальной) услуги в сфере социального обслуживания населения включаются:
а) затраты на коммунальные услуги, за исключением затрат, указанных в подпункте «г» пункта 8 Общих требований;
б) затраты на содержание объектов недвижимого имущества, а также затраты на аренду указанного имущества, за исключением затрат, указанных в подпункте «г» пункта 8 Общих требований;
в) затраты на содержание объектов особо ценного движимого имущества, а также затраты на аренду указанного имущества, за исключением затрат, указанных в подпункте «г» пункта 8 Общих требований;
г) затраты на формирование резерва на полное восстановление состава объектов особо ценного движимого имущества, необходимого для общехозяйственных нужд (основных средств и нематериальных активов), с учетом срока их полезного использования;
д) затраты на приобретение услуг связи;
е) затраты на приобретение транспортных услуг;
ж) затраты на оплату труда с начислениями на выплаты по оплате труда работников, которые не принимают непосредственного участия в оказании государственной (муниципальной) услуги в сфере социального обслуживания населения;
з) затраты на прочие общехозяйственные нужды.
10. Корректирующие коэффициенты к базовому нормативу затрат, применяемые при расчете нормативных затрат, состоят из:
территориального корректирующего коэффициента, включающего территориальный корректирующий коэффициент на оплату труда с начислениями на выплаты по оплате труда и территориальный корректирующий коэффициент на коммунальные услуги и содержание недвижимого имущества;
отраслевых корректирующих коэффициентов к базовому нормативу затрат, отражающих отраслевую специфику государственной (муниципальной) услуги в сфере социального обслуживания населения.
11. При определении базового норматива затрат в части затрат, указанных в пункте 8 Общих требований, применяются нормы материальных, технических и трудовых ресурсов, используемых для оказания государственной услуги в сфере социального обслуживания населения (далее — нормы, выраженные в натуральных показателях), установленные нормативными правовыми актами Российской Федерации, межгосударственными, национальными (государственными) стандартами Российской Федерации, строительными нормами и правилами, санитарными нормами и правилами, стандартами, порядками, регламентами и паспортами оказания государственных услуг в сфере социального обслуживания населения (далее — стандарты услуги).
Затраты, указанные в пункте 9 Общих требований, устанавливаются федеральными органами государственной власти, органами государственной власти субъектов Российской Федерации (органами местного самоуправления) по видам указанных затрат исходя из нормативов их потребления, определяемых на основании стандартов услуги, или на основе усреднения показателей деятельности соответственно федерального государственного учреждения, государственного учреждения субъекта Российской Федерации (муниципального учреждения), которое имеет минимальный объем указанных затрат на оказание единицы государственной (муниципальной) услуги в сфере социального обслуживания населения при выполнении требований, предъявляемых к качеству оказания государственной (муниципальной) услуги в сфере социального обслуживания населения (далее — метод наиболее эффективного учреждения), или на основе медианного значения по федеральным государственным учреждениям, государственным учреждениям субъекта Российской Федерации (муниципальным учреждениям) соответственно, оказывающим государственную услугу в сфере социального обслуживания населения (далее — медианный метод) <1>.
<1> Для каждой государственной (муниципальной) услуги выбирается один из методов.
Высший исполнительный орган государственной власти субъекта Российской Федерации (орган местного самоуправления) при расчете затрат, указанных в пункте 9 Общих требований, при отсутствии норм, выраженных в натуральных показателях, установленных стандартом услуги, вправе установить правила определения норм, выраженных в натуральных показателях, отличные от методов, указанных в абзаце втором настоящего пункта, в соответствии с порядком, принятым высшим исполнительным органом государственной власти субъекта Российской Федерации (органом местного самоуправления) на основании пункта 4 статьи 69.2 Бюджетного кодекса Российской Федерации (далее — иной метод).
Значения норм, выраженных в натуральных показателях, установленных стандартом услуги, либо методом наиболее эффективного учреждения, либо медианным методом, либо иным методом (далее — натуральная норма), необходимых для определения базового норматива затрат на оказание государственной (муниципальной) услуги в сфере социального обслуживания населения, определяются по каждой государственной (муниципальной) услуге в сфере социального обслуживания населения с указанием ее наименования и уникального номера реестровой записи из Перечней.
12. Значения базового норматива затрат и корректирующих коэффициентов к базовому нормативу затрат утверждаются в соответствии с порядками, установленными на основании пункта 4 статьи 69.2 Бюджетного кодекса Российской Федерации, с учетом Общих требований.
13. Значение базового норматива затрат с указанием наименования государственной (муниципальной) услуги в сфере социального обслуживания населения и уникального номера реестровой записи из Перечней утверждается общей суммой, с выделением:
суммы затрат на оплату труда с начислениями на выплаты по оплате труда работников, непосредственно связанных с оказанием государственной (муниципальной) услуги в сфере социального обслуживания населения, включая административно-управленческий персонал, в случаях, установленных стандартами услуги;
суммы затрат на коммунальные услуги и содержание объектов недвижимого имущества, необходимого для выполнения государственного задания, а также затраты на аренду указанного имущества.
При утверждении значения базового норматива затрат федеральных государственных учреждений дополнительно указываются сведения о значениях натуральных норм, необходимых для определения базового норматива затрат, по форме согласно приложению к Общим требованиям.
При утверждении значения базового норматива затрат государственных учреждений субъекта Российской Федерации (муниципальных учреждений) указываются значения натуральных норм, необходимых для определения базового норматива затрат, включающие наименование натуральной нормы, ее значение и источник указанного значения, <2> в соответствии с порядком, установленным высшим исполнительным органом государственной власти субъекта Российской Федерации (органом местного самоуправления) на основании пункта 4 статьи 69.2 Бюджетного кодекса Российской Федерации, с учетом Общих требований.
<2> Нормативный правовой (муниципальный правовой) акт (вид, дата, номер) или иной документ, утверждающий стандарт услуги в сфере социальной защиты населения, а при его отсутствии слова — «Метод наиболее эффективного учреждения» либо «Медианный метод», либо «Иной метод» в зависимости от применяемого метода определения затрат, указанных в пункте 9 Общих требований, в соответствии с пунктом 11 Общих требований.
14. Значения отраслевых корректирующих коэффициентов утверждаются по каждой государственной (муниципальной) услуге в сфере социального обслуживания населения с указанием ее наименования и уникального номера реестровой записи из Перечней, а также наименованиями показателей отраслевой специфики.
II. Порядок расчета нормативных затрат на оказание государственных услуг в сфере социального обслуживания населения, применяемых при расчете объема финансового обеспечения выполнения государственного задания для федеральных государственных учреждений
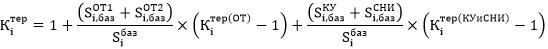
15. Нормативные затраты на оказание i-ой государственной услуги в сфере социального обслуживания населения () (далее — i-ая государственная услуга) рассчитываются по формуле:
,
где:
— значение базового норматива затрат на оказание i-той государственной услуги;
— значение территориального корректирующего коэффициента на оказание i-той государственной услуги;
— произведение значений
отраслевых корректирующих коэффициентов на оказание i-той государственной услуги.
Значение базового норматива затрат на оказание i-той государственной услуги рассчитывается по формуле:
| , |
где:
— размер j-той составляющей базового норматива затрат на оказание i-той государственной услуги.
16. Базовые нормативы затрат включают в себя следующие составляющие:
16.1. В части затрат, непосредственно связанных с оказанием i-ой государственной услуги:
а) — затраты на оплату труда с начислениями на выплаты по оплате труда работников, непосредственно связанных с оказанием i-ой государственной услуги, которые рассчитываются по формуле:
| , |
где:
— значение натуральной нормы рабочего времени, затрачиваемого d-ым работником, непосредственно связанным с оказанием i-ой государственной услуги, на оказание i-ой государственной услуги;
— размер повременной (часовой, дневной, месячной, годовой) оплаты труда (с учетом окладов (должностных окладов), ставок заработной платы, выплат компенсационного и стимулирующего характера) с начислениями на выплаты по оплате труда d-ого работника, непосредственно связанного с оказанием i-ой государственной услуги.
Размер повременной (часовой, дневной, месячной, годовой) оплаты труда с начислениями на выплаты по оплате труда d-oгo работника, непосредственно связанного с оказанием i-ой государственной услуги, определяется исходя из годового фонда оплаты труда и годового фонда рабочего времени указанного работника с учетом применяемого при обосновании бюджетных ассигнований на очередной финансовый год и плановый период прогнозного индекса потребительских цен на конец соответствующего финансового года, определяемого в соответствии с прогнозом социально-экономического развития, разрабатываемым согласно статье 173 Бюджетного кодекса Российской Федерации (Собрание законодательства Российской Федерации, 1998, N 31, ст. 3823; 2020, N 40, ст. 6168) (далее — Прогноз социально-экономического развития).
Годовой фонд оплаты труда и годовой фонд рабочего времени d-ого работника, непосредственно связанного с оказанием i-ой государственной услуги, определяются в соответствии со значениями натуральных норм, применяемых согласно положениям пункта 11 Общих требований.
б) — затраты на приобретение материальных запасов и на приобретение движимого имущества (основных средств и нематериальных активов), используемого в процессе оказания i-той государственной услуги, с учетом срока его полезного использования, а также затраты на аренду указанного имущества, за исключением затрат, предусмотренных подпунктом «в» настоящего пункта, которые рассчитываются по формуле:
,
где:
— значение натуральной нормы k-ого материального запаса и движимого имущества (основных средств и нематериальных активов), используемого в процессе оказания i-той государственной услуги, за исключением имущества предусмотренного подпунктом «в» настоящего пункта, в расчете на единицу оказания i-той государственной услуги;
— стоимость приобретения (аренды) k-ого вида материального запаса и движимого имущества (основных средств и нематериальных активов), используемого в процессе оказания i-той государственной услуги, за исключением имущества предусмотренного подпунктом «в» настоящего пункта, в расчете на единицу оказания i-той государственной услуги в соответствующем финансовом году;
— срок полезного использования k-ого объекта особо ценного движимого имущества, используемого в процессе оказания i-той государственной услуги, установленный с учетом Классификации основных средств, включаемых в амортизационные группы, утвержденной постановлением Правительства Российской Федерации от 1 января 2002 г. N 1 (Собрание законодательства Российской Федерации, 2002, N 1, ст. 52; 2020, N 1, ст. 104) (далее — Классификация основных средств) (по отношению к натуральной норме материального запаса, используемого в деятельности учреждения в течение периода, не превышающего 12 месяцев, независимо от их стоимости,
применяется равным 1).
в) — затраты на формирование резерва на полное восстановление состава объектов особо ценного движимого имущества (основных средств и нематериальных активов, амортизируемых в процессе оказания услуги), используемого в процессе оказания i-той государственной услуги, с учетом срока их полезного использования в целях создания источника финансового обеспечения их приобретения, создания, модернизации и (или) дооборудования, которые рассчитываются по формуле:
| , |
где:
— количество l-ого объекта особо ценного движимого имущества (основных средств и нематериальных активов, амортизируемых в процессе оказания услуги), используемого в процессе оказания i-той государственной услуги, в расчете на единицу оказания i-той государственной услуги;
— стоимость единицы l-ого объекта особо ценного движимого имущества, используемого в процессе оказания i-той государственной услуги в соответствующем финансовом году;
— срок полезного использования l-ого объекта особо ценного движимого имущества, используемого в процессе оказания i-той государственной услуги, установленный с учетом Классификации основных средств.
г) — иные затраты, непосредственно связанные с оказанием i-той государственной услуги, в том числе затраты на оплату коммунальных услуг, содержание объектов недвижимого имущества и (или) особо ценного движимого имущества (аренду указанного имущества) в части имущества, используемого в процессе оказания i-той государственной услуги, которые рассчитываются по формуле:
| , |
где:
— значение натуральной нормы m-ого вида, непосредственно используемой в процессе оказания i-ой государственной услуги и не учтенной в затратах на оплату труда с начислениями на выплаты по оплате труда работников, непосредственно связанных с оказанием i-ой государственной услуги, затратах на приобретение материальных запасов и на приобретение движимого имущества (основных средств и нематериальных активов), используемого в процессе оказания i-той государственной услуги, с учетом срока его полезного использования, затратах на аренду указанного имущества, а также затратах на формирование резерва на полное восстановление состава объектов особо ценного движимого имущества, используемого в процессе оказания i-той государственной услуги (основных средств и нематериальных активов, амортизируемых в процессе оказания услуги), с учетом срока их полезного использования в целях создания источника финансового обеспечения их приобретения, создания, модернизации и (или) дооборудования, (далее — иная натуральная норма, непосредственно используемая в процессе оказания i-ой государственной услуги);
— стоимость m-ой иной натуральной нормы, непосредственно используемой в процессе оказания i-ой государственной услуги в соответствующем финансовом году.
16.2. В части затрат на общехозяйственные нужды:
а) — затраты на коммунальные услуги для i-ой государственной услуги, за исключением затрат, указанных в подпункте «г» пункта 16.1 Общих требований, которые рассчитываются по формуле:
| , |
где:
— значение натуральной нормы потребления (расхода) w-ой коммунальной услуги, за исключением затрат, указанных в подпункте «г» пункта 16.1 Общих требований, учитываемое при расчете базового норматива затрат на общехозяйственные нужды на оказание i-ой государственной услуги (далее — натуральная норма потребления (расхода) коммунальной услуги);
— стоимость (цена, тариф) w-ой коммунальной услуги, учитываемой при расчете базового норматива затрат на общехозяйственные нужды на оказание i-ой государственной услуги в соответствующем финансовом году.
В составе затрат на коммунальные услуги для i-ой государственной услуги учитываются следующие натуральные нормы потребления (расхода) коммунальных услуг, определенные согласно пункту 11 Общих требований, в том числе:
газа и иного вида топлива;
электроэнергии;
теплоэнергии на отопление зданий, помещений и сооружений;
горячей воды;
холодного водоснабжения;
водоотведения;
других видов коммунальных услуг.
В случае заключения энергосервисного договора (контракта) дополнительно к указанным затратам включаются нормативные затраты на оплату исполнения энергосервисного договора (контракта), на величину которых снижаются нормативные затраты по видам энергетических ресурсов.
Нормативные затраты на оплату исполнения энергосервисного договора (контракта) рассчитываются как процент от достигнутого размера экономии соответствующих расходов учреждения, определенный условиями энергосервисного договора (контракта).
б) — затраты на содержание объектов недвижимого имущества, необходимого для оказания i-ой государственной услуги, а также затраты на аренду указанного имущества, за исключением затрат, указанных в подпункте «г» пункта 16.1 Общих требований, которые рассчитываются по формуле:
| , |
где:
— значение натуральной нормы потребления v-ого вида услуг (работ) по содержанию объектов недвижимого имущества, учитываемое при расчете базового норматива затрат на общехозяйственные нужды на оказание i-ой государственной услуги, за исключением затрат, указанных в подпункте «г» пункта 16.1 Общих требований (далее — натуральная норма потребления вида услуг (работ) по содержанию объектов недвижимого имущества);
— стоимость (цена, тариф) v-ого вида услуг (работ) по содержанию объектов недвижимого имущества, учитываемого при расчете базового норматива затрат на общехозяйственные нужды на оказание i-ой государственной услуги в соответствующем финансовом году.
В составе затрат на содержание объектов недвижимого имущества, необходимого для оказания i-ой государственной услуги, а также затрат на аренду указанного имущества учитываются следующие натуральные нормы потребления вида услуг (работ) по содержанию объектов недвижимого имущества в соответствии со значениями натуральных норм, определенных согласно пункту 11 Общих требований, в том числе:
на техническое обслуживание и регламентно-профилактический ремонт систем охранно-тревожной сигнализации;
на проведение текущего ремонта;
на содержание прилегающей территории;
на обслуживание и уборку помещения;
на вывоз твердых бытовых отходов;
на техническое обслуживание и регламентно-профилактический ремонт лифтов;
на техническое обслуживание и регламентно-профилактический ремонт водонапорной насосной станции хозяйственно-питьевого и противопожарного водоснабжения;
на техническое обслуживание и регламентно-профилактический ремонт водонапорной насосной станции пожаротушения;
на техническое обслуживание и регламентно-профилактический ремонт отопительной системы, в том числе на подготовку отопительной системы к зимнему сезону, индивидуального теплового пункта;
на техническое обслуживание и регламентно-профилактический ремонт электрооборудования (электроподстанций, трансформаторных подстанций, электрощитовых) административного здания (помещения);
на другие виды услуг (работ) по содержанию объектов недвижимого имущества.
в) — затраты на содержание объектов особо ценного движимого имущества, а также затраты на аренду указанного имущества для i-ой государственной услуги, за исключением затрат, указанных в подпункте «г» пункта 16.1 Общих требований, которые рассчитываются по формуле:
| , |
где:
— значение натуральной нормы потребления u-ого вида услуг (работ) по содержанию объектов особо ценного движимого имущества, учитываемое при расчете базового норматива затрат на общехозяйственные нужды на оказание i-ой государственной услуги, а также затраты на аренду указанного имущества для i-ой государственной услуги, за исключением затрат, указанных в подпункте «г» пункта 16.1 Общих требований (далее — натуральная норма потребления вида услуг (работ) по содержанию объектов особо ценного движимого имущества);
— стоимость (цена, тариф) u-ого вида услуг (работ) по содержанию объектов особо ценного движимого имущества, аренды указанного имущества, учитываемого при расчете базового норматива затрат на общехозяйственные нужды на оказание i-ой государственной услуги в соответствующем финансовом году.
В составе затрат на содержание объектов особо ценного движимого имущества, необходимого для выполнения государственного задания, учитываются следующие натуральные нормы потребления вида услуг (работ) по содержанию объектов особо ценного движимого имущества в соответствии со значениями натуральных норм, определенных согласно пункту 11 Общих требований, в том числе:
на техническое обслуживание и ремонт транспортных средств;
на техническое обслуживание и регламентно-профилактический ремонт дизельных генераторных установок;
на техническое обслуживание и регламентно-профилактический ремонт системы газового пожаротушения и систем пожарной сигнализации;
на техническое обслуживание и регламентно-профилактический ремонт систем кондиционирования и вентиляции;
на техническое обслуживание и регламентно-профилактический ремонт систем контроля и управления доступом;
на техническое обслуживание и регламентно-профилактический ремонт систем автоматического диспетчерского управления;
на техническое обслуживание и регламентно-профилактический ремонт систем видеонаблюдения;
на другие виды услуг (работ) по содержанию объектов особо ценного движимого имущества.
г) — затраты на формирование резерва на полное восстановление состава объектов особо ценного движимого имущества (основных средств и нематериальных активов), необходимого для общехозяйственных нужд, с учетом срока их полезного использования, которые формируются как объем годовой расчетной суммы амортизации особо ценного движимого имущества на общехозяйственные нужды и рассчитываются по формуле:
| , |
где:
— количество t-oгo объекта особо ценного движимого имущества, необходимого для общехозяйственных нужд, в расчете на единицу оказания i-той государственной услуги;
— стоимость единицы t-oгo объекта особо ценного движимого имущества, необходимого для общехозяйственных нужд;
— срок полезного использования t-oгo объекта особо ценного движимого имущества, необходимого для общехозяйственных нужд, установленный с учетом Классификации основных средств.
д) — затраты на приобретение услуг связи для i-ой государственной услуги, которые рассчитываются по формуле:
| , |
где:
— значение натуральной нормы потребления р-ой услуги связи, учитываемое при расчете базового норматива затрат на общехозяйственные нужды на оказание i-ой государственной услуги (далее — натуральная норма потребления услуги связи);
— стоимость (цена, тариф) р-ой услуги связи, учитываемой при расчете базового норматива затрат на общехозяйственные нужды на оказание i-ой государственной услуги в соответствующем финансовом году.
В составе затрат на приобретение услуг связи для i-ой государственной услуги учитываются следующие натуральные нормы потребления услуг связи в соответствии со значениями натуральных норм, определенных согласно пункту 11 Общих требований, в том числе:
стационарной связи;
сотовой связи;
подключения к сети Интернет для планшетного компьютера;
подключения к сети Интернет для стационарного компьютера;
иных услуг связи.
е) — затраты на приобретение транспортных услуг для i-ой государственной услуги, которые рассчитываются по формуле:
| , |
где:
— значение натуральной нормы потребления r-ой транспортной услуги, учитываемое при расчете базового норматива затрат на общехозяйственные нужды на оказание i-ой государственной услуги (далее — натуральная норма потребления транспортной услуги);
— стоимость (цена, тариф) r-ой транспортной услуги, учитываемой при расчете базового норматива затрат на общехозяйственные нужды на оказание i-ой государственной услуги в соответствующем финансовом году.
В составе затрат на приобретение транспортных услуг для i-ой государственной услуги учитываются следующие натуральные нормы потребления транспортных услуг в соответствии со значениями натуральных норм, определенных согласно пункту 11 Общих требований, в том числе:
доставки грузов;
найма транспортных средств;
иных транспортных услуг.
ж) — затраты на оплату труда с начислениями на выплаты по оплате труда работников, которые не принимают непосредственного участия в оказании i-ой государственной услуги, рассчитываются по одному из следующих вариантов.
При первом варианте применяется формула:
| , |
где:
— значение натуральной нормы рабочего времени х-ого работника, который не принимает непосредственного участия в оказании i-ой государственной услуги, учитываемое при расчете базового норматива затрат на общехозяйственные нужды на оказание i-ой государственной услуги;
— размер повременной (часовой, дневной, месячной, годовой) оплаты труда (с учетом окладов (должностных окладов), ставок заработной платы, выплат компенсационного и стимулирующего характера) с начислениями на выплаты по оплате труда х-ого работника, который не принимает непосредственного участия в оказании i-ой государственной услуги.
Размер повременной (часовой, дневной, месячной, годовой) оплаты труда с начислениями на выплаты по оплате труда х-ого работника, который не принимает непосредственного участия в оказании i-ой государственной услуги, определяется исходя из годового фонда оплаты труда и годового фонда рабочего времени указанного работника с учетом применяемого при обосновании бюджетных ассигнований на очередной финансовый год и плановый период прогнозного индекса потребительских цен на конец соответствующего финансового года, определяемого в соответствии с Прогнозом социально-экономического развития.
Годовой фонд оплаты труда и годовой фонд рабочего времени х-ого работника, который не принимает непосредственного участия в оказании i-ой государственной услуги, определяются в соответствии со значениями натуральных норм, применяемых согласно положениям пункта 11 Общих требований.
Отношение затрат на оплату труда с учетом начислений на выплаты по оплате труда работников, которые не принимают непосредственного участия в оказании i-ой государственной услуги, к затратам на оплату труда с начислениями на выплаты по оплате труда работников, непосредственно связанных с оказанием i-ой государственной услуги, не должно превышать показатели, установленные законодательством Российской Федерации.
При втором варианте применяется формула:
| , |
где:
— затраты на оплату труда с начислениями на выплаты по оплате труда работников, непосредственно связанных с оказанием i-ой государственной услуги;
а — установленная в соответствии с законодательством Российской Федерации предельная доля оплаты труда, определяемая как отношение затрат на оплату труда с начислениями на выплаты по оплате труда работников, которые не принимают непосредственного участия в оказании i-ой государственной услуги, к затратам на оплату труда с начислениями на выплаты по оплате труда работников, непосредственно связанных с оказанием i-ой государственной услуги.
з) — затраты на прочие общехозяйственные нужды на оказание i-ой государственной услуги в соответствии со значениями натуральных норм, определенных согласно пункту 11 Общих требований, которые рассчитываются по формуле:
| , |
где:
— значение натуральной нормы потребления z-oгo прочего вида товаров, услуг (работ), учитываемого при расчете базового норматива затрат на общехозяйственные нужды на оказание i-ой государственной услуги;
— стоимость (цена, тариф) z-oгo прочего вида товаров, услуг (работ), учитываемой при расчете базового норматива затрат на общехозяйственные нужды на оказание i-ой государственной услуги в соответствующем финансовом году;
— срок полезного использования z-oгo объекта особо ценного движимого имущества, используемого в процессе оказания i-той государственной услуги, установленный с учетом Классификации основных средств (по отношению к натуральной норме прочего вида товаров, услуг (работ), не относящегося к основным средствам,
применяется равным 1).
17. Затраты на натуральные нормы, непосредственно используемые в процессе оказания i-той государственной услуги а также на общехозяйственные нужды, указанные в подпунктах «б» — «г» пункта 16.1 и «а» — «е», «з» пункта 16.2 Общих требований, определяются на основании информации о рыночных ценах (тарифах) на идентичные планируемые к приобретению товары, работы и услуги, а при их отсутствии — на однородные товары, работы и услуги, с учетом прогнозного индекса потребительских цен на конец соответствующего финансового года, определяемого в соответствии с Прогнозом социально-экономического развития, при обосновании бюджетных ассигнований на очередной финансовый год и плановый период.
Определение значения идентичности и однородности товаров, работ и услуг, получение информации о рыночных ценах (тарифах) осуществляется в порядке, установленном законодательством о контрактной системе Российской Федерации в сфере закупок товаров, работ, услуг для обеспечения государственных и муниципальных нужд.
18. Территориальный корректирующий коэффициент () на оказание i-той государственной услуги рассчитывается по формуле:
| , |
где:
— затраты на оплату труда с начислениями на выплаты по оплате труда работников, непосредственно связанных с оказанием i-ой государственной услуги;
— затраты на оплату труда с начислениями на выплаты по оплате труда работников, которые не принимают непосредственного участия в оказании i-ой государственной услуги;
— затраты на коммунальные услуги для i-ой государственной услуги;
— затраты на содержание объектов недвижимого имущества, необходимого для оказания i-ой государственной услуги;
— значение базового норматива затрат на оказание i-той государственной услуги;
— территориальный корректирующий коэффициент на оплату труда с начислениями на выплаты по оплате труда;
— территориальный корректирующий коэффициент на коммунальные услуги и содержание недвижимого имущества.
Территориальный корректирующий коэффициент на оплату труда с начислениями на выплаты по оплате труда рассчитывается как соотношение между среднемесячной начисленной заработной платой в целом по экономике по субъекту Российской Федерации (федеральному округу, муниципальному образованию), на территории которого оказывается i-ая государственная услуга, и среднемесячной начисленной заработной платой в целом по экономике по субъекту Российской Федерации (федеральному округу, муниципальному образованию), данные по которому использовались для определения базового норматива затрат на оказание i-ой государственной услуги.
Территориальный корректирующий коэффициент на коммунальные услуги и содержание недвижимого имущества рассчитывается как соотношение между суммой затрат на коммунальные услуги и содержание объектов недвижимого имущества, необходимого для выполнения государственного задания, а также затрат на аренду указанного имущества, определяемых в соответствии с натуральными нормами, ценами и тарифами на данные услуги в субъекте Российской Федерации (федеральном округе) и (или) муниципальном образовании, на территории которого оказывается i-ая государственная услуга, и суммой затрат на коммунальные услуги (
) и содержание объектов недвижимого имущества, а также затраты на аренду указанного имущества (
) в субъекте Российской Федерации (федеральном округе, муниципальном образовании), данные по которому использовались для определения базового норматива затрат на оказание i-ой государственной услуги <3>.
<3> В случае если географические особенности субъекта Российской Федерации, на территории которого оказывается i-ая государственная услуга, влияют на значения натуральных норм, определенных согласно пункту 11 Общих требований, федеральный орган государственной власти (федеральный государственный орган), осуществляющий функции и полномочия учредителя федерального государственного учреждения, вправе учесть указанные особенности при определении территориального корректирующего коэффициента.
19. Отраслевые корректирующие коэффициенты к базовым нормативам затрат на оказание i-ой государственной услуги определяются исходя из показателей отраслевой специфики и устанавливаются Министерством труда и социальной защиты Российской Федерации.
Приложение
к Общим требованиям к определению
нормативных затрат на оказание
государственных (муниципальных)
услуг в сфере социального обслуживания
населения, применяемых при расчете
объема субсидии на финансовое
обеспечение выполнения государственного
(муниципального) задания на оказание
государственных (муниципальных) услуг
(выполнение работ) государственным
(муниципальным) учреждением
Форма
СВЕДЕНИЯ О ЗНАЧЕНИЯХ НАТУРАЛЬНЫХ НОРМ, НЕОБХОДИМЫХ ДЛЯ ОПРЕДЕЛЕНИЯ БАЗОВОГО НОРМАТИВА ЗАТРАТ НА ОКАЗАНИЕ ГОСУДАРСТВЕННОЙ (МУНИЦИПАЛЬНОЙ) УСЛУГИ В СФЕРЕ СОЦИАЛЬНОГО ОБСЛУЖИВАНИЯ НАСЕЛЕНИЯ
| Наименование государственно й услуги <1> | Уникальный номер реестровой записи <2> | Наименование натуральной нормы <3> | Единица измерения натуральной нормы <4> | Значение натуральной нормы <5> | Примечание <6> |
| 1 | 2 | 3 | 4 | 5 | 6 |
| 1. Натуральные нормы, непосредственно связанные с оказанием государственной услуги | |||||
| 1.1. Работники, непосредственно связанные с оказанием государственной услуги | |||||
| 1.2. Материальные запасы и особо ценное движимое имущество, потребляемые (используемые) в процессе оказания государственной услуги | |||||
| 1.3. Иные натуральные нормы, непосредственно используемые в процессе оказания государственной услуги | |||||
| 2. Натуральные нормы на общехозяйственные нужды | |||||
| 2.1. Коммунальные услуги | |||||
| 2.2. Содержание объектов недвижимого имущества, необходимого для выполнения государственного задания | |||||
| 2.3. Содержание объектов особо ценного движимого имущества, необходимого для выполнения государственного задания | |||||
| 2.4. Услуги связи | |||||
| 2.5. Транспортные услуги | |||||
| 2.6. Работники, которые не принимают непосредственного участия в оказании государственной услуги | |||||
| 2.7. Прочие общехозяйственные нужды | |||||
<1> В графе 1 «Наименование государственной услуги» указывается наименование государственной услуги в сфере социального обслуживания населения, для которой утверждается базовый норматив затрат.
<2> В графе 2 «Уникальный номер реестровой записи» указывается уникальный номер реестровой записи государственной услуги в сфере социального обслуживания населения, для которой рассчитывался базовый норматив затрат, в соответствии с базовым (отраслевым) перечнем.
<3> В графе 3 «Наименование натуральной нормы» указывается наименование натуральной нормы, используемой для оказания государственной услуги в сфере социального обслуживания населения (рабочее время работников, материальные запасы, особо ценное движимое имущество, топливо и другие ресурсы, используемые для оказания государственной услуги в сфере социального обслуживания населения).
<4> В графе 4 «Единица измерения натуральной нормы» указывается единица, используемая для измерения натуральной нормы (единицы, штуки, Гкал, кВт-ч., куб. м, кв. м, комплекты, штатные единицы, часы и другие единицы измерения).
<5> В графе 5 «Значение натуральной нормы» указываются значения натуральных норм, установленных стандартами услуги в сфере социального обслуживания населения (в случае их отсутствия в отношении затрат на общехозяйственные нужды указываются значения натуральных норм, определенные для государственной услуги в сфере социального обслуживания населения, оказываемой федеральным государственным учреждением, по методу наиболее эффективного учреждения, либо по медианному методу).
<6> В графе 6 «Примечание» в обязательном порядке указывается источник значения натуральной нормы (нормативный правовой акт или иной документ (вид, дата, номер), утверждающий стандарт услуги в сфере социального обслуживания населения, а при его отсутствии в отношении затрат на общехозяйственные нужды слова «Метод наиболее эффективного учреждения» либо слова «Медианный метод»).
Продолжаем освещать вопросы, связанные с бюджетным планированием. В одной из первых статей в блоге мы рассказывали о разумном финансовом планировании для сети учреждений и касались темы расчета нормативов. Сегодня попробуем немного глубже в ней разобраться.
Главный документ, из которого можно взять методы и инструменты расчета нормативов — Постановление Правительства № 640 от 26 июня 2015 года.
Но конкретный порядок расчетов должны устанавливать учредители и профильные министерства, учитывая отраслевые правила и рекомендации.
К примеру, муниципальный отдел образования для расчета нормативов затрат будет использовать несколько законодательных актов:
- Постановлением Правительства от 26.06.2015 № 640;
- Порядок формирования и обеспечения государственного задания, утвержденный на региональном и муниципальном уровнях;
- Приказы Минпросвещения России от 20.11.2018 № 235 и № 237 — в качестве отраслевых рекомендаций.
Расчет нормативов возложен на учредителей, но и подведомственные учреждения не остаются в стороне. Они дают информацию, данные для более точных расчетов, с учетом собственных потребностей в финансировании, специфики деятельности, местонахождения и т.д.
Для расчета нормативов затрат используются различные подходы. Например, в основу можно взять ресурсные нормы — материальные, технические, трудовые. Их придется искать в СНиП, СанПиН, различных стандартах и регламентах. Если подобных законодательных актов нет вообще или нет именно для данной отрасли, то придется либо прибегать к применительным нормам, проще говоря — брать чужие нормативы и подгонять под свои нужды, или использовать другой метод.
На практике сбор информации для проведения расчетов нормативов затрат часто представляет собой хаотический обмен данными между подразделениями и учредителем. Нет единых форм и таблиц для заполнения и систематизации, сложно анализировать поступающие сведения и собирать в единую систему, цифры подгоняются, искажаются, и в итоге при проверке учредитель не в состоянии их как-либо объяснить и обосновать.
Автоматизация расчета нормативных затрат
Естественным выходом является использование специальной программы для расчетов. Необходимо, чтобы данные не только можно было обрабатывать в программе, но и оперативно в нее подгружать, формировать специализированную документацию, например, для обоснования состава затрат для той или иной государственной услуги.
Т.е. нужно решение, в котором смогут работать сразу много пользователей независимо друг от друга, вносить изменения, загружать и выгружать данные, и все это будет контролироваться учредителем.
Компания ФИНАТЕК обладает таким решением. Это уже известный вам РАМЗЭС 2.0.
Что позволяет делать сервис всей сети подведомственных учреждений и их учредителю:
- производить расчеты нормативных затрат (базовых нормативов затрат) на оказание государственных услуг (выполнение работ), на основании актуальной статистики по всей сети учреждений;
- вести планирование нормативных затрат в целях формирования госзадания на очередной год и плановый период;
- не только рассчитывать, но и обосновывать каждый вид расхода, в том числе в целях проверки вышестоящими органами;
- контролировать исполнение госзаданий, показатели ПФХД;
- автоматизировать согласование документов при помощи электронного документооборота и электронной подписи;
- сократить до минимума бумажный документооборот или полностью отказаться от него.
С помощью РАМЗЭС 2.0 рассчитываются отраслевые и территориальные коэффициенты, а схема расчета предельно понятна.

Однако, это лишь один из методов расчета, позволяющий получить расчетный норматив. Плюс ко всему — огромное множество различных аналитических форм отчетов представлены и разработаны в системе РАМЗЭС 2.0. Пример расчетов и отчетных форм можно увидеть на рисунке 1:

Рисунок 1
Расчет нормативных затрат с использованием материальных, технических, трудовых ресурсных норм наиболее часто встречается у представителей отраслей, в которых нет возможности позаимствовать базовые нормативы у профильных федеральных органов исполнительной власти. Для этого приходится проводить детализированный расчет нормативов по группам затрат для каждой услуги.
Подобный расчет представлен на рисунке 2.

Рисунок 2
Все эти цифры собираются из подробных мельчайших деталей, то есть необходимо рассчитать норму ресурса на единицу каждой услуги, количество ресурса, задействованного в оказании услуги, затраты на каждую услугу, количество услуг и т.д. Подробную детализацию норматива можно увидеть на рисунках 3 и 4.

Рисунок 3

Рисунок 4
РАМЗЭС позволяет не только детализировать расчеты нормативов и провести их в гораздо более короткие сроки по сравнению с использованием, к примеру, таблиц Excel (по нашим данным временные затраты сокращаются в 10 и более раз), но и подготовить документацию, обосновывающую расчеты для проверяющих.
Решаются главные задачи — расчет и обоснование. Кроме того, РАМЗЭС взаимодействует с внешними системами, позволяя создавать отчеты, согласно требованиям Счетной Палаты и других контролирующих органов, загружать необходимые данные на bus.gov.ru, в Электронный бюджет, а также обмениваться данными с 1С, Парус, Криста и другими программами.
Мы предлагаем вам поделиться с нами информацией — как в вашем учреждении ведется расчет нормативов затрат? Сколько времени занимает? Как вы относитесь к автоматизации этого процесса?
И, конечно, как всегда, ждем ваши вопросы по РАМЗЭС 2.0, в том числе методические, мы с радостью ответим на них в комментариях.










